Guinea Pig Manure and Mineral Fertilizers Enhance the Yield and Nutritional Quality of Hard Yellow Maize on the Peruvian Coast
Abstract
1. Introduction
2. Materials and Methods
2.1. Trial Location
2.2. Soil Characteristics
2.3. Experimental Design
2.4. Characteristics of Guinea Pig Manure
2.5. Crop Fertilization
2.6. Agronomic Management
2.7. Evaluated Parameters
2.8. Statistical Analysis
3. Results
3.1. Vegetative Characteristics
3.2. Ear Characteristics
3.3. Yield
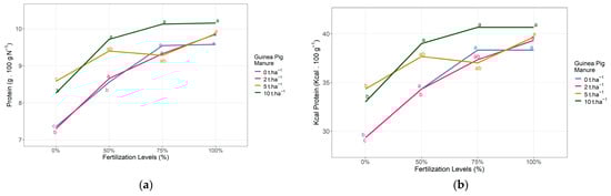
3.4. Nutritional Quality
4. Discussion
5. Conclusions
Author Contributions
Funding
Data Availability Statement
Acknowledgments
Conflicts of Interest
References
- Chrysargyris, A.; Tzortzakis, N. Nitrogen, Phosphorus, and Potassium Requirements to Improve Portulaca oleracea L. Growth, Nutrient and Water Use Efficiency in Hydroponics. Agronomy 2025, 15, 111. [Google Scholar] [CrossRef]
- Kumar Bhatt, M.; Labanya, R.; Joshi, H.C. Influence of Long-Term Chemical Fertilizers and Organic Manures on Soil Fertility–A Review. Univers. J. Agric. Res. 2019, 7, 177–188. [Google Scholar] [CrossRef]
- Usharani, K.; Roopashree, K.; Dhananjay, N. Role of Soil Physical, Chemical and Biological Properties for Soil Health Improvement and Sustainable Agriculture. J. Pharmacogn. Phytochem. 2019, 8, 1256–1267. [Google Scholar]
- Massah, J.; Azadegan, B. Effect of Chemical Fertilizers on Soil Compaction and Degradation. Agric. Mech. Asia Afr. Lat. Am. 2016, 47, 44–50. [Google Scholar]
- Mulyati; Baharuddin, A.B.; Tejowulan, R.S. Improving Maize (Zea mays L.) Growth and Yield by the Application of Inorganic and Organic Fertilizers Plus. IOP Conf. Ser. Earth Environ. Sci. 2021, 712, 012027. [Google Scholar] [CrossRef]
- Setyowati, N.; Chozin, M.; Nadeak, Y.A.; Hindarto, S.; Muktamar, Z. Sweet Corn (Zea Mays Saccharata Sturt L.) Growth and Yield Response to Tomato Extract Liquid Organic Fertilizer. Am. J. Multidiscip. Res. Dev. AJMRD 2022, 4, 25–32. [Google Scholar]
- Samaniego, T.; Pérez, W.E.; Lastra-Paúcar, S.; Verme-Mustiga, E.; Solórzano-Acosta, R. The Fermented Liquid Biofertilizer Use Derived from Slaughterhouse Waste Improves Maize Crop Yield. Trop. Subtrop. Agroecosystems 2024, 27. [Google Scholar] [CrossRef]
- Pelletier, J.; Ngoma, H.; Mason, N.M.; Barrett, C.B. Does Smallholder Maize Intensification Reduce Deforestation? Evidence from Zambia. Glob. Environ. Change 2020, 63, 102127. [Google Scholar] [CrossRef]
- Murillo Montoya, S.A.; Mendoza Mora, A.; Fadul Vásquez, C.J. La importancia de las enmiendas orgánicas en la conservación del suelo y la producción agrícola. Rev. Colomb. Investig. Agroindustrial 2019, 7, 58–68. [Google Scholar] [CrossRef]
- Murphy, B.W. Impact of Soil Organic Matter on Soil Properties—A Review with Emphasis on Australian Soils. Soil Res. 2015, 53, 605–635. [Google Scholar] [CrossRef]
- Avilés, D.F.; Martínez, A.M.; Landi, V.; Delgado, J.V. El cuy (Cavia porcellus): Un recurso andino de interés agroalimentario The guinea pig (Cavia porcellus): An Andean resource of interest as an agricultural food source. Anim. Genet. Resour. Génétiques Anim. Genéticos Anim. 2014, 55, 87–91. [Google Scholar] [CrossRef]
- Huerta, S.S.E.; Crisanto, J.M.S.; Olivera, C.C.; Alfaro, E.G.B. Biofertilizer of Guinea Pig Manure for the Recovery of a Degraded Loam Soil. Chem. Eng. Trans. 2021, 86, 745–750. [Google Scholar] [CrossRef]
- Meneses Quelal, W.O.; Velázquez-Martí, B.; Gaibor Chávez, J.; Niño Ruiz, Z.; Ferrer Gisbert, A. Evaluation of Methane Production from the Anaerobic Co-Digestion of Manure of Guinea Pig with Lignocellulosic Andean Residues. Environ. Sci. Pollut. Res. 2022, 29, 2227–2243. [Google Scholar] [CrossRef]
- Aliaga Rodríguez, L.; Moncayo Galliano, R.; Rico, E.; Caycedo, A. Producción de Cuyes, 1st ed.; Universidad Católica Sedes Sapientiae: Lima, Peru, 2009; ISBN 978-612-4030-00-0. [Google Scholar]
- Wood, S.A.; Tirfessa, D.; Baudron, F. Soil Organic Matter Underlies Crop Nutritional Quality and Productivity in Smallholder Agriculture. Agric. Ecosyst. Environ. 2018, 266, 100–108. [Google Scholar] [CrossRef]
- Moreira, R.S.; Lense, G.H.E.; Fávero, L.F.; Oliveira Junior, B.M.D.; Mincato, R.L. Nutritional Status and Physiological Parameters of Maize Cultivated with Sewage Sludge. Ciênc. Agrotecnologia 2020, 44, e029919. [Google Scholar] [CrossRef]
- Davari, M.R.; Sharma, S.N. Sharma Effect of Different Combinations of Organic Materials and Biofertilizers on Productivity, Grain Quality and Economics in Organic Farming of Basmati Rice (Oryza sativa). Indian J. Agron. 2001, 55, 290–294. [Google Scholar] [CrossRef]
- Nguyen, V.T.; Wang, C.-H. Effects of Organic Materials on Growth, Yield, and Fruit Quality of Honeydew Melon. Commun. Soil Sci. Plant Anal. 2016, 47, 495–504. [Google Scholar] [CrossRef]
- Herencia, J.F.; Ruiz-Porras, J.C.; Melero, S.; Garcia-Galavis, P.A.; Morillo, E.; Maqueda, C. Comparison between Organic and Mineral Fertilization for Soil Fertility Levels, Crop Macronutrient Concentrations, and Yield. Agron. J. 2007, 99, 973–983. [Google Scholar] [CrossRef]
- Menšík, L.; Hlisnikovský, L.; Pospíšilová, L.; Kunzová, E. The Effect of Application of Organic Manures and Mineral Fertilizers on the State of Soil Organic Matter and Nutrients in the Long-Term Field Experiment. J. Soils Sediments 2018, 18, 2813–2822. [Google Scholar] [CrossRef]
- Efthimiadou, A.; Bilalis, D.; Karkanis, A.; Froud-Williams, B. Combined Organic/Inorganic Fertilization Enhance Soil Quality and Increased Yield, Photosynthesis and Sustainability of Sweet Maize Crop. AJCS 2010, 4, 722–729. [Google Scholar]
- Wei, Z.; Ying, H.; Guo, X.; Zhuang, M.; Cui, Z.; Zhang, F. Substitution of Mineral Fertilizer with Organic Fertilizer in Maize Systems: A Meta-Analysis of Reduced Nitrogen and Carbon Emissions. Agronomy 2020, 10, 1149. [Google Scholar] [CrossRef]
- Rouf Shah, T.; Prasad, K.; Kumar, P. Maize—A Potential Source of Human Nutrition and Health: A Review. Cogent Food Agric. 2016, 2, 1166995. [Google Scholar] [CrossRef]
- Instituto Nacional de Estadística e Informática. Encuesta Nacional Agropecuaria (ENA) 2022—[Instituto Nacional de Estadística e Informática—INEI]. Available online: https://datosabiertos.gob.pe/dataset/encuesta-nacional-agropecuaria-ena-2022-instituto-nacional-de-estad%C3%ADstica-e-inform%C3%A1tica-inei (accessed on 9 September 2024).
- Acosta, L.; Barreda, C.; Becerra, J.; Galarreta, L.; Huaman, O.; Moreyra, J.; Romero, C.; Rospigliosi, J. Marco Orientador de Cultivos, Campaña 2024/2025; Ministro de Desarrollo Agrario y Riego: Lima, Peru, 2024.
- Barandiarán, M. Manual Técnico del Cultivo de Maíz Amarillo Duro, 1st ed.; Instituto Nacional de Innovación Agraria: La Molina, Peru, 2020; ISBN 978-9972-44-051-9. [Google Scholar]
- Erenstein, O.; Jaleta, M.; Sonder, K.; Mottaleb, K.; Prasanna, B.M. Global Maize Production, Consumption and Trade: Trends and R&D Implications. Food Secur. 2022, 14, 1295–1319. [Google Scholar] [CrossRef]
- Grote, U.; Fasse, A.; Nguyen, T.T.; Erenstein, O. Food Security and the Dynamics of Wheat and Maize Value Chains in Africa and Asia. Front. Sustain. Food Syst. 2021, 4, 617009. [Google Scholar] [CrossRef]
- Prasanna, B.M.; Vasal, S.K.; Kassahun, B.; Singh, N.N. Quality Protein Maize. Curr. Sci. 2001, 81, 1308–1319. [Google Scholar]
- Prasanna, B.M.; Cairns, J.E.; Zaidi, P.H.; Beyene, Y.; Makumbi, D.; Gowda, M.; Magorokosho, C.; Zaman-Allah, M.; Olsen, M.; Das, A.; et al. Beat the Stress: Breeding for Climate Resilience in Maize for the Tropical Rainfed Environments. Theor. Appl. Genet. 2021, 134, 1729–1752. [Google Scholar] [CrossRef] [PubMed]
- Norma Oficial Mexicana Que Establece las Especificaciones de Fertilidad, Salinidad y Clasificación de Suelos. Estudios, Muestreo y Análisis; NOM-021-RECNAT-2000; Diario Oficial de la Federación: Ciudad de México, Mexico, 2022.
- EPA. Method 9045d. Soil and Waste pH 2004; EPA: Washington, DC, USA, 2004. [Google Scholar]
- ISO 10694:1995; Soil Quality—Determination of Organic and Total Carbon after Dry Combustion (Elementary Analysis). ISO: Geneva, Switzerland, 1995.
- ISO 13878:1998; Soil Quality—Determination of Total Nitrogen by Dry Combustion (Elementary Analysis). ISO: Geneva, Switzerland, 1998.
- ISO 11265:1994; Soil Quality—Determination of the specific electrical conductivity. ISO: Geneva, Switzerland, 1994.
- Verhulst, N.; Sayre, K.; Govaerts, B. Manual de Determinación de Rendimiento, 1st ed.; Centro Internacional de Mejoramiento de Maíz y Trigo (CIMMYT): Texcoco, Mexico, 2012; ISBN 978-607-95844-7-4. [Google Scholar]
- Crude Protein–Improved Kjeldahl Method, Copper Catalyst Modification; AACC-Method 46-11; American Association of Cereal Chemists: St. Paul, MN, USA, 2009.
- INACAL (Instituto Nacional de Calidad) Norma Técnica Peruana. CEREALES Y LEGUMINOSAS. Determinación de Cenizas; NTP 205.004:2022; INACAL: Lima, Peru, 2022. [Google Scholar]
- INACAL (Instituto Nacional de Calidad) Norma Técnica Peruana. ALIMENTOS BALANCEADOS PARA ANIMALES. Métodos de Ensayo; NTP 209.019:1976; INACAL: Lima, Peru, 2014. [Google Scholar]
- American Oil Chemists’ Society. Crude Fiber in Oilseed by-Products; AOCS—Ba 6–84; AOCS: Champaign, IL, USA, 2017. [Google Scholar]
- Collazos, C.; Phlip, W.; Viñas, E.; Alvistur, J.; Urquieta, A.; Vásquez, J. Metodología para Carbohidratos, por Diferencia de Materia Seca (MS-INN); Ministerio de Salud, Instituto Nacional de Nutrición: Lima, Peru, 1993. [Google Scholar]
- Bolar, K. STAT: Interactive Document for Working with Basic Statistical Analysis. Available online: https://cran.r-project.org/web/packages/STAT/index.html (accessed on 7 September 2024).
- Mendiburu, F. Agricolae: Statistical Procedures for Agricultural Research 2023. Available online: https://cran.r-project.org/web/packages/agricolae/index.html. (accessed on 17 August 2024).
- Széles, A.; Horváth, É.; Vad, A.; Harsányi, E. The Impact of Environmental Factors on the Protein Content and Yield of Maize Grain at Different Nutrient Supply Levels. Emir. J. Food Agric. 2018, 30, 764–777. [Google Scholar] [CrossRef]
- Yang, Q.; Zheng, F.; Jia, X.; Liu, P.; Dong, S.; Zhang, J.; Zhao, B. The Combined Application of Organic and Inorganic Fertilizers Increases Soil Organic Matter and Improves Soil Microenvironment in Wheat-Maize Field. J. Soils Sediments 2020, 20, 2395–2404. [Google Scholar] [CrossRef]
- Instituto Nacional de Innovación Agraria Híbrido. Simple de Maíz Amarillo Duro INIA 619–Megahíbrido 2012. Available online: https://www.inia.gob.pe/wp-content/uploads/investigacion/programa/sistProductivo/variedad/maiz-amarillo-duro/INIA_619.pdf (accessed on 8 September 2024).
- Silva Díaz, W.R.; Alfaro Jiménez, Y.J.; Jiménez Aponte, R.J. Evaluación de las características morfológicas y agronómicas de cinco líneas de maíz amarillo en diferentes fechas de siembra. UDO Agríc. 2009, 9, 743–755. [Google Scholar]
- Wang, J.; Zhao, S.; Zhang, Y.; Lu, X.; Du, J.; Wang, C.; Wen, W.; Guo, X.; Zhao, C. Investigating the Genetic Basis of Maize Ear Characteristics: A Comprehensive Genome-Wide Study Utilizing High-Throughput Phenotypic Measurement Method and System. Front. Plant Sci. 2023, 14, 1248446. [Google Scholar] [CrossRef]
- Janampa, N.; Quiñones, A.; Salas, L.S.; Chalco, Y. Variación de sustancias húmicas de abonos orgánicos en cultivos de papa y maíz. Cienc. Suelo Argent. 2014, 32, 139–147. [Google Scholar]
- Murray-Núñez, R.; Orozco-Benítez, G.; Martínez-Orozco, S.; Avila-Ramos, F.; Bautista-Trujillo, G.; Carmona-Gasca, C.; Martínez-González, S. Composición Química Del Excremento Entero, Composta y Lixiviado de La Cama de Cuyes. Abanico Agrofor. 2023, 5, e2022-12. [Google Scholar] [CrossRef]
- Reyes-Pérez, J.J.; Pérez-Santo, M.; Sariol-Sánchez, D.M.; Enríquez-Acosta, E.A.; Bermeo Toledo, C.R.; Llerena Ramos, L.T. Respuesta Agroproductiva Del Arroz Var. INCA LP-7 a La Aplicación de Estiércol Vacuno. Cent. Agríc. 2019, 46, 39–48. [Google Scholar]
- Moreno Ayala, L.; Cadillo Castro, J. Uso Del Estiércol Porcino Sólido Como Abono Orgánico En El Cultivo Del Maíz Chala. An. Científicos 2018, 79, 415. [Google Scholar] [CrossRef]
- Montoya Gómez, B.; Constanza Daza, M.; Urrutia Cobo, N. Evaluación de la mineralización de nitrógeno en dos abonos orgánicos (lombricompost y gallinaza). Suelos Ecuat. 2017, 47, 47–52. [Google Scholar]
- Mangalassery, S.; Kalaivanan, D.; Philip, P.S. Effect of Inorganic Fertilisers and Organic Amendments on Soil Aggregation and Biochemical Characteristics in a Weathered Tropical Soil. Soil Tillage Res. 2019, 187, 144–151. [Google Scholar] [CrossRef]
- Galindo, O. Cadena Productiva de Cuy, 1st ed.; Ministerio de Desarrollo Agrario y Riego: Lima, Peru, 2023.
- Chauca de Zaldivar, L. Producción de cuyes (Cavia porcellus) en los países andinos. World Anim. Rev. 1995, 83, 9–19. [Google Scholar]
- Sosa-Rodrigues, B.A.; García-Vivas, Y.S. Eficiencia de uso del nitrógeno en maíz fertilizado de forma orgánica y mineral. Agron. Mesoam. 2018, 29, 207. [Google Scholar] [CrossRef]
- Widowati, S.; Karamina, H.; Fikrinda, W. Soil Amendment Impact to Soil Organic Matter and Physical Properties on the Three Soil Types after Second Corn Cultivation. AIMS Agric. Food 2020, 5, 150–169. [Google Scholar] [CrossRef]
- Noor, H.; Yan, Z.; Sun, P.; Zhang, L.; Ding, P.; Li, L.; Ren, A.; Sun, M.; Gao, Z. Effects of Nitrogen on Photosynthetic Productivity and Yield Quality of Wheat (Triticum aestivum L.). Agronomy 2023, 13, 1448. [Google Scholar] [CrossRef]
- Aytenew, M.; Bore, G. Effects of Organic Amendments on Soil Fertility and Environmental Quality: A Review. J. Plant Sci. 2020, 8, 112–119. [Google Scholar] [CrossRef]
- Maguiña-Maza, R.M.; Francisco Perez, S.C.; Pando Cárdenas, G.L.; Sessarego Dávila, E.; Chagray Ameri, N.H.; Pujada Abad, H.N.; Airahuacho Bautista, F.E. Potencial agronómico, productivo, nutricional y económico de cuatro genotipos de maíz forrajero en el valle de Chancay, Peru. Cienc. Tecnol. Agropecu. 2021, 22, 1931. [Google Scholar] [CrossRef]
- Szulc, P.; Bocianowski, J.; Kruczek, A.; Szymańska, G.; Roszkiewicz, R. Response of Two Cultivar Types of Maize (Zea mays L.) Expressed in Protein Content and Its Yield to Varied Soil Resources of N and Mg and a Form of Nitrogen Fertilizer. Pol. J. Environ. Stud. 2013, 22, 1845–1853. [Google Scholar]
- Çarpıcı, E.B.; Celık, N.; Bayram, G. Yield and Quality of Forage Maize as Influenced by Plant Density and Nitrogen Rate. Turk. J. Field Crops 2010, 15, 128–132. [Google Scholar]
- Gregersen, P.L.; Culetic, A.; Boschian, L.; Krupinska, K. Plant Senescence and Crop Productivity. Plant Mol. Biol. 2013, 82, 603–622. [Google Scholar] [CrossRef]
- Izsáki, Z. Relationship between the Nmin Content of the Soil and the Quality of Maize (Zea mays L.) Kernels. Res. J. Agric. Sci. 2011, 43, 77–86. [Google Scholar]
- Keeney, D.R. Protein and Amino Acid Composition of Maize Grain as Influenced by Variety and Fertility. J. Sci. Food Agric. 1970, 21, 182–184. [Google Scholar] [CrossRef]






| Factor | EL (cm) | ED (cm) | RE | GR | EW (g) | GW (g) | CW (g) |
|---|---|---|---|---|---|---|---|
| t∙ha−1 | Guinea pig manure (G) | ||||||
| 0 | 15.51 ± 2.27 | 4.01 ± 0.26 c | 13.45 ± 1.07 | 28.84 ± 4.77 | 141.04 ± 35.77 | 116.56 ± 30.06 | 24.49 ± 6.79 |
| 2 | 15.54 ± 2.47 | 4.04 ± 0.24 c | 13.87 ± 1.12 | 28.52 ± 5.35 | 146.75 ± 38.35 | 121.69 ± 32.33 | 25.58 ± 8.06 |
| 5 | 16.31 ± 2.12 | 4.19 ± 0.22 a | 13.73 ± 1 | 29.85 ± 4.93 | 160.63 ± 34.75 | 132.69 ± 28.37 | 28.18 ± 7.24 |
| 10 | 16.08 ± 2.47 | 4.11 ± 0.21 b | 13.62 ± 1.17 | 29.71 ± 5.85 | 154.06 ± 35.4 | 127.29 ± 29.96 | 26.77 ± 5.99 |
| (%) | Fertilization (F) | ||||||
| 0 | 15.69 ± 2.15 | 4.07 ± 0.22 | 13.58 ± 0.33 b | 28.16 ± 2.36 b | 142.89 ± 11.49 b | 122.59 ± 10.05 c | 24.98 ± 5.99 |
| 50 | 16.15 ± 2.43 | 4.11 ± 0.24 | 13.53 ± 0.31 b | 30.51 ± 2.34 a | 155.21 ± 13.16 a | 125.2 ± 10.94 bc | 28.01 ± 8.24 |
| 75 | 15.98 ± 2.44 | 4.08 ± 0.28 | 13.53 ± 0.30 b | 28.3 ± 1.75 b | 149.97 ± 19.05 ab | 132.88 ± 15.42 b | 25.68 ± 7 |
| 100 | 15.62 ± 2.37 | 4.08 ± 0.24 | 13.87 ± 0.23 a | 30.59 ± 2.99 a | 155.51 ± 12.29 a | 141.8 ± 11.93 a | 26.33 ± 7.01 |
| G | 0.53 | ** | 0.16 | 0.65 | 0.10 | 0.94 | 0.18 |
| F | 0.19 | 0.47 | ** | * | * | *** | 0.08 |
| GxF | 0.35 | ** | 0.43 | 0.66 | 0.18 | 0.10 | 0.18 |
| Level | Prot | Ash | Fat | Fiber | CHO | TE | Kcal Prot | Kcal Fat | Kcal CHO |
|---|---|---|---|---|---|---|---|---|---|
| g∙100 g∙N−1 | g∙100 g−1 | g∙100 g−1 | g∙100 g−1 | g∙100 g−1 | Kcal∙100 g−1 | Kcal∙100 g−1 | Kcal∙100 g−1 | Kcal∙100 g−1 | |
| (%) | Fertilization (F) | ||||||||
| 0 | 7.87 ± 0.7 c | 1.13 ± 0.14 | 3.21 ± 0.32 | 2.56 ± 0.2 | 74.22 ± 0.98 a | 357.17 ± 1.99 b | 31.5 ± 2.75 c | 28.92 ± 2.91 | 296.75 ± 3.84 a |
| 50 | 9.08 ± 0.74 b | 1.1 ± 0.13 | 3.42 ± 0.33 | 2.51 ± 0.16 | 73.01 ± 0.9 b | 359.92 ± 3.42 a | 36.33 ± 2.96 b | 30.83 ± 2.98 | 291.92 ± 3.45 b |
| 75 | 9.57 ± 0.57 a | 1.14 ± 0.17 | 3.56 ± 0.56 | 2.5 ± 0.14 | 72.64 ± 0.74 b | 360.83 ± 3.16 a | 38.33 ± 2.39 a | 32 ± 4.94 | 290.5 ± 2.88 b |
| 100 | 9.86 ± 0.73 a | 1.03 ± 0.13 | 3.43 ± 0.28 | 2.53 ± 0.18 | 72.6 ± 0.88 b | 360.75 ± 2.05 a | 39.5 ± 3 a | 30.92 ± 2.54 | 290.33 ± 3.5 b |
| F | *** | 0.21 | 0.31 | 0.82 | *** | ** | *** | 0.32 | *** |
| GxF | * | 0.83 | 0.91 | 0.59 | 0.52 | 0.70 | * | 0.86 | 0.54 |
Disclaimer/Publisher’s Note: The statements, opinions and data contained in all publications are solely those of the individual author(s) and contributor(s) and not of MDPI and/or the editor(s). MDPI and/or the editor(s) disclaim responsibility for any injury to people or property resulting from any ideas, methods, instructions or products referred to in the content. |
© 2025 by the authors. Licensee MDPI, Basel, Switzerland. This article is an open access article distributed under the terms and conditions of the Creative Commons Attribution (CC BY) license (https://creativecommons.org/licenses/by/4.0/).
Share and Cite
Calero-Rios, E.; Borbor-Ponce, M.; Lastra, S.; Solórzano, R. Guinea Pig Manure and Mineral Fertilizers Enhance the Yield and Nutritional Quality of Hard Yellow Maize on the Peruvian Coast. Agrochemicals 2025, 4, 6. https://doi.org/10.3390/agrochemicals4020006
Calero-Rios E, Borbor-Ponce M, Lastra S, Solórzano R. Guinea Pig Manure and Mineral Fertilizers Enhance the Yield and Nutritional Quality of Hard Yellow Maize on the Peruvian Coast. Agrochemicals. 2025; 4(2):6. https://doi.org/10.3390/agrochemicals4020006
Chicago/Turabian StyleCalero-Rios, Emilee, Miryam Borbor-Ponce, Sphyros Lastra, and Richard Solórzano. 2025. "Guinea Pig Manure and Mineral Fertilizers Enhance the Yield and Nutritional Quality of Hard Yellow Maize on the Peruvian Coast" Agrochemicals 4, no. 2: 6. https://doi.org/10.3390/agrochemicals4020006
APA StyleCalero-Rios, E., Borbor-Ponce, M., Lastra, S., & Solórzano, R. (2025). Guinea Pig Manure and Mineral Fertilizers Enhance the Yield and Nutritional Quality of Hard Yellow Maize on the Peruvian Coast. Agrochemicals, 4(2), 6. https://doi.org/10.3390/agrochemicals4020006

