Airborne Pollen Calendar of Toluca City, Mexico
Abstract
:1. Introduction
2. Materials and Methods
2.1. Area of Study
2.2. Pollen Monitoring
2.3. Determination of the Annual Pollen Integral (APIn) and Mean Pollen Season (MPS)
2.4. Pollen Calendar
2.5. Pollen Diurnal Pattern (DP)
2.6. Record of Meteorological Variables
2.7. Statistical Analysis
3. Results
3.1. Pollen Monitoring
3.2. Determination of the Annual Pollen Integral (APIn) and Mean Pollen Season (MPS)
3.3. Pollen Calendar
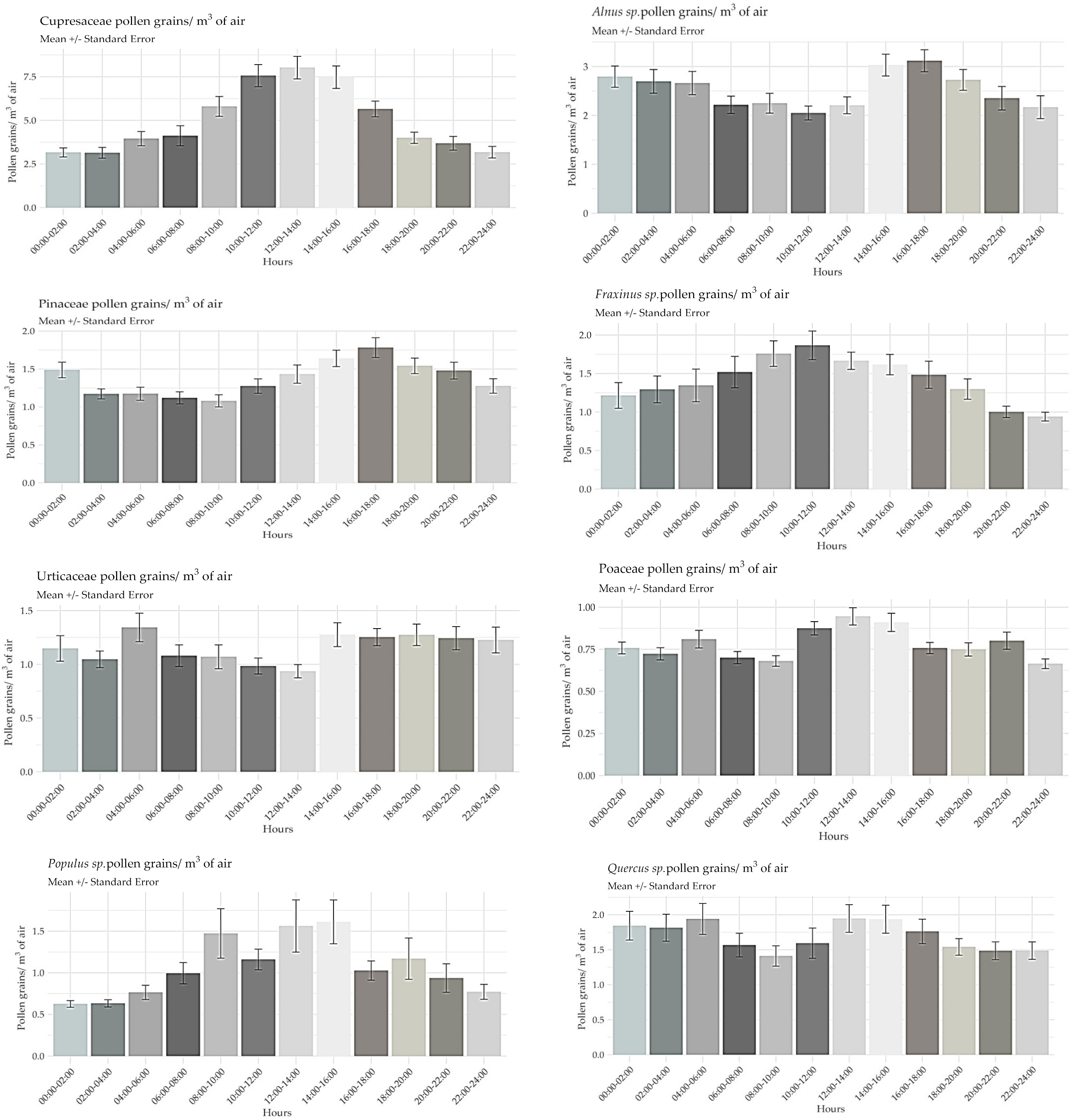
3.4. Pollen Diurnal Pattern
3.5. Statistical Analysis of Meteorological Variables
4. Discussion
5. Conclusions
Author Contributions
Funding
Institutional Review Board Statement
Informed Consent Statement
Data Availability Statement
Acknowledgments
Conflicts of Interest
References
- Pawankar, R.; Canonica, G.W.; Holgate, S.T.; Lockey, R.F.; Blaiss, M.S. WAO White Book on Allergy; World Allergy Organization: Milwaukee, WI, USA, 2011; Volume 3, pp. 156–157. [Google Scholar]
- Brożek, J.L.; Bousquet, J.; Agache, I.; Agarwal, A.; Bachert, C.; Bosnic-Anticevich, S.; Brignardello-Petersen, R.; Canonica, G.W.; Casale, T.; Chavannes, N.H. Allergic Rhinitis and Its Impact on Asthma (ARIA) Guidelines—2016 Revision. J. Allergy Clin. Immunol. 2017, 140, 950–958. [Google Scholar] [CrossRef] [PubMed]
- Pérez, G.L.; Maciel, B.M.M.; López, J.H.; Covarrubias, F.M.; López, J.L.; Aguilar, G.; Pérez, J.L.R.; Medina, L.L.; Vargas, F. Prevalencia de Las Enfermedades Alérgicas En La Ciudad de México. Rev. Alerg. Mex. 2009, 56, 72–79. [Google Scholar]
- Aït-Khaled, N.; Pearce, N.; Anderson, H.R.; Ellwood, P.; Montefort, S.; Shah, J.; ISAAC Phase Three Study Group. Global Map of the Prevalence of Symptoms of Rhinoconjunctivitis in Children: The International Study of Asthma and Allergies in Childhood (ISAAC) Phase Three. Allergy 2009, 64, 123–148. [Google Scholar] [CrossRef] [PubMed]
- Simpson, B.M.; Custovic, A.; Simpson, A.; Hallam, C.L.; Walsh, D.; Marolia, H.; Campbell, J.; Woodcock, A. NAC Manchester Asthma and Allergy Study (NACMAAS): Risk Factors for Asthma and Allergic Disorders in Adults. Clin. Exp. Allergy 2001, 31, 391–399. [Google Scholar] [CrossRef]
- Saenz de Rivas, C. Polen y Esporas, Introducción a La Palinología y Vocabulario Palinológico, Concepción Saenz de Rivas; H. Blume: Madrid, Spain, 1978. [Google Scholar]
- Ogden, E.C. Manual for Sampling Airborne Pollen; Ogden, E.C., Ed.; Hafner Press: New York, NY, USA; London, UK, 1974; ISBN 0-02-849820-8. [Google Scholar]
- Suárez-Cervera, M.; Seoane-Camba, J. Biología Celular Del Polen: Origen y Función de Los Alérgenos Polínicos. In Polinosis II. Polen y Alergia; Valero Santiago, A.L., Cadahía García, A., Eds.; Impreso en España: Barcelona, Spain, 2005; pp. 39–50. [Google Scholar]
- HF, S.R.L. Pollen Biology, Biochemistry and Management; Springer: Berlin/Heidelberg, Germany, 1974. [Google Scholar]
- Benito Rica, V.D. Aerobiología del Polen Alergénico y Polinosis en Santander. Relación de la Agudización del Asma Bronquial con Factores del Ambiente Exterior; Universidad de Cantabria: Cantabria, Spain, 2009. [Google Scholar]
- Katotomichelakis, M.; Nikolaidis, C.; Makris, M.; Zhang, N.; Aggelides, X.; Constantinidis, T.C.; Bachert, C.; Danielides, V. The Clinical Significance of the Pollen Calendar of the Western Thrace/Northeast Greece Region in Allergic Rhinitis. Int. Forum Allergy Rhinol. 2015, 5, 1156–1163. [Google Scholar] [CrossRef]
- Lo, F.; Bitz, C.M.; Battisti, D.S.; Hess, J.J. Pollen Calendars and Maps of Allergenic Pollen in North America. Aerobiologia 2019, 35, 613–633. [Google Scholar] [CrossRef]
- Salazar, M. Estudio de Los Pólenes de La Atmósfera de La Ciudad de México. Rev. Soc. Mex. Hist. Nat. 1940, 1, 143–146. [Google Scholar]
- Ramírez, O.; Rodríguez, B. Estudio Ilustrado de Los Polenes Del Aire de México Más Comunes. Polinosis. Alerg. 1961, 3, 187–217. [Google Scholar]
- Cueva-Velázquez, J. Flora y Pólenes Alergénicos En La República Mexicana. Alergia 1970, 17, 99–109. [Google Scholar]
- Palacios-Chávez, R. Lluvia de Polen Moderno En Diferentes Hábitats Del Valle de México. Bot. Sci. 1977, 15, 45–70. [Google Scholar] [CrossRef]
- Montes Montes, J.; Cisneros, V. Los Polenes Atmosféricos de La Ciudad de México, DF. Alergia 1982, 51–60. [Google Scholar]
- Rosales, L. Análisis Aeropalinológico Anual del Norte de la Ciudad de México, Implicaciones en la Contaminación Ambiental y la Alergología. B. Sc. Bachelor’s Thesis, Facultad de Ciencias, UNAM, Ciudad de México, México, 1985. [Google Scholar]
- González-Macías, M.; Gonzalez-Lozano, M.; Salazar, L.; Rosas, I. A One Year Pollen Monitoring in the Atmosphere of the Mexico City Metropolitan Area. Aerobiology. Symp. Pan-Am. Aerobiol. Assoc. 1993, 19–21. [Google Scholar]
- Bronillet-Tarragó, I. Estudio Aeropolínico de La Zona Norte de La Ciudad de México En Un Ciclo Anual. Bachelor’s Thesis, Facultad de Ciencias, Universidad Nacional Autónoma de México, Ciudad de México, México, 1992. [Google Scholar]
- Tarragó, I.B. An Annual Study of Airborne Pollen in Northern Mexico City. Aerobiologia 1996, 12, 191–195. [Google Scholar] [CrossRef]
- Rosas, I.; McCartney, H.; Payne, R.; Calderón, C.; Lacey, J.; Chapela, R.; Ruiz-Velazco, S. Analysis of the Relationships between Environmental Factors (Aeroallergens, Air Pollution, and Weather) and Asthma Emergency Admissions to a Hospital in Mexico City. Allergy 1998, 53, 394–401. [Google Scholar] [CrossRef] [PubMed]
- Torres-Valdos, J. Determinación de los Agentes Principales de Polinosis en la Ciudad de México. Master’s Thesis, Universidad Nacional Autónoma de México, Ciudad de México, México, 2006. [Google Scholar]
- Cid Martínez, M. Estacionalidad de Granos de Polen en dos Zonas de la Ciudad de México. Master’s Thesis, Instituto de Geología, Universidad Nacional Autónoma de México, Ciudad de México, México, 2007. [Google Scholar]
- González Díaz, S.N.; Rodríguez Ortiz, P.G.; Arias Cruz, A.; Macías Weinmann, A.; Cid Guerrero, D.; Sedó Mejía, G.A. Atmospheric pollen count in Monterrey, Mexico. Allergy Asthma Proc. 2010, 31, 342–348. [Google Scholar]
- Calderón-Ezquerro, M.C.; Guerrero-Guerra, C.; Martínez-López, B.; Fuentes-Rojas, F.; Téllez-Unzueta, F.; López-Espinoza, E.D.; Calderón-Segura, M.E.; Martínez-Arroyo, A.; Trigo-Pérez, M.M. First Airborne Pollen Calendar for Mexico City and Its Relationship with Bioclimatic Factors. Aerobiologia 2016, 32, 225–244. [Google Scholar] [CrossRef]
- Calderon-Ezquerro, M.C.; Guerrero-Guerra, C.; Galán, C.; Serrano-Silva, N.; Guidos-Fogelbach, G.; Jiménez-Martínez, M.C.; Larenas-Linnemann, D.; Espinosa, E.L.; Ayala-Balboa, J. Pollen in the Atmosphere of Mexico City and Its Impact on the Health of the Pediatric Population. Atmos. Environ. 2018, 186, 198–208. [Google Scholar] [CrossRef]
- Björkstén, B.; Clayton, T.; Ellwood, P.; Stewart, A.; Strachan, D.; The ISAAC Phase III Study Group. Worldwide Time Trends for Symptoms of Rhinitis and Conjunctivitis: Phase III of the International Study of Asthma and Allergies in Childhood. Pediatr. Allergy Immunol. 2008, 19, 110–124. [Google Scholar] [CrossRef]
- Cid Del Prado-Izquierdo, M.D.L.L.; Piedras-Gutiérrez, B.; Visoso-Salgado, Á.; Becerril-Ángeles, M. Estudio Aerobiológico de Pólenes Anemófilos En La Ciudad de Toluca, México. Rev. Alerg. Méx. 2015, 62, 8–14. [Google Scholar] [CrossRef]
- INEGI. Compendio de Información Geográfica Municipal 2010; INEGI: Toluca, México, 2010. [Google Scholar]
- Comisión Estatal de Parques Naturales y de la Fauna. Available online: https://cepanaf.edomex.gob.mx/ (accessed on 12 July 2023).
- Hirst, J. An Automatic Volumetric Spore Trap. Ann. Appl. Biol. 1952, 39, 257–265. [Google Scholar] [CrossRef]
- Soldevilla, C.G.; González, P.C.; Teno, P.A.; Vilches, E.D. Manual de Calidad y Gestión de la Red Española de Aerobiología; Universidad de Córdoba Córdoba: Córdoba, Argentina, 2007; ISBN 84-690-6354-5. [Google Scholar]
- Galán, C.; Ariatti, A.; Bonini, M.; Clot, B.; Crouzy, B.; Dahl, A.; Fernandez-González, D.; Frenguelli, G.; Gehrig, R.; Isard, S.; et al. Recommended Terminology for Aerobiological Studies. Aerobiologia 2017, 33, 293–295. [Google Scholar] [CrossRef]
- Andersen, T.B. A Model to Predict the Beginning of the Pollen Season. Grana 1991, 30, 269–275. [Google Scholar] [CrossRef]
- Nilsson, S.; Persson, S. Tree Pollen Spectra in the Stockholm Region (Sweden), 1973–1980. Grana 1981, 20, 179–182. [Google Scholar] [CrossRef]
- Aguilera, F.; Valenzuela, L.R. Time Trend in the Viability of Pollen Grains in the ‘Picual’Olive (Olea europaea L.) Cultivar. Palynology 2013, 37, 28–34. [Google Scholar] [CrossRef]
- Spieksma, F.T.M.; Von Wahl, P.G. Allergenic Significance of Artemisia (Mugwort) Pollen. Allergenic Pollen Pollinosis Eur. 1991, 121–124. [Google Scholar]
- Stix, E.; Ferretti, M.L. Pollen Calendars of Three Locations in Western Germany. Atlas Eur. Des Pollens Allerg. 1974, 85–94. [Google Scholar]
- Fernández-González, D.; Valencia-Barrera, R.; Vega, A.; Díaz De La Guardia, C.; Trigo, M.; Cariñanos, P.; Guardia, A.; Pertiñez, C.; Rodríguez-Rajo, F. Analysis of Grass Pollen Concentrations in the Atmosphere of Several Spanish Sites. Pollen 1999, 10, 127–136. [Google Scholar]
- Sofiev, M.; Bergmann, K.-C. Allergenic Pollen: A Review of the Production, Release, Distribution and Health Impacts; Springer: Dordrecht, The Netherlands, 2012. [Google Scholar]
- Dursun, A.B.; Celik, G.E.; Alan, S.; Pinar, N.M.; Mungan, D.; Misirligil, Z. Regional Pollen Load: Effect on Sensitisation and Clinical Presentation of Seasonal Allergic Rhinitis in Patients Living in Ankara, Turkey. Allergol. Immunopathol. 2008, 36, 371–378. [Google Scholar] [CrossRef]
- Adkinson, N.F.; Ellis, E.F.; Middleton, E.; Reed, C.C.; Yunginger, J.W. Alergia: Principios y Práctica; Salvat: Barcelona, Spain, 1992; ISBN 84-345-1792-2. [Google Scholar]
- Perdomo de Ponce, D.; Fernández, D. 07. Perdomo D (225–286). In Colección Razetti; Ateproca: Caracas, Venezuela, 2014; Volume XV, pp. 225–286. [Google Scholar]
- Olive Arrioja, M. Estudio Aeropalinológico de Chapultepec, Ciudad de México: Variación Espacio-Temporal y Efectos en la Salud. B. Sc. Ph.D. Thesis, Facultad de Ciencias, UNAM, Ciudad de México, México, 2012. [Google Scholar]
- Waisel, Y.; Mienis, Z.; Kosman, E.; Geller-Bernstein, C. The Partial Contribution of Specific Airborne Pollen to Pollen Induced Allergy. Aerobiologia 2004, 20, 197–208. [Google Scholar] [CrossRef]
- Franco Maass, S.; Regil García, H.H.; González Esquivel, C.; Nava Bernal, G. Cambio de Uso Del Suelo y Vegetación En El Parque Nacional Nevado de Toluca, México, En El Periodo 1972–2000. Investig. Geogr. 2006, 61, 38–57. [Google Scholar] [CrossRef]
- CONABIO la Biodiversidad en el Estado de México: Estudio de Estado. Available online: https://www.biodiversidad.gob.mx/region/EEB/estudios/ee_edomex (accessed on 16 July 2023).
- Rodríguez-González, M.; Arce-Estrada, G.E.; Arroyo-Rojano, M.I.; Azamar-Jácome, A.A.; Campos-Téllez, H.H.; Castell-Toledo, M.S.; Cerda-Reyes, S.; del Carmen Costa-Domínguez, M.; Del Río-Navarro, B.E.; Díaz-Mina, E.F. Capítulo 3. Alergia Respiratoria. Alerg. Asma E Inmunol. Pediátr. 2023, 31, 57–90. [Google Scholar]
- Ortega-Rosas, C.I.; Meza-Figueroa, D.; Vidal-Solano, J.R.; González-Grijalva, B.; Schiavo, B. Association of Airborne Particulate Matter with Pollen, Fungal Spores, and Allergic Symptoms in an Arid Urbanized Area. Environ. Geochem. Health 2021, 43, 1761–1782. [Google Scholar] [CrossRef] [PubMed]
- Kolek, F.; Plaza, M.P.; Charalampopoulos, A.; Traidl-Hoffmann, C.; Damialis, A. Biodiversity, Abundance, Seasonal and Diurnal Airborne Pollen Distribution Patterns at Two Different Heights in Augsburg, Germany. Atmos. Environ. 2021, 267, 118774. [Google Scholar] [CrossRef]
- List of Allergic Plants in URTICACEAE Family. Available online: https://www.pollenlibrary.com/Family/URTICACEAE/ (accessed on 16 July 2023).
- CONABIO EncicloVida. Available online: https://enciclovida.mx/ (accessed on 16 July 2023).
- Cottonwood, Poplar (Populus) Genus Level Details & Allergy Info. Available online: https://www.pollenlibrary.com/Genus/Populus/ (accessed on 16 July 2023).
- Oak (Quercus) Genus Level Details & Allergy Info. Available online: https://www.pollenlibrary.com/Genus/Quercus/ (accessed on 16 July 2023).
- Grewling, Ł.; Bogawski, P.; Smith, M. Pollen Nightmare: Elevated Airborne Pollen Levels at Night. Aerobiologia 2016, 32, 725–728. [Google Scholar] [CrossRef]
- Hamlyn, G. Jones Plants and Microclimate: A Quantitative Approach to Environmental Plant Physiology; Cambridge University Press: Cambridge, UK, 1992; ISBN 0-521-42524-7. [Google Scholar]
- Calderón-Ezquerro, M.; Martinez-Lopez, B.; Guerrero-Guerra, C.; López-Espinosa, E.; Cabos-Narvaez, W. Behaviour of Quercus Pollen in the Air, Determination of Its Sources and Transport through the Atmosphere of Mexico City and Conurbated Areas. Int. J. Biometeorol. 2018, 62, 1721–1732. [Google Scholar] [CrossRef]
- Ravindra, K.; Goyal, A.; Mor, S. Influence of Meteorological Parameters and Air Pollutants on the Airborne Pollen of City Chandigarh, India. Sci. Total Environ. 2022, 818, 151829. [Google Scholar] [CrossRef]







| Pollen Type | % | Pollen Type | % |
|---|---|---|---|
| Cupressaceae | 52.6348 | Cyperaceae | 0.1090 |
| Alnus sp. | 13.3545 | Plantago sp. | 0.0854 |
| Pinaceae | 7.3238 | Brassicaceae | 0.0622 |
| Fraxinus sp. | 6.0882 | Fagus sp. | 0.0363 |
| Urticaceae | 3.7784 | Tilia sp. | 0.0313 |
| Poaceae | 3.1964 | Thypaceae | 0.0302 |
| Populus sp. | 2.0956 | Citrus sp. | 0.0283 |
| Quercus sp. | 2.0123 | Jacaranda sp. | 0.0218 |
| Asteraceae | 1.2849 | Onagraceae | 0.0217 |
| Moraceae | 1.2566 | Apiaceae | 0.0206 |
| Casuarina sp. | 0.9628 | Ulmus sp. | 0.0189 |
| Myrtaceae | 0.6985 | Solanaceae | 0.0175 |
| Ambrosia sp. | 0.6135 | Begoniaceae | 0.0104 |
| Amaranthaceae | 0.6033 | Acacia sp. | 0.0102 |
| Rosaceae | 0.5125 | Carya sp. | 0.0097 |
| Schinus sp. | 0.4860 | Acer sp. | 0.0063 |
| Salix sp. | 0.3760 | Lamiaceae | 0.0052 |
| Artemisia sp. | 0.3249 | Grevillea sp. | 0.0027 |
| Buddleia sp. | 0.2519 | Liliaceae | 0.0024 |
| Ricinus sp. | 0.2372 | Wigandia sp. | 0.0019 |
| Juglans sp. | 0.2063 | Prosopis sp. | 0.0014 |
| Rumex sp. | 0.2035 | Vitacea sp. | 0.0014 |
| Ligustrum sp. | 0.1961 | Corylus sp. | 0.0009 |
| Ficus sp. | 0.1857 | Sapindaceae | 0.0009 |
| Celtis sp. | 0.1756 | Acantaceae | 0.0005 |
| Mimosa sp. | 0.1573 | Alyssum sp. | 0.0005 |
| Palmae sp. | 0.1253 | Brassicaceae | 0.0005 |
| Liquidambar sp. | 0.1196 | Tamarix sp. | 0.0005 |
| Pollen Type | Period | APIn | MPS Start Day | MPS End Day | Peak (pg/m3) |
|---|---|---|---|---|---|
| Cupressaceae | 2009–2010 | 28,876 | 23 September 2009 | 24 May 2010 | 28 January 2010 (787) |
| 2010–2011 | 17,872 | 19 August 2010 | 1 June 2011 | 16 January 2011 (686) | |
| 2011–2012 | 8712 | 13 September 2011 | 18 May 2012 | 19 January 2012 (675) | |
| 2012–2013 | 12,295 | 2 September 2012 | 6 July 2013 | 17 January 2013 (413) | |
| Alnus sp. | 2009–2010 | 8426 | 2 December 2009 | 30 March 2010 | 7 February 2010 (215) |
| 2010–2011 | 6018 | 11 December 2010 | 12 March 2011 | 13 January 2011 (207) | |
| 2011–2012 | 2063 | 22 December 2011 | 23 March 2012 | 19 January 2012 (143) | |
| 2012–2013 | 2022 | 29 November 2012 | 30 March 2013 | 15 January 2013 (54) | |
| Pinaceae | 2009–2010 | 3933 | 2 December 2009 | 14 May 2010 | 9 March 2010 (116) |
| 2010–2011 | 3380 | 7 December 2010 | 20 May 2011 | 28 February 2011 (228) | |
| 2011–2012 | 1543 | 7 January 2012 | 4 June 2012 | 19 March 2012 (50) | |
| 2012–2013 | 1071 | 21 December 2012 | 4 June 2013 | 27 February 2013 (35) | |
| Fraxinus sp. | 2009–2010 | 4142 | 17 November 2009 | 16 March 2010 | 21 January 2010 (157) |
| 2010–2011 | 2355 | 2 December 2010 | 14 March 2010 | 21 January 2011 (137) | |
| 2011–2012 | 928 | 5 October 2011 | 31 March 2012 | 22 January 2012 (134) | |
| 2012–2013 | 1148 | 16 November 2012 | 31 March 2013 | 2 February 2013 (59) | |
| Urticaceae | 2009–2010 | 1855 | 2 August 2009 | 22 July 2010 | 14 January 2010 (76) |
| 2010–2011 | 991 | 12 August 2010 | 26 July 2011 | 14 January 2011 (72) | |
| 2011–2012 | 622 | 15 August 2011 | 30 July 2011 | 1 June 2012 (24) | |
| 2012–2013 | 1502 | 12 August 2011 | 26 July 2013 | 3 June 2013 (55) | |
| Poaceae | 2009–2010 | 1591 | 14 August 2009 | 17 July 2010 | 18 October 2009 (29) |
| 2010–2011 | 1107 | 10 August 2010 | 22 June 2011 | 12 October 2010 (19) | |
| 2011–2012 | 354 | 9 August 2011 | 24 July 2012 | 25 September 2011 (7) | |
| 2012–2013 | 637 | 12 August 2012 | 15 July 2013 | 11 September 2012 (17) | |
| Populus sp. | 2009–2010 | 1105 | 21 February 2010 | 19 April 2010 | 2 April 2010 (66) |
| 2010–2011 | 992 | 1 February 2011 | 10 May 2011 | 28 February 2011 (135) | |
| 2011–2012 | 226 | 29 December 2011 | 11 April 2012 | 21 January 2012 (22) | |
| 2012–2013 | 239 | 18 October 2012 | 24 March 2013 | 24 January 2013 (26) | |
| Quercus sp. | 2009–2010 | 501 | 9 February 2010 | 12 June 2010 | 25 March 2010 (63) |
| 2010–2011 | 854 | 3 March 2011 | 20 April 2011 | 23 March 2011 (69) | |
| 2011–2012 | 1548 | 27 February 2012 | 31 May 2012 | 23 March 2012 (69) | |
| 2012–2013 | 448 | 31 January 2013 | 24 June 2013 | 25 March 2013 (15) | |
| Asteraceae | 2009–2010 | 792 | 1 October 2009 | 8 June 2010 | 27 November 2009 (13) |
| 2010–2011 | 495 | 30 August 2010 | 21 June 2011 | 1 November 2010 (9) | |
| 2011–2012 | 180 | 18 August 2011 | 8 July 2012 | 19 March 2012 (5) | |
| 2012–2013 | 176 | 31 August 2012 | 22 May 2013 | 22 September 2012 (5) | |
| Moraceae | 2009–2010 | 669 | 9 October 2009 | 28 June 2010 | 7 February 2010 (18) |
| 2010–2011 | 385 | 12 August 2010 | 26 July 2011 | 5 March 2011 (21) | |
| 2011–2012 | 374 | 19 September 2011 | 26 July 2012 | 5 March 2012 (21) | |
| 2012–2013 | 279 | 14 August 2012 | 24 July 2013 | 24 November 2012 (18) |
| Natural Logarithm (() + 1) | Cupressaceae | Alnus sp. | Pinaceae | Urticaceae | Fraxinus sp. |
|---|---|---|---|---|---|
| 1 | 4.932006 *** | 4.417650 *** | 1.443387 *** | 0.548883 | 2.66180 *** |
| Maximum Temperature | |||||
| Minimum Temperature | −0.034835 * | −0.03147 * | |||
| Mean Temperature | 0.059255 ** | ||||
| Relative Humidity | −0.011475 *** | −0.006106 ** | −0.008559 ** | ||
| Accumulated Precipitation | −0.015580 * | ||||
| Maximum Wind | |||||
| February | −1.289357 *** | −1.119842 *** | 0.812595*** | −0.248057 | −0.41023 *** |
| March | −2.726187 *** | −2.110270 *** | 1.566601 *** | −0.038281 | −1.37233 *** |
| April | −3.283674 *** | −3.048534 *** | 1.157477 *** | 0.416813 * | −1.88011 *** |
| May | −2.642208 *** | −3.127019 *** | 0.623558 *** | 0.529363 ** | −2.11739 *** |
| June | −3.026183 *** | −3.130564 *** | −0.346016 ** | 1.425759 *** | −2.13691 *** |
| July | −2.813321 *** | −3.115850 *** | −0.736441 *** | 1.006149 *** | −2.22179 *** |
| August | −2.982605 *** | −3.142952 *** | −0.902113 *** | 0.597905 *** | −2.19974 *** |
| September | −2.009914 *** | −3.136628 *** | −0.933100 *** | 0.136058 | −2.16979 *** |
| October | −2.176874 *** | −3.207704 *** | −0.980717 *** | −0.433763 ** | −2.09315 *** |
| November | −1.969916 *** | −2.643255 *** | −0.795771 *** | −0.534858 *** | −1.65974 *** |
| December | −2.230905 *** | −1.443778 *** | −0.813375 *** | −0.460733 * | −0.82703 *** |
| Adjusted | 0.4322 | 0.812 | 0.766 | 0.5097 | 0.6823 |
| Natural Logarithm (() + 1) | Quercus sp. | Poaceae | Moraceae | Populus sp. | Asteraceae |
|---|---|---|---|---|---|
| 1 | −0.540428 ** | −0.126273 | 1.063619 *** | 1.324396 *** | 0.877043 *** |
| Maximum Temperature | |||||
| Minimum Temperature | |||||
| Mean Temperature | 0.052875 *** | 0.060977 *** | |||
| Relative Humidity | −0.011658 *** | −0.005909 *** | |||
| Accumulated Precipitation | −0.011886 ** | ||||
| Maximum Wind | −0.011270 ** | ||||
| February | 0.621898 *** | −0.249783 * | 0.121445 | −0.332803 *** | −0.225693 * |
| March | 2.378970 *** | −0.146610 | 0.465995 *** | −0.876055 *** | −0.118467 |
| April | 2.091574 *** | −0.206340 | 0.037761 | −0.998484 *** | −0.155658 |
| May | 0.561062 *** | −0.438997 *** | 0.384426** | −1.098430 *** | −0.322176 *** |
| June | 0.628190 *** | −0.485042 *** | 0.293963* | −1.040607 *** | −0.357713 *** |
| July | 0.001794 | −0.250942 | 0.201948 | −1.132223 *** | −0.277092 ** |
| August | −0.213267 | 0.311679 ** | 0.120702 | −1.094175 *** | −0.307733 *** |
| September | −0.214344 * | 0.914706 *** | 0.100338 | −1.091790 *** | 0.039722 |
| October | −0.180243 | 0.669034 *** | 0.056486 | −1.052386 *** | 0.060578 |
| November | −0.113790 | 0.296006 ** | −0.079498 | −0.908857 *** | −0.098601 |
| December | −0.003865 | −0.245666 | −0.200815 | −0.756293 *** | −0.210484 |
| Adjusted | 0.7539 | 0.4681 | 0.1396 | 0.3953 | 0.1427 |
Disclaimer/Publisher’s Note: The statements, opinions and data contained in all publications are solely those of the individual author(s) and contributor(s) and not of MDPI and/or the editor(s). MDPI and/or the editor(s) disclaim responsibility for any injury to people or property resulting from any ideas, methods, instructions or products referred to in the content. |
© 2023 by the authors. Licensee MDPI, Basel, Switzerland. This article is an open access article distributed under the terms and conditions of the Creative Commons Attribution (CC BY) license (https://creativecommons.org/licenses/by/4.0/).
Share and Cite
Cid del Prado, M.; Zarco-Cid del Prado, O.; Guerrero-Parra, H.A.; Juárez Contreras, K.E. Airborne Pollen Calendar of Toluca City, Mexico. Aerobiology 2023, 1, 54-69. https://doi.org/10.3390/aerobiology1010005
Cid del Prado M, Zarco-Cid del Prado O, Guerrero-Parra HA, Juárez Contreras KE. Airborne Pollen Calendar of Toluca City, Mexico. Aerobiology. 2023; 1(1):54-69. https://doi.org/10.3390/aerobiology1010005
Chicago/Turabian StyleCid del Prado, Maria, Osvaldo Zarco-Cid del Prado, Hilda Adriana Guerrero-Parra, and Karla Elisa Juárez Contreras. 2023. "Airborne Pollen Calendar of Toluca City, Mexico" Aerobiology 1, no. 1: 54-69. https://doi.org/10.3390/aerobiology1010005
APA StyleCid del Prado, M., Zarco-Cid del Prado, O., Guerrero-Parra, H. A., & Juárez Contreras, K. E. (2023). Airborne Pollen Calendar of Toluca City, Mexico. Aerobiology, 1(1), 54-69. https://doi.org/10.3390/aerobiology1010005
