Moving Bed Biofilm Reactor Performance on Saline Produced Water (Upstream Oil & Gas) at Very Low Hydraulic Retention Time
Abstract
:1. Introduction
2. Materials and Methods
2.1. Produced Water Characterization
2.2. Pilot Unit Description
2.3. Experimental Set-Up
2.4. Analytical Methods
- -
- Acute toxicity test “Microtox®” (NF EN ISO 11348-3). This test is based on the determination of the inhibition of the bioluminescence emitted by a marine bacterium called Vibrio fischeri. It allows for the determination of the sample concentration that inhibits 50% of the bacterial luminescence after 5, 15 or 30 min of exposure. It was selected due to its high sensitivity compared to other bioassays (Abbas et al., 2018) [17].
- -
- Acute toxicity test with marine copepods (ISO 14669). This test aims to determine the sample concentration that kills 50% of the population of Artemia salina after 24 h and 48 h.
3. Results
3.1. Characterization of Feed Water
3.2. Performance of the Dissolved Air Flotation (DAF) Unit
3.3. Moving Bed Biofilm Bioreactor (MBBR) and Polishing Treatment Performance
3.3.1. Acclimation of Biocarriers and Their Impact on Bioreactor Performance
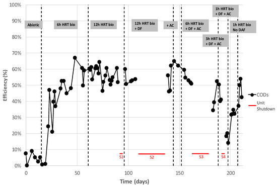
3.3.2. MBBR Performance as a Function of Residence Time
3.3.3. The Impact on Metals as They Go through the BIOMEM Pilot Unit
3.3.4. The Impact on Organic Micropollutants as They Go through the BIOMEM Pilot Unit
3.3.5. Impact of the BIOMEM Unit on Toxicity Reduction
4. Conclusions
Author Contributions
Funding
Institutional Review Board Statement
Informed Consent Statement
Data Availability Statement
Acknowledgments
Conflicts of Interest
List of Abbreviations
| COD | Chemical Oxygen Demand |
| BOD | Biological Oxygen Demand |
| TOC | Total Organic Carbon |
| PW | Produced Water |
| OSPAR | Oslo PARis Convention |
| WEA | Whole Effluent Assessment |
| TDS | Total Dissolved Solids |
| TSS | Total Suspended Solids |
| SBR | Sequencing Batch Reactor |
| HRT | Hydraulic Retention Time |
| MBBR | Moving Bed Biofilm Reactor |
| BTEX | Benzene, Toluene, EthylBenzene, Xylene |
| PAHs | Polycyclic Aromatic Hydrocarbons |
| API | American Petroleum Institute (design rules) |
| DAF | Dissolved Air Floatation |
| GAC | Granular Activated Carbon |
References
- Fakhru’l-Razi, A.; Pendashteh, A.; Abdullah, L.C.; Biak, D.R.A.; Madaeni, S.S.; Abidin, Z.Z. Review of technologies for oil and gas produced water treatment. J. Hazard. Mater. 2009, 170, 530–551. [Google Scholar] [CrossRef] [PubMed]
- Nasiri, M.; Jafari, I.; Parniankhoy, B. Oil and gas produced water management: A review of treatment technologies, challenges and opportunities. Chem. Eng. Commun. 2017, 204, 990–1005. [Google Scholar] [CrossRef]
- Global Water Intelligence GWI. Global Produced Water Volumes. 2020. Available online: https://www.producedwatersociety.com/resources/chart-data (accessed on 1 January 2020).
- Pedenaud, P.; Baldoni-Andrey, P.; Breton, A.; Segues, B.; Demangel, A.; Jacob, M. Improving Produced Water Quality Discharge into the Sea by Using Hungry Bacteria. In Proceedings of the SPE International Health, Safety & Environment Conference, Abu Dhabi, United Arab Emirates, 16 April 2018; Society of Petroleum Engineers: Abu Dhabi, United Arab Emirates, 2018. [Google Scholar] [CrossRef]
- Pedenaud, P.; Evans, W.; Heng, S.; Bigeonneau, D. Ceramic Membrane and Core Pilot Results for Produced Water Management. In Proceedings of the Offshore Technolgy Conference, Rio de Janeiro, Brazil, 14–17 June 2011. [Google Scholar] [CrossRef]
- Garland, E.; Prunier, A. Aqueous discharges from E&P installations: Current technical and regulatory challenges from an operator’s point of view. In Proceedings of the SPE Annual Technical Conference and Exhibition, San Antonio, TX, USA, 24–27 September 2006. [Google Scholar] [CrossRef]
- Ghafoori, S.; Omar, M.; Koutahzadeh, N.; Zendehboudi, S.; Malhas, R.N.; Mohamed, M.; Al-Zubaidi, S.; Redha, K.; Baraki, F.; Mehrvar, M. New advancements, challenges, and future needs on treatment of oilfield produced water: A state-of-the-art review. Sep. Purif. Technol. 2022, 289, 120652. [Google Scholar] [CrossRef]
- Lusinier, N.; Seyssiecq, I.; Sambusiti, C.; Jacob, M.; Lesage, N.; Roche, N. Biological Treatments of Oilfield Produced Water: A Comprehensive Review. Soc. Pet. Eng. J. 2019, 24, 2135–2147. [Google Scholar] [CrossRef]
- OSPAR Commission. Risk-Based Approach to the Management of Produced Water Discharges from Offshore Installations. 2013. Available online: https://www.ospar.org/site/assets/files/1880/ospar_factsheet_rba_2013.pdf (accessed on 1 January 2013).
- Dores, R.; Hussain, A.; Katebah, M.; Adham, S.S. Using advanced water treatment technologies to treat produced water from the petroleum industry. In Proceedings of the SPE International Health, Safety & Environment Conference, Perth, Australia, 11–13 September 2012. [Google Scholar]
- Lefebvre, O.; Moletta, R. Treatment of organic pollution in industrial saline wastewater: A litterature review. Water Res. 2006, 40, 3671–3682. [Google Scholar] [CrossRef] [PubMed]
- Pendashteh, A.R.; Abdullah, L.C.; Fakhru’l-Razi, A.; Madaeni, S.S.; Zainal Abidin, Z.; Awang Biak, D.R. Evaluation of membrane bioreactor for hypersaline oily wastewater treatment. Process Saf. Environ. Prot. 2011, 90, 45–55. [Google Scholar] [CrossRef]
- Sun, C.; Leiknes, T.; Weitzenböck, J.; Thorstensen, B. Salinity effect on a biofilm-MBR process for shipboard wastewater treatment. Sep. Purif. Technol. 2010, 72, 380–387. [Google Scholar] [CrossRef]
- Baldoni-Andrey, P.; Pedenaud, P.; Dehaene, P.-L.; Segues, B. Impact of high salinity of produced water on the technical feasibility of biotreatment for e & p on shore applications. In Proceedings of the SPE International Health, Safety & Environment Conference, Abu Dhabi, United Arab Emirates, 2–4 April 2006. [Google Scholar] [CrossRef]
- Dong, Z.; Lu, M.; Huang, W.; Xu, X. Treatment of oilfield wastewater in miving bed biofilm reactors using a novel suspended ceramic biocarrier. J. Hazard. Mater. 2011, 196, 123–130. [Google Scholar] [CrossRef] [PubMed]
- Sharghi, E.A.; Bonakdarpour, B. The study of organic removal efficiency and halophilic bacterial mixed liquor characteristics in a membrane bioreactor treating hypersaline produced water at varying organic loading rates. Bioresour. Technol. 2013, 149, 486–495. [Google Scholar] [CrossRef] [PubMed]
- Abbas, M.; Adil, M.; Ehtisham-ul-Haque, S.; Munir, B.; Yameen, M.; Ghaffar, A.; Abbas Shar, G.; Tahir, M.A.; Iqbal, M. Vibrio fischeri bioluminescence inhibition assay for ecotoxicity assessment: A review. Sci. Total Environ. 2018, 626, 1295–1309. [Google Scholar] [CrossRef] [PubMed]
- Mozo, I.; Lesage, G.; Yin, J.; Bessiere, Y.; Barna, L.; Sperandio, M. Dynamic modeling of biodegradation and volatilization of hazardous aromatic substances in aerobic bioreactor. Water Res. 2012, 46, 5327–5342. [Google Scholar] [CrossRef] [PubMed]
- He, H.; Ma, H.; Liu, L. Combined photocatalytic pre-oxidation reactor and sequencing batch bioreactor for advanced treatment of industrial wastewater. J. Water Process Eng. 2020, 36, 101259. [Google Scholar] [CrossRef]
- Sambusiti, C.; Saadouni, M.; Gauchou, V.; Segues, B.; Leca, M.A.; Baldoni-Andrey, P.; Jacob, M. Influence of HRT reduction in pilot scale flat sheet submerged membrane bioreactor (sMBR) performances for Oil&Gas wastewater treatment. J. Membr. Sci. 2019, 594, 117459. [Google Scholar]























| Parameters | Method |
|---|---|
| Onsite analyses | |
| Dispersed Hydrocarbon | Internal method CR EXP 006 |
| Ammonium NH4 | Micromethod |
| Nitrate NO3− | Micromethod |
| Chemical Oxygen Demand (soluble and total) | Micromethod |
| Total Suspended Solids | Filter + oven 105 °C |
| Conductivity & Salinity | Multiparameter probe |
| pH | Multiparameter probe |
| Temperature | Multiparameter probe |
| ReDox potential | Multiparameter probe |
| Phenol | Micromethod |
| External analyses | |
| Inorganics | |
| Orthophosphate | |
| Ca, Mg, Fe | NF EN ISO 11885 |
| V, As, Al, Ba, Cd, Cu, Cr, Ni; Plomb (Pb); Zinc (Zn) | NF EN ISO 17294-2 |
| Mercure (Hg) | Méthode Interne selon NF EN ISO 17852 |
| Chrome VI | NF T 90-043 |
| NH4, NTK, NO2, NO3 | External lab internal method |
| PO4 | External lab internal method |
| Sulfates (SO4) | NF ISO 15923-1 |
| Fluorures | NF T 90-004 |
| Chloride | NF ISO 15923-1 |
| Salinity | External lab internal method |
| Organics | |
| Total Hydrocarbon (C10-C40) | NF EN ISO 9377-2 |
| Total Organic Carbon (TOC) | NF EN 1484 |
| Biochemical Oxygen Demand (BOD5) | NF EN 1899-1 |
| Phenol | NF EN ISO 14402 |
| 4-n-nonylphénol | External lab internal method |
| PAHs (16 substances) BTEX | External lab internal method External lab internal method |
| Parameters | Mean Value | Standard Deviation |
|---|---|---|
| pH | 6.5 | 0.1 |
| Conductivity (mS/cm) | 148 | 8 |
| Salinity (g/kg water) | 97 | 6 |
| Chloride (g/L) | 57 | 3 |
| Temperature (°C) | 29.5 | 1 |
| Parameters | Abiotic Phase Removal (DAF + MBBR + Separator) | Removal after Injection of Acclimated Biocarriers (DAF + MBBR + Separator) | ||||
|---|---|---|---|---|---|---|
| DAF Inlet (µg/L) | MBBR + Separator Outlet (µg/L) | Removal Rate (%) | DAF Inlet (µg/L) | MBBR + Separator Outlet (µg/L) | Removal Rate (%) | |
| BTEX | 1616 | 28 | 98.3 | 1645 | 7.5 | 99.6 |
| PAHs | 13.0 | 4 | 69.3 | 9.1 | 1.1 | 87.9 |
| Phenol | 2000 | 1900 | 5.0 | 2230 | 816 | 63.4 |
Disclaimer/Publisher’s Note: The statements, opinions and data contained in all publications are solely those of the individual author(s) and contributor(s) and not of MDPI and/or the editor(s). MDPI and/or the editor(s) disclaim responsibility for any injury to people or property resulting from any ideas, methods, instructions or products referred to in the content. |
© 2023 by the authors. Licensee MDPI, Basel, Switzerland. This article is an open access article distributed under the terms and conditions of the Creative Commons Attribution (CC BY) license (https://creativecommons.org/licenses/by/4.0/).
Share and Cite
Jacob, M.; Segues, B.; Lot, M.-C.; Ndiaye, E.h.I.; Sambusiti, C.; Baldoni-Andrey, P.; Perie, F. Moving Bed Biofilm Reactor Performance on Saline Produced Water (Upstream Oil & Gas) at Very Low Hydraulic Retention Time. Waste 2023, 1, 295-312. https://doi.org/10.3390/waste1010020
Jacob M, Segues B, Lot M-C, Ndiaye EhI, Sambusiti C, Baldoni-Andrey P, Perie F. Moving Bed Biofilm Reactor Performance on Saline Produced Water (Upstream Oil & Gas) at Very Low Hydraulic Retention Time. Waste. 2023; 1(1):295-312. https://doi.org/10.3390/waste1010020
Chicago/Turabian StyleJacob, Matthieu, Bertrand Segues, Marie-Claire Lot, El hadji Ibrahima Ndiaye, Cecilia Sambusiti, Patrick Baldoni-Andrey, and Frédéric Perie. 2023. "Moving Bed Biofilm Reactor Performance on Saline Produced Water (Upstream Oil & Gas) at Very Low Hydraulic Retention Time" Waste 1, no. 1: 295-312. https://doi.org/10.3390/waste1010020
APA StyleJacob, M., Segues, B., Lot, M.-C., Ndiaye, E. h. I., Sambusiti, C., Baldoni-Andrey, P., & Perie, F. (2023). Moving Bed Biofilm Reactor Performance on Saline Produced Water (Upstream Oil & Gas) at Very Low Hydraulic Retention Time. Waste, 1(1), 295-312. https://doi.org/10.3390/waste1010020

