Next Article in Journal
The Confluence of Digital Literacy and Eco-Consciousness: Harmonizing Digital Skills with Sustainable Practices in Education
Previous Article in Journal
Government-Funded Development of Innovative Physical Technologies for Sustainable Agriculture and Food Production in Rural Germany through a University–Business Alliance Formation
 
 
Font Type:
Arial Georgia Verdana
Font Size:
Aa Aa Aa
Line Spacing:
Column Width:
Background:
Article

Platforms Enhancing Proximity in the Digital Era

School of Spatial Planning and Development, Aristotle University of Thessaloniki, 54124 Thessaloniki, Greece
Platforms 2024, 2(1), 1-14; https://doi.org/10.3390/platforms2010001
Submission received: 11 September 2023 / Revised: 23 November 2023 / Accepted: 7 December 2023 / Published: 12 January 2024

Abstract

Platforms have the ability to create connected digital spaces where different actors co-exist and work together. The paper explores the power of platforms as enablers of a new channel of proximity, called digital proximity. It argues that platforms enable interactions, information flows, and network formation through digital proximity, which can effectively reinforce externalities complementing existing proximity forms or bypassing physical space barriers. Firms and industries adopting platform-based tools can create meaningful channels for increasing their proximity at an intra- and inter-firm level. The study uses data from the Digital Economy and Society database covering 25 EU countries for the years 2019 and 2021. It calculates the degree of adoption by EU firms at the national level for a set of selected platform-based technologies closely related to different proximity forms. It investigates the relationship between digital proximity, firm size, and industry, also introducing a geographical dimension. The evidence suggests that large firms have managed to integrate platform-based technologies to a greater extent, whereas small and medium firms still lack leveraging the full power of platforms. Increased adoption at the country level is also related to increased productivity, indicating the geographical dimension of platforms. The paper argues that platforms can be seen as a new means for balancing uneven spatial capabilities for producing proximity, indicating a high potential for fostering territorial cohesion. It concludes by suggesting that future research should measure the effects of digital proximity on development and their causal relationship to better elaborate on the implications of platforms on development.

1. Introduction

Development has recently been characterized as an uneven process between European areas [1,2]. Local characteristics, including accessibility, the ability to attract human capital, trust, and institutional thickness, have often been stressed as key factors for reinforcing the developmental potential of a region [3,4]. Metropolitan regions have been associated with increased levels of development, whilst regions with a low population density, lack of human capital, and low accessibility indicate lower levels, suggesting a positive relationship between spatial concentration and development [2,5].
Proximity is a key notion in that kind of agglomeration processes, fostering productivity and creating new developmental paths [6]. Proximity enables areas to effectively combine their existing assets and create networks and knowledge flows between actors towards enhancing knowledge production and spill-over effects [7]. Increased asset endowments in agglomeration economies can produce sufficient proximity externalities for achieving the desired outcomes, whereas a lack of it hinders the effectiveness of proximity emergence [8,9]. Hence, inequality can be translated into a problem of unbalanced capability to produce proximity externalities for creating the necessary conditions for development through agglomeration effects.
At the same time, the new landscape of productivity and innovation is strongly shaped through the ways in which digital platforms—hereafter mentioned as platforms—have introduced a new organizational logic acting as connective agents and data hubs [10,11]. They have gradually become an inherent aspect of value creation by introducing processes that act complementary to or independently from traditional space, as well as by creating interactions, new information flows, and network effects [12]. Therefore, platforms can reinforce capabilities for productivity and innovation by increasing their proximity externalities [13,14].
The study aims to investigate the power of platforms from a proximity-oriented perspective, complementing the previous research on the power of platforms focusing on a market-oriented approach [12,15]. It argues that platforms can bridge the existing proximity gaps in less developed areas resolving spatial mismatches between productivity, innovation potential, and labor market opportunities. More specifically, proximity triggered by platforms occurs when firms adopt platform-based technologies in their organizational structures, such as cloud computing services, enterprise resource planning, social media, and wiki-based knowledge-sharing tools. In this way, traditional forms of spatial proximity can be gradually enhanced, or even replaced, by platform-generated proximity, referred to as digital proximity, affecting productivity and innovation and offering new developmental perspectives to less developed regions. The study uses the data from the Digital Economy and Society database (details on the methodological approach referring to the data collection process of the Digital Economy and Society database that is used here for the analysis can be found in the following link: https://ec.europa.eu/eurostat/web/digital-economy-and-society/data/comprehensive-database, accessed on 30 September 2023) provided by Eurostat covering 25 EU countries for the years 2019 and 2021. It calculates the degree of platform-based technologies’ adoption in European firms at the national level relating it to firm size and industry.
The remainder of the paper is structured as follows. The first sections review the notion of proximity and its relation to space and technology. Its different forms are also presented in the following section providing a concrete theoretical framework for the study describing the power of platforms as proximity enablers. As a next step, the paper investigates platform-based technologies’ adoption by firm size and industry, while it also explores its geographical dimension and potential implications. Finally, the last section includes some concluding remarks alongside a more general discussion on the ways in which future research can expand the proposed approach towards further exploring the causal relationship between digital proximity and development.

2. The Notion of Proximity and the Role of Technology

The conceptualization of space is a starting point when investigating the notion of proximity. Various approaches have been introduced to define space and its characteristics, starting from absolute and moving on to relative conceptions of space. According to the Euclidean view, space is defined by specific dimensions, including height, depth, size, and proximity, and it can be represented by a system of geographical coordinates [16]. Hence, absolute space can be perceived as a container of objects forming an empty entity in the sense that it is independent of the objects it contains, and it has separate characteristics [17]. At the same time, relational concepts of space show that space is formed by the processes and the objects it involves, including social formations and practices of social production and reproduction [18]. Therefore, space can be defined as a product of spatial processes, each one of them being able to produce different forms of space, such as the perceived, the conceived, and the lived space [19]. Postmodernist approaches have introduced the cultural production of space, including novel concepts, such as reflexivity, ‘polyvocality’, and place identity [20]. The importance of scale has also been highlighted, not from a hierarchical perspective (global, national, and local), but through non-territorial terms affecting the composition of the relations [21].
Proximity is a key element of space, and therefore, its definition should also follow a multi-level perspective according to the various conceptualizations of space. This means that the notion of proximity can vary from an absolute definition, as the state of being near in geographical space, to being ‘near’ in more relative terms encompassing additional dimensions, such as social, cultural, institutional, and organizational aspects. Proximity has transformed productivity and innovation into ‘environmental conditions’ resulting as the joint effort of networks and communities of actors working together, interacting, and sharing common skills and visions [22]. Even though connectivity per se is a necessary condition for producing externalities, access to complementary competences is essential for making proximity capable of strengthening productivity and innovation [23]. Interactions between/within complementary communities and institutions, the combination of roles and skills, communication channels, functional and spatial bonds bridging separate knowledge fields, and other participatory processes act as facilitators for increasing proximity externalities [24].
When considering the notion of proximity in economic geography, several theoretical frameworks have been developed aiming to explain the variations in productivity outcomes and innovation potential between regions. These include theories of clusters [25,26], innovation systems [27,28], path dependence [29], and knowledge networks [30,31]. These approaches build upon the idea that spatial agglomeration and localization act as a form of proximity creating location competitive advantages for regions. However, they highlight the fact that geographical proximity per se does not suffice, as it should be combined with other forms of proximity to activate interactions between actors and trigger all its potential benefits [32].
Boschma [6] presented a five-dimensional approach to proximity—expanding the previous work of Torre and Gilly [33]—covering the notions of cognitive, organizational, social, institutional, and geographical proximity. When considering the non-geographic dimensions of proximity, cognitive proximity refers to the ability of persons sharing a common knowledge base and expertise to learn from each other more effectively, whereas organization proximity is derived from shared relations within or between organizations. Social proximity is an outcome of socially embedded relations involving mostly trust, whilst the institutional dimension of proximity refers to common characteristics between institutional environments that enable more effective interactions. Studies aiming to expand this concept have placed specific emphasis on the role of networks for the dynamic evolution of proximity, including aspects related to learning, integration, decoupling, and institutional processes [7]. Network externalities emerging amongst actors—individuals, firms, and institutions—result in the development of other types of proximity, such as social, organizational, institutional, and cognitive [34]. The research shows that the various proximity dimensions can act as substitutes, as the lack of one proximity type can be balanced by the presence of other types [35,36]. However, geographical proximity indicates a slightly higher importance as it is difficult for other types to compensate for missing geographical proximity [37].
During the last decades, new spaces have been produced through the emergence of powerful technological networks generating knowledge flows and information exchange. Technological advancements have introduced continuous streams of data (e.g., big data analytics), connected build environments (e.g., smart cities and digital twins), and increased social interaction (e.g., social networks and platforms). Technology reshapes space by introducing multiple layers, interactions, and complexity [38], while at the same time, it produces space through the processes of production and social reproduction, acting as a mediator for the spatialization of social relations [39]. Hence, technological advancements can be understood as pathways for freeing capital from any spatial constraints by collapsing spatial and temporal boundaries [18].
Technology creates a set of systems of socio-technical networks across space closely enrolled with human actors and with other technologies [40,41]. The rise of cyber-physical systems acts as a catalyst for the advantages offered by user engagement and crowdsourcing mediated by technology, software-guided e-tools, datasets, and analytics [42,43]. In this way, technology changes the way local capabilities, knowledge, and human capital are connected to global knowledge flows, creating localized forms of space driven by increasingly complex, non-linear, and dynamic processes of knowledge creation, diffusion, and use. All these elements are essential for generating agglomeration effects that trigger centripetal forces in the new forms of space produced by technology. In this context, digital platforms offer the ability to foster team collaborations for releasing collective intelligence benefits and are able to reproduce agglomeration forces accompanied by actor interactions for building proximity externalities [14,44].

3. The Power of Platforms as Proximity Enablers

Although the role of technology as a facilitator of externalities has been highlighted several times, their fragmented character has been recently considered [22]. An initial form of the power of platforms can be perceived as their ability to break the silos between digital technologies by creating connected digital spaces where different applications co-exist and work together. In this way, these platforms led to a considerable adoption of technological advancements by individuals, firms, and institutions, which could not be achieved previously. This resulted in (i) an explosion of actors who interacted during productivity and innovation processes; (ii) the glocalization of knowledge by mixing local and global competence and knowhow factors; (iii) skills improvement and informed decision making using digital tools; and (iv) an extended user-driven innovation [14].
At the same time, the literature highlights the role of platforms in the formation of collaborative networks facilitating knowledge flows and value creation by bringing relevant actors together [45,46,47]. This suggests that platforms can enable proximity externalities that are not always limited in a particular geographical region [14,22]. In this regard, the power of platforms also stands on their ability to reinforce productivity and innovation through digital collaborative networks of interconnected actors. This results in interconnected forms of proximity that are able to form digital ecosystems creating value through the development of new products and services. These include organizational, institutional, and entrepreneurial processes combined through formal and informal digital links that generate externalities that facilitate and improve productivity and innovation processes [14,48].
The present study builds on this idea and approaches platforms as connected digital spaces consisting of multiple technologies, upon which new forms of space are produced, being able to reinforce internal and/or external interactions with relevant actors. Their power consists of their ability to foster and combine different proximity types for producing externalities. Starting with the case of cognitive proximity, the power of platforms is derived from aspects related to knowledge sharing and ideation. Amongst its various expressions, wiki-based knowledge-sharing tools and multi-user computer-aided design applications (MUCADs) are key solutions that can empower these processes, as they transform and communicate knowledge between the various users. Platform-based wiki tools have been developed to manage the documentation produced by various actors by helping them to create, collaborate, edit, and share content in an organized way [49]. Moreover, MUCAD platforms offer the ability to efficiently analyze CAD design behaviors and empower learning processes between actors [50]. In both cases, platforms increase the ability of actors to learn from each other and create rapid knowledge spillovers overpassing the need for the geographical co-location of actors, which in many cases is a source of bias for knowledge network generation [6,51].
Platforms can also enhance organizational proximity by creating common organizational structures between different organizations. Platform-based project management tools, such as enterprise resource planning (ERP), enhanced product lifecycle management systems (PLMs), and cloud computing infrastructure as a service, have already started to be broadly adopted. In the first case, ERP platforms ensure that normalized information is used within an organization, being interconnected with various processes and workflows across different departments [52]. Moreover, PLM software provides the ability to manage all the information and processes being involved at every step of a product or service lifecycle across globalized supply chains [53]. This is an essential step towards combining information obtained from different parts of the same or between different organizations, and therefore, bridge any existing gaps between their organizational structures. This establishes a shared basis upon which the capacity to diffuse knowledge, information, and relations within or between organizations becomes easier and more effective, leading to greater organizational proximity [54]. Real-time evidence-based process monitoring offers another essential platform-based tool that enables organizations to define their closeness to other actors and perform any necessary actions to coordinate their routines.
Platforms can also act as digital enablers of social proximity through social networks and digital living labs. Platforms integrate digital elements facilitating the development and the establishment of socially embedded relations that act as boosters of trust between actors [14,24]. Participatory experimentation and co-creation activities empowered through platforms are essential aspects that need to be considered for improving potential social proximity biases related to the rigidity of the social relationships, entry barriers for newcomers, and over-embedded social relationships [14,30]. For example, the evidence from an assessment study on platform co-creation tools related to smart specialization strategies has shown that these have been able to even engage actors that did not have prior experiences related to the specific policy area, offering the opportunity to include a wide range of participants throughout the policy-design process [14]. In this way, enhanced platform externalities result through extended collaboration networks with increased social proximity.
In addition, platforms can reinforce externalities related to institutional proximity as they embed digital technologies that boost institutional transparency and flexibility [6]. Platform-based applications using open data, blockchain technologies, automated feedback systems, cyber security, and intellectual property rights (IPRs) are integral parts of this process, as they increase transparency and flexibility, alongside the establishment of a shared institutional culture amongst actors [46,55]. These aspects are essential for increasing institutional proximity. Openness and wide participation in these processes ensure the avoidance of any potential institutional rigidity that might have negative effects on the externalities produced through this proximity dimension [56].
Finally, in the case of geographical proximity, platforms mostly act as a substitute instead of a complementary factor. The geographical dimension of proximity builds on the physical co-location of activities and market factors, as tacit knowledge is more easily transferred through spatial closeness where actors are brought together and interact more easily [57]. Platforms can overpass barriers created through geographical distancing by forming virtual spaces, such as digital ecosystems, able to reproduce interactions between various actors. This provides them with the ability to increase market and factor access independently from the geographical location. Therefore, platforms enhance geographical proximity by imitating spatial closeness and by creating novel links between actors that are not located in the same place [14].

4. Platform Adoption by Firm Size and Industry

The next step, after exploring the correspondence between platform-based characteristics and the different types of proximity, is to investigate potential implications rising through the adoption of platforms by organizations, such as firms, with regard to their ability of creating new pathways for boosting externalities amongst their actors. This can provide a meaningful channel for balancing capabilities for producing and combining various types of proximity towards fostering productivity and innovation.
With respect to firms, the power of platforms as proximity enablers depends both on the types of proximity that each firm wants to empower and their level of adoption. Small and medium enterprises (SMEs) need to address different challenges for increasing their productivity compared to large firms, because of structural and organizational disparities [58]. The literature points out that proximity externalities related to network effects and collaboration have a positive impact on SMEs [59], as SMEs—and their ecosystems—are rich in terms of their existing assets, but they lack interconnectedness amongst them [60]. At the same time, large firms have greater abilities for coordinating distant collaborations [61,62], but lack flexibility in terms of transforming their business models rapidly, resulting in organizational barriers underpinning their performance [63]. Hence, firm size matters regarding the types of proximity that need to be boosted for increasing productivity. On the one hand, SMEs perceive platform-based technologies as a means for empowering their collaborative capabilities and knowledge diffusion towards overcoming any lack of resources, whereas on the other hand, large companies focus on using platform-based tools mainly as a means for overcoming organizational complexity and inertia [64,65].
Variations regarding the implications of platforms at a firm level exist not only in terms of the different types of proximity they choose to empower, but also in the overall level of adoption. The penetration of platform-based technologies in firm processes can depend on various factors, including aspects of productivity, as high productivity firms tend to invest more easily in new technologies due to increased financial means, as well as aspects related to positive spillovers generated through platform adoption by other firms that have been found significant [66]. Recent evidence suggests that the level of adoption is also relevant to the intensity of routine tasks resulting in a generally higher diffusion of digital technologies in services than in manufacturing [67].
In order to investigate these aspects at the firm and industry levels, the study uses data from the Digital Economy and Society database. It first explores emerging differences with regard to the level of digital integration and the types of proximities that small (10–49 persons), medium (50–249 persons), and large enterprises (more than 250 persons) choose to empower through platform-based technologies in the EU-27 countries for 2021.
The analysis aims to shed light on specific platform-based tools that are being used that are closely related to three different types of proximity: organizational, social, and cognitive. These include (i) the share of enterprises using cloud computing services (CCs), referring to aspects of organizational proximity; (ii) the share of enterprises using the enterprise resource planning (ERP) software package to diffuse information between different functional areas, indicating the high relevance to organizational proximity; (iii) the share of enterprises using social media (SM), which lie in the heart of processes reinforcing social proximity; and (iv) the share of enterprises using wiki-based knowledge-sharing tools (WIKI), being closely related to cognitive proximity aspects. Decomposing the different shares of the aforementioned platform-based technologies by firm size and industry revealed some interesting findings regarding their level of adoption and the types of proximity that firms chose to empower.
Figure 1 shows that, in both cases, large firms indicate higher shares of adoption in all types of platform-based tools. First, CC services show a similar overall adoption by manufacturing and services sectors, with a slightly higher level in the case of small and medium service firms compared to manufacturing. This is in line with the previous research pointing out that CC is strongly associated with a positive productivity performance for small firms, as it offers a way to ‘scale without mass’ [68], which is closely related to organizational proximity. Second, ERP software has received a broader approval by medium and large firms in manufacturing, indicating their willingness to use the power of platforms for sharing information between different functional areas and increasing their organizational proximity. According to the existing literature, large companies use platforms for overcoming organizational complexity and inertia by applying them in existing routines for streamlining production processes [65]. Third, when it comes to SM platform-based tools, it is noticeable that the adoption levels are significantly higher in the services sector for small and medium firms, compared to manufacturing. This indicates the need of small and medium firms to foster social proximity aspects through platforms for better establishing their market size and orientation. Forth, WIKI knowledge-sharing tools indicate the lowest adoption levels, especially in the case of small firms, which are similar between manufacturing and services. Given that WIKI tools are platform-based technologies for building cognitive proximity at an intra- and inter-firm level, this can be considered as a significant drawback for improving their performance, as there are increased needs for interconnectedness between their resources through knowledge flows [60].
To investigate how different types of platforms can create different forms of proximity, the analysis further elaborated on the types of and purposes for which the various platform-based technologies were used. In the case of ERP and WIKI tools, their functionalities strictly related to organizational and knowledge-sharing aspects, so we could not perform any further analysis. However, CC and SM tools indicated a broader application covering various aspects of proximity and capability empowerment.
Starting from the CC platforms, the findings presented in Table 1 show that there a no significant differences between firm size and industry when it comes to the files’ storage, database hosting, and security software. All these functions were widely applied in both manufacturing and services sectors, across all different firm sizes under investigation. However, finance or accounting CC software was more broadly used by small and medium firms—compared to large—in manufacturing and services, indicating their need to enhance their organizational capabilities without dramatically increasing their functioning costs. In the case of large firms, CC platforms indicate a significant variation from small and medium firms when they are used for running the firm’s own software and for developing, testing, or deploying applications. Even though these functions also relate to organizational proximity, their orientation focuses on product development aspects.
In the case of SM platform-based tools, the existing data offer the opportunity to decompose their use purposes in five key areas: (i) the development of the firm’s image or market products; (ii) obtain or respond to customer opinions, reviews, and questions; (iii) collaboration with business partners and other organizations; (iv) involvement of customers in the development or innovation of goods and services; and (v) exchange of views, opinions, or knowledge within the enterprise. Table 2 shows that services referring to the development of a firm’s image or market products and customer services are the ones with the higher shares, without indicating variations by firm size or industry. However, differences arise when the purpose of SM platform tools focuses on more specialized capabilities. Small firms in manufacturing mostly use SM for promoting a collaboration towards increasing their social proximity, while in services, small firms use SM platforms to empower the involvement of customers in development or innovation processes. Medium and large firms apply SM to foster knowledge exchange, increasing, in this way, cognitive proximity within their organizations.

5. Platform Adoption and Potential Implications

Apart from the revealed disparities in the types of proximity they empower based on industry and firm size, platforms also have a geographical dimension creating imbalances in their adoption levels across countries [12,67]. Variations in platform adoption often relate to different capabilities (e.g., enhancing managerial and digital-friendly skills) and incentives (e.g., reducing entry and exit barriers) across space [69,70]. Although platforms have the ability to create a-spatial networks, they still lack in developing even geographies in terms of labor market and productivity outcomes [46,71]. Gal et al. [67] show that higher digital technology adoption is associated with higher multi-factor productivity growth, especially in the case of manufacturing with routine-intensive activities where the power of platforms consists of their ability to effectively streamline production processes. Hence, variations in the adoption rates across countries can also result in heterogenous gains rising from digitalization affecting the spatial organization of labor markets and competition [12].
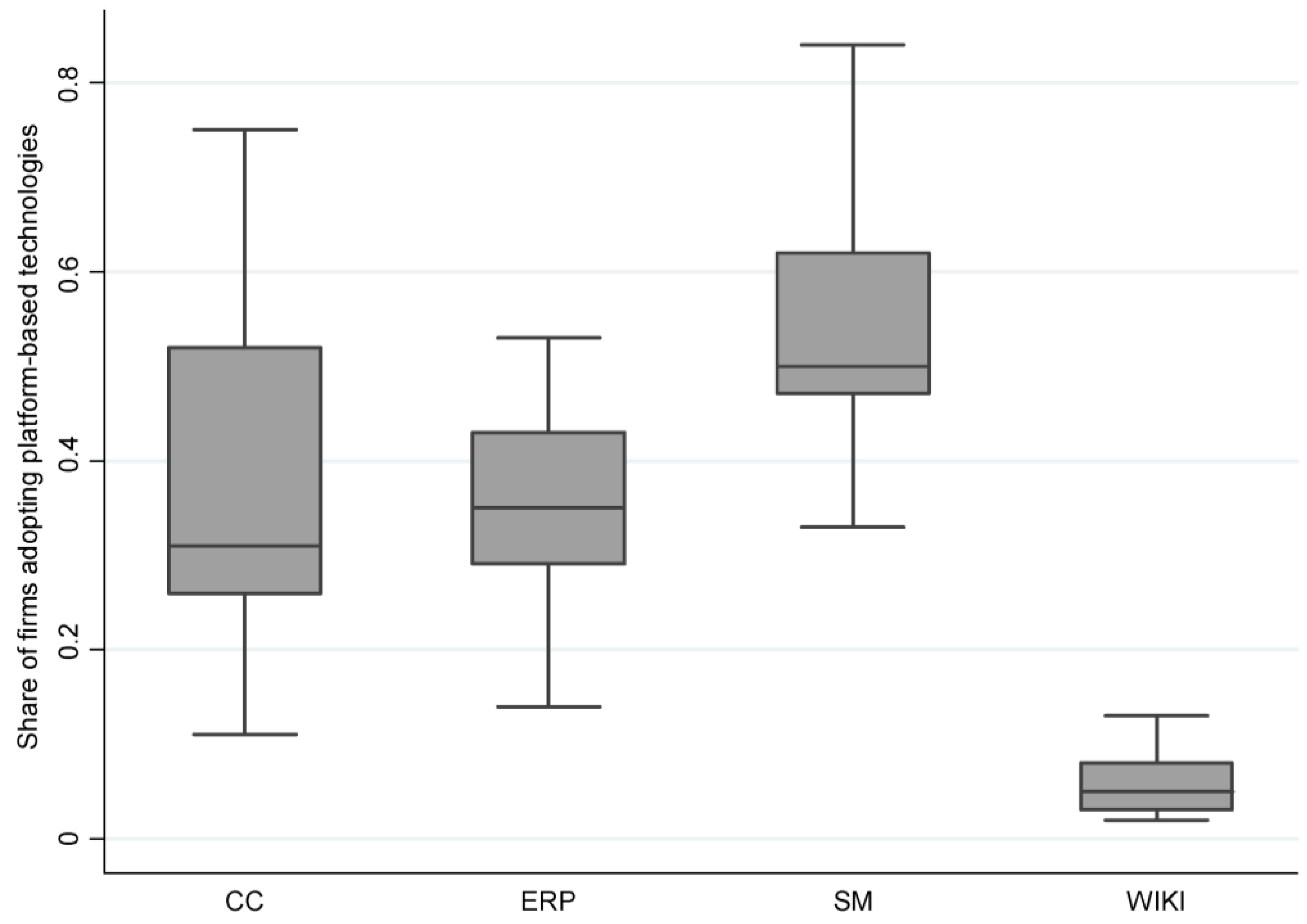
Given that identifying the causal effects of platform adoption on productivity econometrically poses multiple challenges, such as reverse causality and spillover effects, the analysis in this section is kept at the descriptive level. It tries to provide some preliminary insights regarding the geographical dimension and the diversified impact of different platform-based technologies on productivity, instead of approaching platforms as a unified digital space. Figure 2 shows the distribution of the selected platform-based technologies’ adoption rates across EU countries in 2019. As we can see, the CC seems to have the most dispersed distribution across EU countries. ERP and SM technologies indicate a narrower distribution, while WIKI tools are the least adopted platform-based tools with very similar shares across EU countries (below 20% in all cases).
When it comes to productivity aspects, some very preliminary insights can be provided at this stage. Figure 3 and Figure 4 suggest that productivity is higher and more dispersed when platform-based technology adoption is higher both in manufacturing and services. More specifically, firms tend to have higher productivity rates when operating in countries with higher levels of platform-based technology adoption, which is in line with the findings of Gal et al. [67] that use a broader classification of digital intensity. Therefore, embeddedness in local institutional and industrial structures is a key element for achieving not only higher platform adoption levels, but also a more balanced distribution of the benefits of digital proximity across space.
Even though benefits arise from the power of platforms as proximity enablers, there are cases in which dense proximities can be damaging for growth, productivity, and innovation. Disruptive transitions, such as the one experienced during COVID-19, can result in radical changes in the geography of value creation due to the rapid consolidation of market power through platforms [12]. Superstar platforms—like in the case of superstar cities—are able to connect large numbers of users/customers to service providers introducing novel organizational and institutional logics [12]. These cannot be easily tracked and monitored following the traditional physical space rules, thus creating anomalies in the spatial organization of activities. In these cases, there is a risk of rising reverse-causality effects emerging from the increasing power of platforms, which can further foster monopoly power and agglomeration phenomena [15]. The previous findings show that, even though platforms can create a-spatial networks and geographies, they still cannot be considered as geographically disembedded. This suggests that proximity enabled by platforms does not work as a substitute to traditional forms, but it complements them. Hence, future scenarios should consider exploring effective ways in which we can map the new organization of activities under the platform perspective, connecting them with existing spatial structures.

6. Concluding Remarks and Directions for Future Research

Traditional forms of proximity—physical, social, institutional, organizational, and cognitive—can act as enablers of externalities boosting developmental capabilities [23]. Agglomeration economies have a greater ability to produce sufficient externalities through their increased proximity, leaving less developed areas behind [1]. The paper argues that platforms can empower capabilities through the creation of formal and informal links between actors, disrupting productivity and innovation processes by making them more accessible, participatory, and open [72].
Even though many studies define platform power as their ability to accelerate global markets and concentrate monopoly power [15,73], this paper defines the power of platforms as their inherent ability to reinforce proximity through digital means, digital proximity, promoting interactions, information flows, and network creation. The paper argues that increased platform adoption in production and innovation processes raises the potential of digital proximity to emerge and correct any imbalances in terms of developmental capabilities. The evidence provided in this paper shows that platform adoption levels and types differ by firm size, industry, and across space. This means that, for the power of platforms as proximity enablers to be released, it is essential to consider the underlying environmental conditions, indicating in this way their complementary character to existing proximity forms.
The paper approaches digital proximity embeddedness using a set of platform-based technologies as proxies. It argues that ERP software and cloud computing services reinforce organizational proximity by providing common organizational elements and real-time evidence-based monitoring to firms, while platform-based SM tools are essential for promoting social proximity, as they foster participatory experimentation, co-creation, and the creation of extended collaboration networks. Platform-based WIKI tools can boost cognitive proximity by enabling increased knowledge diffusion through extended knowledge-sharing interactions.
The effective penetration of these platform-based proximity enablers means that each firm or industry should choose the right type of proximity to be boosted based on its needs for empowering existing and creating new capabilities. For example, large firms that are characterized by complex internal processes mostly benefit from exploiting the power of platforms towards enhancing its organizational proximity to optimize its production structures. The analysis suggests that large firms have already adopted ERP software and cloud computing services to a large extent, while they seem to also be open to embedding the social and cognitive aspects of digital proximity. On the contrary, for small firms, the power of platforms consists of building new capabilities for network creation and knowledge diffusion through social and cognitive proximities, respectively.
The evidence suggests that, although small and medium firms have managed to obtain an essential adoption level of platform-based tools in relation to organizational proximity, they still lack in terms of integrating platforms in their social and cognitive proximity generation processes. This is in line with previous studies highlighting that SMEs face challenges in embedding digital platforms due to a lack of the required resources, skills, and flexibility [63]. A way to overcome this barrier is the provision of training in SMEs towards using platform tools related to social and cognitive proximities to harvest their benefits. However, even though platforms provide significant advantages to SMEs, the relevant training and efficient inclusion of these tools require an effort and time from their side, which in several cases is not available due to time and cost constraints. This can be overcome by having access to already trained human resources that are directly capable of embedding platforms in production processes, without needing further skill enhancements.
The study also investigated the geography of digital proximity emergence. When considering the spatial dimension of the platform-based technologies’ adoption, the evidence suggests that firm productivity is higher and more dispersed in EU countries with higher levels of platform-based technology adoption. This finding highlights the dependence of digital proximity on the spatial context that should be considered by policies encouraging platform adoptions. The intrinsic potential of platforms to support proximity can result in uneven productivity outcomes that undermine developmental processes. Hence, it is essential to carefully promote policies reinforcing digital proximity in places where it is mostly needed. In this way, less developed areas can build new and enhance existing capabilities through digital agglomeration externalities. The rising digital agglomerations will alter the interactions between EU regions, as well as among different spatial scales, as has also been stressed by Davies et al. [74].
Future research should focus on considering three key aspects that were not addressed in this paper, constituting the limitations of this study. First, the need to use more detailed data that will shed light on the adoption of platform-based technologies at lower spatial scales, such as regions and metropolitan areas. The data used in this paper provided only a national perspective of the suggested theoretical aspects introduced by digital platforms in relation to the creation of new channels of proximity. Future research should focus on expanding the analysis of lower spatial levels towards highlighting the importance of these factors in development. Second, future research should shed light on the potential of new types of commons rising from the adoption of platforms towards increasing their penetration of production and innovation processes, especially in the case of SMEs that still lack the ability to effectively capture the full power offered to them through platforms. To the author’s knowledge, there are no available data in relation to this aspect that can be used for the analysis, constituting this a limitation for including the commons perspective in the current study. Third, the development of adequate regional policies towards supporting the adoption of platform-based technologies for leveraging the most for regions by an effective embeddedness of digital proximity. These policies can include the development of training programs for skills empowerment for local companies and individuals towards strengthening the human capital that is available at the regional level. This will offer the opportunity to less developed regions to harvest existing platform benefits by boosting existing capabilities through proximity and increasing their developmental potential.

Funding

This research received no external funding.

Conflicts of Interest

The author declares no conflict of interest.

References

  1. Rodríguez-Pose, A. The revenge of the places that don’t matter (and what to do about it). Camb. J. Reg. Econ. Soc. 2018, 11, 189–209. [Google Scholar] [CrossRef]
  2. Iammarino, S.; Rodríguez-Pose, A.; Storper, M. Regional inequality in Europe: Evidence, theory and policy implications. J. Econ. Geogr. 2019, 19, 273–298. [Google Scholar] [CrossRef]
  3. De la Roca, J.; Puga, D. Learning by working in big cities. Rev. Econ. Stud. 2017, 84, 106–142. [Google Scholar] [CrossRef]
  4. Capello, R. Space, Growth and Development: A Historical Perspective and Recent Advances. In Handbook of Regional Growth and Development Theories; Edward Elgar Publishing: Cheltenham, UK, 2019. [Google Scholar]
  5. Kemeny, T.; Storper, M. Superstar Cities and Left-Behind Places: Disruptive Innovation, Labor Demand, and Interregional Inequality. 2020. Working Paper 41. London: LSE International Inequality Institute. Available online: http://eprints.lse.ac.uk/103312/1/Kemeny_superstar_cities_left_behind_place_wp41.pdf (accessed on 14 May 2023).
  6. Boschma, R. Proximity and innovation: A critical assessment. Reg. Stud. 2005, 39, 61–74. [Google Scholar] [CrossRef]
  7. Balland, P.A.; Boschma, R.; Frenken, K. Proximity and innovation: From statics to dynamics. Reg. Stud. 2015, 49, 907–920. [Google Scholar] [CrossRef]
  8. Fitjar, R.D.; Rodríguez-Pose, A. Innovating in the periphery: Firms, values and innovation in Southwest Norway. Eur. Plan. Stud. 2011, 19, 555–574. [Google Scholar] [CrossRef]
  9. Radosevic, S.; Curaj, A.; Gheorghiu, R.; Andreescu, L.; Wade, I. (Eds.) Advances in the Theory and Practice of Smart Specialization; Academic Press: Cambridge, MA, USA, 2017. [Google Scholar]
  10. Frenken, K.; Vaskelainen, T.; Fünfschilling, L.; Piscicelli, L. An Institutional Logics Perspective on the Gig Economy. In Theorizing the Sharing Economy: Variety and Trajectories of New Forms of Organizing; Emerald Publishing Limited: Bingley, UK, 2020. [Google Scholar]
  11. Van Dijck, J.; Poell, T.; De Waal, M. The Platform Society: Public Values in a Connective World; Oxford University Press: Oxford, UK, 2018. [Google Scholar]
  12. Kenney, M.; Zysman, J. The platform economy: Restructuring the space of capitalist accumulation. Camb. J. Reg. Econ. Soc. 2020, 13, 55–76. [Google Scholar] [CrossRef]
  13. Kretschmer, T.; Leiponen, A.; Schilling, M.; Vasudeva, G. Platform ecosystems as meta-organizations: Implications for platform strategies. Strateg. Manag. J. 2022, 43, 405–424. [Google Scholar] [CrossRef]
  14. Panori, A.; Kakderi, C.; Komninos, N.; Fellnhofer, K.; Reid, A.; Mora, L. Smart systems of innovation for smart places: Challenges in deploying digital platforms for co-creation and data-intelligence. Land Use Policy 2021, 111, 104631. [Google Scholar] [CrossRef]
  15. Feldman, M.; Guy, F.; Iammarino, S. Regional Income disparities, monopoly and finance. Camb. J. Reg. Econ. Soc. 2021, 14, 25–49. [Google Scholar] [CrossRef]
  16. Murdoch, J. Post-Structuralist Geography; Sage: London, UK, 2006. [Google Scholar]
  17. Davoudi, S. Spatial Planning: The Promised Land or Roll-Out Neoliberalism? In The Routledge Handbook of Planning Theory; Gunder, M., Madanipour, A., Watson, V., Eds.; Routledge: London, UK, 2017. [Google Scholar]
  18. Harvey, D. Between space and time: Reflections on the geographical imagination. Ann. Assoc. Am. Geogr. 1990, 80, 418–434. [Google Scholar] [CrossRef]
  19. Lefebvre, H. The Production of Space; Translated by D Nicholson-Smith (Basil Blackwell, Oxford); Original French Publication: Paris, France, 1991. [Google Scholar]
  20. Soja, E. Postmodern Geographies: The Reassertion of Space in Critical Social Theory; Verso: London, UK, 1989. [Google Scholar]
  21. Amin, A. Spatialities of globalization. Environ. Plan. A 2002, 34, 385–399. [Google Scholar] [CrossRef]
  22. Komninos, N. Smart Cities and Connected Intelligence: Platforms, Ecosystems and Network Effects; Routledge: London, UK, 2019. [Google Scholar]
  23. Boschma, R. The Role of Non-Local Linkages for Innovation; (No. 2113); Utrecht University, Department of Human Geography and Spatial Planning, Group Economic Geography: Utrecht, The Netherlands, 2021. [Google Scholar]
  24. Komninos, N.; Kakderi, C.; Collado, A.; Papadaki, I.; Panori, A. Digital Transformation of City Ecosystems: Platforms Shaping Engagement and Externalities across Vertical Markets. J. Urban Technol. 2020, 28, 1–22. [Google Scholar]
  25. Marshall, A. Principles of Economics: Unabridged, 8th ed.; Cosimo, Inc.: New York, NY, USA, 2009. [Google Scholar]
  26. Delgado, M.; Porter, M.E.; Stern, S. Clusters and entrepreneurship. J. Econ. Geogr. 2010, 10, 495–518. [Google Scholar] [CrossRef]
  27. Lundvall, B.Å. (Ed.) National Systems of Innovation: Toward a Theory of Innovation and Interactive Learning; Anthem Press: London, UK, 2010; Volume 2. [Google Scholar]
  28. Asheim, B.T.; Boschma, R.; Cooke, P. Constructing regional advantage: Platform policies based on related variety and differentiated knowledge bases. Reg. Stud. 2011, 45, 893–904. [Google Scholar] [CrossRef]
  29. Martin, R.; Sunley, P. Path dependence and regional economic evolution. J. Econ. Geogr. 2006, 6, 395–437. [Google Scholar] [CrossRef]
  30. Balland, P.A.; De Vaan, M.; Boschma, R. The dynamics of interfirm networks along the industry life cycle: The case of the global video game industry, 1987–2007. J. Econ. Geogr. 2013, 13, 741–765. [Google Scholar] [CrossRef]
  31. Crespo, J.; Boschma, R.; Balland, P.A. Resilience, Networks and Competitiveness: A Conceptual Framework. In Handbook of Regions and Competitiveness; Edward Elgar Publishing: Cheltenham, UK, 2017. [Google Scholar]
  32. Torre, A.; Rallet, A. Proximity and localization. Reg. Stud. 2005, 39, 47–59. [Google Scholar] [CrossRef]
  33. Torre, A.; Gilly, J.P. On the analytical dimension of proximity dynamics. Reg. Stud. 2000, 34, 169–180. [Google Scholar]
  34. Coenen, L.; Asheim, B.; Bugge, M.M.; Herstad, S.J. Advancing regional innovation systems: What does evolutionary economic geography bring to the policy table? Environ. Plan. C Politics Space 2017, 35, 600–620. [Google Scholar] [CrossRef]
  35. Ponds, R.; Oort, F.V.; Frenken, K. Innovation, spillovers and university–industry collaboration: An extended knowledge production function approach. J. Econ. Geogr. 2009, 10, 231–255. [Google Scholar] [CrossRef]
  36. Cassi, L.; Plunket, A. Research collaboration in co-inventor networks: Combining closure, bridging and proximities. Reg. Stud. 2015, 49, 936–954. [Google Scholar] [CrossRef]
  37. Marek, P.; Titze, M.; Fuhrmeister, C.; Blum, U. R&D collaborations and the role of proximity. Reg. Stud. 2017, 51, 1761–1773. [Google Scholar]
  38. Ferguson, M. The mythology about globalization. Eur. J. Commun. 1992, 7, 69–93. [Google Scholar] [CrossRef]
  39. Kirsch, S. The incredible shrinking world? Technology and the production of space. Environ. Plan. D Soc. Space 1995, 13, 529–555. [Google Scholar] [CrossRef]
  40. Latour, B. We Have Never Been Modern; Harvester and Wheatsheaf: London, UK, 1993. [Google Scholar]
  41. Mora, L.; Panori, A.; Deakin, M.; Ortega-Argiles, R. Digital meets smart: Towards a technology-enhanced approach to Smart Specialisation Strategy development. Reg. Stud. 2022, 56, 1421–1428. [Google Scholar] [CrossRef]
  42. Komninos, N.; Panori, A. The Creation of City Smartness: Architectures of Intelligence in Smart Cities and Smart Ecosystems. In Smart Cities in the Post-Algorithmic Era; Edward Elgar Publishing: Cheltenham, UK, 2019. [Google Scholar]
  43. Angelidou, M.; Politis, C.; Panori, A.; Barkratsas, T.; Fellnhofer, K. Emerging smart city, transport and energy trends in urban settings: Results of a pan-European foresight exercise with 120 experts. Technol. Forecast. Soc. Chang. 2022, 183, 121915. [Google Scholar] [CrossRef]
  44. Janssen, M.J.; Frenken, K. Cross-specialisation policy: Rationales and options for linking unrelated industries. Camb. J. Reg. Econ. Soc. 2019, 12, 195–212. [Google Scholar] [CrossRef]
  45. Oh, D.S.; Phillips, F.; Park, S.; Lee, E. Innovation ecosystems: A critical examination. Technovation 2016, 54, 1–6. [Google Scholar] [CrossRef]
  46. Papadimitropoulos, E. Platform Capitalism, Platform Cooperativism, and the Commons. Rethink. Marx. 2021, 33, 246–262. [Google Scholar] [CrossRef]
  47. Ben Youssef, A. Introducing Platforms: A Transdisciplinary Journal on Platform Management, Services and Policy and All Related Research. Platforms 2022, 1, 1–3. [Google Scholar] [CrossRef]
  48. Adner, R. Ecosystem as structure: An actionable construct for strategy. J. Manag. 2017, 43, 39–58. [Google Scholar] [CrossRef]
  49. Zhang, S.; Chen, J.; Wen, Y.; Chen, H.; Gao, Q.; Wang, Q. Capturing regulatory patterns in online collaborative learning: A network analytic approach. Int. J. Comput. Support. Collab. Learn. 2021, 16, 37–66. [Google Scholar] [CrossRef]
  50. Deng, Y.; Mueller, M.; Rogers, C.; Olechowski, A. The multi-user computer-aided design collaborative learning framework. Adv. Eng. Inform. 2022, 51, 101446. [Google Scholar] [CrossRef]
  51. Giuliani, E. The selective nature of knowledge networks in clusters: Evidence from the wine industry. J. Econ. Geogr. 2007, 7, 139–168. [Google Scholar] [CrossRef]
  52. Gajšek, B.; Sternad, M. Information Flow in the Context of the Green Concept, Industry 4.0, and Supply Chain Integration. In Integration of Information Flow for Greening Supply Chain Management; Springer: Cham, Switzerland, 2020; pp. 297–323. [Google Scholar]
  53. Dallasega, P.; Rauch, E.; Linder, C. Industry 4.0 as an enabler of proximity for construction supply chains: A systematic literature review. Comput. Ind. 2018, 99, 205–225. [Google Scholar] [CrossRef]
  54. Pershina, R.; Soppe, B.; Thune, T.M. Bridging analog and digital expertise: Cross-domain collaboration and boundary-spanning tools in the creation of digital innovation. Res. Policy 2019, 48, 103819. [Google Scholar] [CrossRef]
  55. Sholtz, T. Platform Cooperativism: Challenging the Corporate Sharing Economy. Rose Luxemburg Stiftung New York Office ROSA. 2016. Available online: https://eticasfoundation.org/wp-content/uploads/2019/03/Scholz_Platform-Cooperativism.pdf (accessed on 3 May 2023).
  56. le Duc, N.; Lindeque, J. Proximity and multinational enterprise co-location in clusters: A multiple case study of Dutch science parks. Ind. Innov. 2018, 25, 282–307. [Google Scholar] [CrossRef]
  57. Howells, J.R. Tacit knowledge, innovation and economic geography. Urban Stud. 2002, 39, 871–884. [Google Scholar] [CrossRef]
  58. Klewitz, J.; Hansen, E.G. Sustainability-oriented innovation of SMEs: A systematic review. J. Clean. Prod. 2014, 65, 57–75. [Google Scholar] [CrossRef]
  59. Cai, J.; Szeidl, A. Interfirm relationships and business performance. Q. J. Econ. 2018, 133, 1229–1282. [Google Scholar] [CrossRef]
  60. Reynolds, E.B.; Uygun, Y. Strengthening advanced manufacturing innovation ecosystems: The case of Massachusetts. Technol. Forecast. Soc. Chang. 2018, 136, 178–191. [Google Scholar] [CrossRef]
  61. Dickson, M.M.; Espa, G.; Gabriele, R.; Mazzitelli, A. Small businesses and the effects on the growth of formal collaboration agreements: Additional insights and policy implications. Appl. Econ. 2021, 53, 5397–5414. [Google Scholar] [CrossRef]
  62. Garcia, R.; Araujo, V.; Mascarini, S.; Gomes Dos Santos, E.; Costa, A. Is cognitive proximity a driver of geographical distance of university–industry collaboration? Area Dev. Policy 2018, 3, 349–367. [Google Scholar] [CrossRef]
  63. Brunswicker, S.; Chesbrough, H. The Adoption of Open Innovation in Large Firms: Practices, Measures, and Risks A survey of large firms examines how firms approach open innovation strategically and manage knowledge flows at the project level. Res. Technol. Manag. 2018, 61, 35–45. [Google Scholar] [CrossRef]
  64. Hafkesbrink, J.; Schroll, M. Innovation 3.0: Embedding into community knowledge-collaborative organizational learning beyond open innovation. J. Innov. Econ. Manag. 2011, 1, 55–92. [Google Scholar] [CrossRef]
  65. Müller, J.M.; Buliga, O.; Voigt, K.I. Fortune favors the prepared: How SMEs approach business model innovations in Industry 4.0. Technol. Forecast. Soc. Chang. 2018, 132, 2–17. [Google Scholar] [CrossRef]
  66. Syverson, C. What determines productivity? J. Econ. Lit. 2011, 49, 326–365. [Google Scholar] [CrossRef]
  67. Gal, P.; Nicoletti, G.; Renault, T.; Sorbe, S.; Timiliotis, C. Digitalisation and Productivity: In Search of the Holy Grail–Firm-Level Empirical Evidence from EU Countries; OECD: Paris, France, 2019. [Google Scholar]
  68. Bloom, N.; Pierri, N. Cloud computing is helping smaller, newer firms compete. Harv. Bus. Rev. 2018, 94. [Google Scholar]
  69. DeStefano, T.; De Backer, K.; Moussiegt, L. Determinants of Digital Technology Use by Companies. In OECD Science, Technology and Innovation Policy Papers; No. 40; OECD: Paris, France, 2017; Available online: https://www.oecd-ilibrary.org/docserver/a9b53784-en.pdf (accessed on 13 May 2023).
  70. Andrews, D.; Nicoletti, G.; Timiliotis, C. Digital Technology Diffusion: A Matter of Capabilities, Incentives or Both? In OECD Economics Department Working Papers; No. 1476; OECD Publishing: Paris, France, 2018. [Google Scholar] [CrossRef]
  71. Graham, M.; Hjorth, I.; Lehdonvirta, V. Digital labour and development: Impacts of global digital labour platforms and the gig economy on worker livelihoods. Transf. Eur. Rev. Labour Res. 2017, 23, 135–162. [Google Scholar] [CrossRef]
  72. Komninos, N.; Panori, A.; Kakderi, C. Smart Cities beyond Algorithmic Logic: Digital Platforms, User Engagement and Data Science. In Smart Cities in the Post-Algorithmic Era; Edward Elgar Publishing: Cheltenham, UK, 2019. [Google Scholar]
  73. Christophers, B. Rentier Capitalism: Who Owns the Economy, and Who Pays for It? Verso Books: London, UK, 2020. [Google Scholar]
  74. Davies, A.R.; Donald, B.; Gray, M.; Knox-Hayes, J. Sharing economies: Moving beyond binaries in a digital age. Camb. J. Reg. Econ. Soc. 2017, 10, 209–230. [Google Scholar] [CrossRef]
Figure 1. Share of platform-based technologies’ adoption by firm size in (a) manufacturing and (b) services (2019). Data: Digital Economy and Society comprehensive database and author elaboration.
Figure 1. Share of platform-based technologies’ adoption by firm size in (a) manufacturing and (b) services (2019). Data: Digital Economy and Society comprehensive database and author elaboration.
Platforms 02 00001 g001
Figure 2. Distribution of platform-based technologies’ adoption rates across EU countries (EU countries included in this graph are Austria, Belgium, Bulgaria, Croatia, Cyprus, Czechia, Denmark, Estonia, Finland, France, Germany, Greece, Hungary, Italy, Latvia, Lithuania, Luxembourg, Malta, Netherlands, Poland, Portugal, Romania, Slovakia, Slovenia, and Spain) (2019). Data: Digital Economy and Society comprehensive database and author elaboration.
Figure 2. Distribution of platform-based technologies’ adoption rates across EU countries (EU countries included in this graph are Austria, Belgium, Bulgaria, Croatia, Cyprus, Czechia, Denmark, Estonia, Finland, France, Germany, Greece, Hungary, Italy, Latvia, Lithuania, Luxembourg, Malta, Netherlands, Poland, Portugal, Romania, Slovakia, Slovenia, and Spain) (2019). Data: Digital Economy and Society comprehensive database and author elaboration.
Platforms 02 00001 g002
Figure 3. Productivity distribution of manufacturing across EU countries with higher vs. lower platform-based technology adoption rates. Note: ‘Higher adoption’ and ‘lower adoption’ denotes EU countries that are above and below, respectively, of the median adoption rate of each platform-based technology. Data: Digital Economy and Society comprehensive database and author elaboration.
Figure 3. Productivity distribution of manufacturing across EU countries with higher vs. lower platform-based technology adoption rates. Note: ‘Higher adoption’ and ‘lower adoption’ denotes EU countries that are above and below, respectively, of the median adoption rate of each platform-based technology. Data: Digital Economy and Society comprehensive database and author elaboration.
Platforms 02 00001 g003
Figure 4. Productivity distribution of services across EU countries with higher vs. lower platform-based technology adoption rates. Note: ‘Higher adoption’ and ‘lower adoption’ denotes EU countries that are above and below, respectively, of the median adoption rate of each platform-based technology. Grey circles refer to outliers in the distribution. Data: Digital Economy and Society comprehensive database and author elaboration.
Figure 4. Productivity distribution of services across EU countries with higher vs. lower platform-based technology adoption rates. Note: ‘Higher adoption’ and ‘lower adoption’ denotes EU countries that are above and below, respectively, of the median adoption rate of each platform-based technology. Grey circles refer to outliers in the distribution. Data: Digital Economy and Society comprehensive database and author elaboration.
Platforms 02 00001 g004
Table 1. Share of different types of CC technologies’ adoption by industry and firm size (2021).
Table 1. Share of different types of CC technologies’ adoption by industry and firm size (2021).
ManufacturingStorage of FilesHosting the Firm’s DatabaseRun the Firm’s Own SoftwareFinance or Accounting SoftwareSecurity SoftwareApplication Development, Testing, or Deployment
Small firms60.87%37.86%15.83%47.10%59.59%9.51%
Medium firms63.01%37.52%18.83%34.04%55.21%17.05%
Large firms73.34%42.75%31.13%26.03%53.11%31.36%
Services
Small firms66.97%48.54%25.38%49.81%57.69%22.80%
Medium firms71.79%50.51%32.66%46.26%59.01%32.96%
Large firms74.41%55.62%42.33%37.91%58.74%43.58%
Note: Shares are calculated as the percentage of enterprises buying CC services. Data: Digital Economy and Society comprehensive database and author elaboration.
Table 2. Share of purpose of SM service use by industry and firm size (2019).
Table 2. Share of purpose of SM service use by industry and firm size (2019).
ManufacturingDevelopment of Firm’s Image or Market ProductsCustomer Opinions, Reviews QuestionsCollaborationDevelopment or InnovationKnowledge Sharing
Small firms80.80%44.22%22.64%20.91%19.58%
Medium firms81.83%44.55%24.85%22.68%25.46%
Large firms83.72%50.85%30.75%27.42%38.31%
Services
Small firms85.62%58.64%25.67%27.77%26.81%
Medium firms87.17%61.33%30.39%33.49%34.68%
Large firms88.47%66.87%35.86%38.43%44.68%
Note: Shares are calculated as the percentage of enterprises using social media. Data: Digital Economy and Society comprehensive database and author elaboration.
Disclaimer/Publisher’s Note: The statements, opinions and data contained in all publications are solely those of the individual author(s) and contributor(s) and not of MDPI and/or the editor(s). MDPI and/or the editor(s) disclaim responsibility for any injury to people or property resulting from any ideas, methods, instructions or products referred to in the content.

Share and Cite

MDPI and ACS Style

Panori, A. Platforms Enhancing Proximity in the Digital Era. Platforms 2024, 2, 1-14. https://doi.org/10.3390/platforms2010001

AMA Style

Panori A. Platforms Enhancing Proximity in the Digital Era. Platforms. 2024; 2(1):1-14. https://doi.org/10.3390/platforms2010001

Chicago/Turabian Style

Panori, Anastasia. 2024. "Platforms Enhancing Proximity in the Digital Era" Platforms 2, no. 1: 1-14. https://doi.org/10.3390/platforms2010001

APA Style

Panori, A. (2024). Platforms Enhancing Proximity in the Digital Era. Platforms, 2(1), 1-14. https://doi.org/10.3390/platforms2010001

Article Metrics

Back to TopTop