Ergonomics in Sleep Medicine: Interfacing Myofunctional Therapy with Orofacial Muscular Balance and Sleep Posture
Abstract
1. Introduction
2. Materials and Methods
2.1. Study Design and Ethical Approval
2.2. Participant Recruitment and Eligibility
2.3. Baseline Evaluation
2.4. Intervention Protocol
2.4.1. Orofacial Myofunctional Therapy (OMT)
2.4.2. Ergonomic Sleep Posture Intervention
2.4.3. Data Privacy and Participant Protection
2.5. Outcome Measures
2.6. Statistical Analysis
3. Results
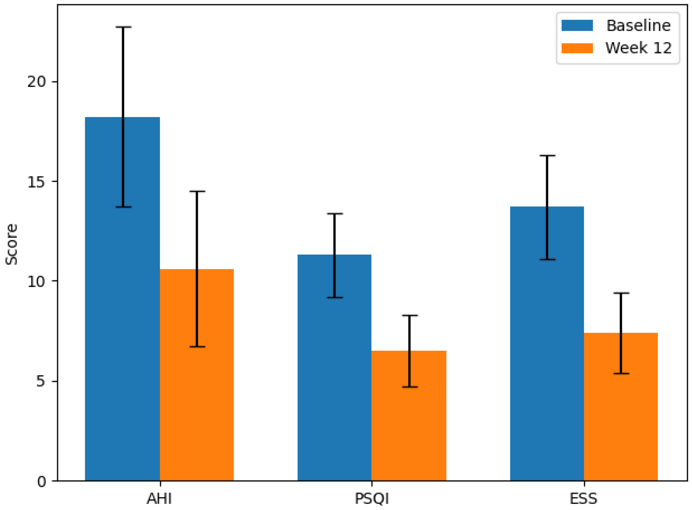
3.1. Sleep Parameters and Subjective Outcomes
3.1.1. Paired t-Test for Sleep Metrics
3.1.2. Effect Size and Confidence Intervals
3.2. Ergonomic Adherence and Outcome Correlations
3.3. Sleep Position Changes
Positional Therapy Outcomes
3.4. Correlation Analysis for Predictors of AHI Improvement
4. Discussion
4.1. Primary Outcomes
4.2. Subjective Sleep Measures
5. Future Directions
6. Conclusions
Author Contributions
Funding
Institutional Review Board Statement
Informed Consent Statement
Data Availability Statement
Acknowledgments
Conflicts of Interest
References
- Strollo, P.J.; Rogers, R.M. Obstructive sleep apnea. N. Engl. J. Med. 1996, 334, 99–104. [Google Scholar] [CrossRef] [PubMed]
- Lee, R.W.W.; Petocz, P.; Prvan, T.; Chan, A.S.L.; Grunstein, R.R.; Cistulli, P.A. Prediction of obstructive sleep apnea with craniofacial photographic analysis. Sleep 2009, 32, 46–52. [Google Scholar] [CrossRef] [PubMed]
- Guimarães, K.C.; Drager, L.F.; Genta, P.R.; Marcondes, B.F.; Lorenzi-Filho, G. Effects of oropharyngeal exercises on patients with moderate obstructive sleep apnea syndrome. Am. J. Respir. Crit. Care Med. 2009, 179, 962–966. [Google Scholar] [CrossRef]
- Diaféria, G.; Santos-Silva, R.; Truksinas, E.; Haddad, F.L.M.; Santos, R.; Bommarito, S.; Bittencourt, L.R.A.; Tufik, S. Myofunctional therapy improves adherence to continuous positive airway pressure treatment. Sleep Breath. 2017, 21, 387–395. [Google Scholar] [CrossRef]
- Mohamed, A.S.; Sharshar, R.S.; Elkolaly, R.M.; Serageldin, S.M. Upper airway muscle exercises outcome in patients with obstructive sleep apnea syndrome. Eurasian J. Cardiothorac. Dis. 2016, 4, 45–51. [Google Scholar] [CrossRef]
- Rueda-Etxebarria, M.; Mugueta-Aguinaga, I.; Rueda, J.R.; Lascurain-Aguirrebena, I. Respiratory muscle training for obstructive sleep apnoea. Cochrane Database Syst. Rev. 2021, 11, CD015039. [Google Scholar] [CrossRef]
- Luyster, F.S.; Aloia, M.S.; Buysse, D.J.; Dunbar-Jacob, J.; Martire, L.M.; Sereika, S.M.; Strollo, P.J. A couples-oriented intervention for positive airway pressure therapy adherence: A pilot study. Behav. Sleep Med. 2019, 17, 561–572. [Google Scholar] [CrossRef]
- Cartwright, R.D. Effect of sleep position on sleep apnea severity. Sleep 1984, 7, 110–114. [Google Scholar] [CrossRef] [PubMed]
- Menon, A.; Kumar, M. Influence of body position on severity of obstructive sleep apnea: A systematic review. ISRN Otolaryngol. 2013, 2013, 670381. [Google Scholar] [CrossRef]
- Skinner, M.A.; Kingshott, R.N.; Filsell, S.; Taylor, D.R. Efficacy of the tennis ball technique versus nCPAP in the management of position-dependent obstructive sleep apnoea syndrome. Respirology 2008, 13, 708–715. [Google Scholar] [CrossRef]
- Eiseman, N.A.; Westover, M.B.; Ellenbogen, J.M.; Bianchi, M.T. The impact of body posture and sleep stages on sleep apnea severity in adults. J. Clin. Sleep Med. 2012, 8, 655–666. [Google Scholar] [CrossRef]
- Ieto, V.; Kayamori, F.; Montes, M.I.; Hirata, R.P.; Gregório, M.G.; Alencar, A.M.; Drager, L.F.; Genta, P.R.; Lorenzi-Filho, G. Effects of oropharyngeal exercises on snoring: A randomized trial. Chest 2015, 148, 683–691. [Google Scholar] [CrossRef]
- Oksenberg, A.; Silverberg, D.S.; Arons, E.; Radwan, H. Positional versus nonpositional obstructive sleep apnea: Anthropomorphic, polysomnographic, and latency test data. Chest 1997, 112, 629–639. [Google Scholar] [CrossRef]
- Eckert, D.J.; White, D.P.; Jordan, A.S.; Malhotra, A.; Wellman, A. Defining phenotypic causes of obstructive sleep apnea: Identification of novel therapeutic targets. Am. J. Respir. Crit. Care Med. 2013, 188, 996–1004. [Google Scholar] [CrossRef]
- Ravesloot, M.J.L.; de Vries, N. Reliable calculation of the efficacy of non-surgical and surgical treatment of obstructive sleep apnea revisited. Sleep 2011, 34, 105–110. [Google Scholar] [CrossRef]
- Bandyopadhyay, A.; Kaneshiro, K.; Camacho, M. Effect of myofunctional therapy on children with obstructive sleep apnea: A meta-analysis. Sleep Med. 2020, 75, 210–217. [Google Scholar] [CrossRef]
- Camacho, M.; Certal, V.; Abdullatif, J.; Zaghi, S.; Ruoff, C.M.; Capasso, R. Myofunctional therapy to treat obstructive sleep apnea: A systematic review and meta-analysis. Sleep 2015, 38, 669–675. [Google Scholar] [CrossRef]
- Sutherland, K.; Vanderveken, O.M.; Tsuda, H.; Marklund, M.; Gagnadoux, F.; Kushida, C.A.; Cistulli, P.A. Oral appliance treatment for obstructive sleep apnea: An update. J. Clin. Sleep Med. 2014, 10, 215–227. [Google Scholar] [CrossRef]
- Heinzer, R.; Vat, S.; Marques-Vidal, P.; Marti-Soler, H.; Andries, D.; Tobback, N.; Mooser, V.; Preisig, M.; Malhotra, A.; Waeber, G.; et al. Prevalence of sleep-disordered breathing in the general population: The HypnoLaus study. Lancet Respir. Med. 2015, 3, 310–318. [Google Scholar] [CrossRef]
- Jordan, A.S.; McSharry, D.G.; Malhotra, A. Adult obstructive sleep apnoea. Lancet 2014, 383, 736–747. [Google Scholar] [CrossRef]
- Osman, A.M.; Carter, S.G.; Carberry, J.C.; Eckert, D.J. Obstructive sleep apnea: Current perspectives. Nat. Sci. Sleep 2018, 10, 21–34. [Google Scholar] [CrossRef] [PubMed]
- Epstein, L.J.; Kristo, D.; Strollo, P.J., Jr.; Friedman, N.; Malhotra, A.; Patil, S.P.; Ramar, K.; Rogers, R.; Schwab, R.J.; Weaver, E.M.; et al. Clinical guideline for the evaluation, management, and long-term care of obstructive sleep apnea in adults. J. Clin. Sleep Med. 2009, 5, 263–276. [Google Scholar] [CrossRef] [PubMed]

| Parameter | Baseline (Mean ± SD) | Week 12 (Mean ± SD) | p-Value |
|---|---|---|---|
| AHI (events/hour) | 18.2 ± 4.5 | 10.6 ± 3.9 | <0.001 |
| PSQI | 11.3 ± 2.1 | 6.5 ± 1.8 | <0.001 |
| ESS | 13.7 ± 2.6 | 7.4 ± 2.0 | <0.001 |
| Variable Pair | Pearson r | p-Value |
|---|---|---|
| Compliance vs. AHI | −0.61 | <0.001 |
| Study (Author, Year, Country) | Design | Sample Size | Intervention | Key Findings |
|---|---|---|---|---|
| Guimarães et al., 2009 (Brazil) [3] | RCT | 31 | OMT only | 39% AHI reduction; improved ESS, PSQI |
| Eiseman et al., 2012 (USA) [11] | Retrospective | 300+ | Posture only | ~30% difference in supine vs. lateral AHI |
| Ieto et al., 2015 (Brazil) [12] | RCT | 39 | OMT only | 34% AHI reduction; reduced snoring |
| Diaféria et al., 2017 (Brazil) [4] | RCT | 27 | OMT + CPAP adherence | Improved CPAP tolerance and alertness |
| Luyster et al., 2019 (USA) [7] | Pilot RCT | 25 couples | Positional + behavioral training | Increase PAP adherence; improved sleep outcomes |
| Sonwane et al., 2025 (India) | Prospective cohort | 60 | OMT + Ergonomics | 42% AHI reduction; significant ESS & PSQI improvements |
Disclaimer/Publisher’s Note: The statements, opinions and data contained in all publications are solely those of the individual author(s) and contributor(s) and not of MDPI and/or the editor(s). MDPI and/or the editor(s) disclaim responsibility for any injury to people or property resulting from any ideas, methods, instructions or products referred to in the content. |
© 2025 by the authors. Published by MDPI on behalf of the International Association of Orofacial Myology (IAOM). Licensee MDPI, Basel, Switzerland. This article is an open access article distributed under the terms and conditions of the Creative Commons Attribution (CC BY) license.
Share and Cite
Sonwane, S.; Sonwane, S. Ergonomics in Sleep Medicine: Interfacing Myofunctional Therapy with Orofacial Muscular Balance and Sleep Posture. Int. J. Orofac. Myol. Myofunct. Ther. 2026, 52, 2. https://doi.org/10.3390/ijom52010002
Sonwane S, Sonwane S. Ergonomics in Sleep Medicine: Interfacing Myofunctional Therapy with Orofacial Muscular Balance and Sleep Posture. International Journal of Orofacial Myology and Myofunctional Therapy. 2026; 52(1):2. https://doi.org/10.3390/ijom52010002
Chicago/Turabian StyleSonwane, Siddharth, and Shweta Sonwane. 2026. "Ergonomics in Sleep Medicine: Interfacing Myofunctional Therapy with Orofacial Muscular Balance and Sleep Posture" International Journal of Orofacial Myology and Myofunctional Therapy 52, no. 1: 2. https://doi.org/10.3390/ijom52010002
APA StyleSonwane, S., & Sonwane, S. (2026). Ergonomics in Sleep Medicine: Interfacing Myofunctional Therapy with Orofacial Muscular Balance and Sleep Posture. International Journal of Orofacial Myology and Myofunctional Therapy, 52(1), 2. https://doi.org/10.3390/ijom52010002

