The Impact of Periodontal Treatment on Rheumatoid Arthritis Outcomes: The Microbial Link
Abstract
1. Introduction
2. Materials and Methods
Statistical Analysis
3. Results
3.1. Baseline Characteristics
3.2. The Relationship Between Microbiological Parameters and Periodontitis Severity at Baseline
3.3. The Impact of Periodontal Treatment on Microbiological and RA Outcomes
3.4. The Relationship Between Baseline Microbiological Load and Improvement of Periodontitis and RA Post-Treatment
3.5. The Relationship Between the Baseline Antibody Response to Gingipains and Improvement of Periodontitis and RA Post-Treatment
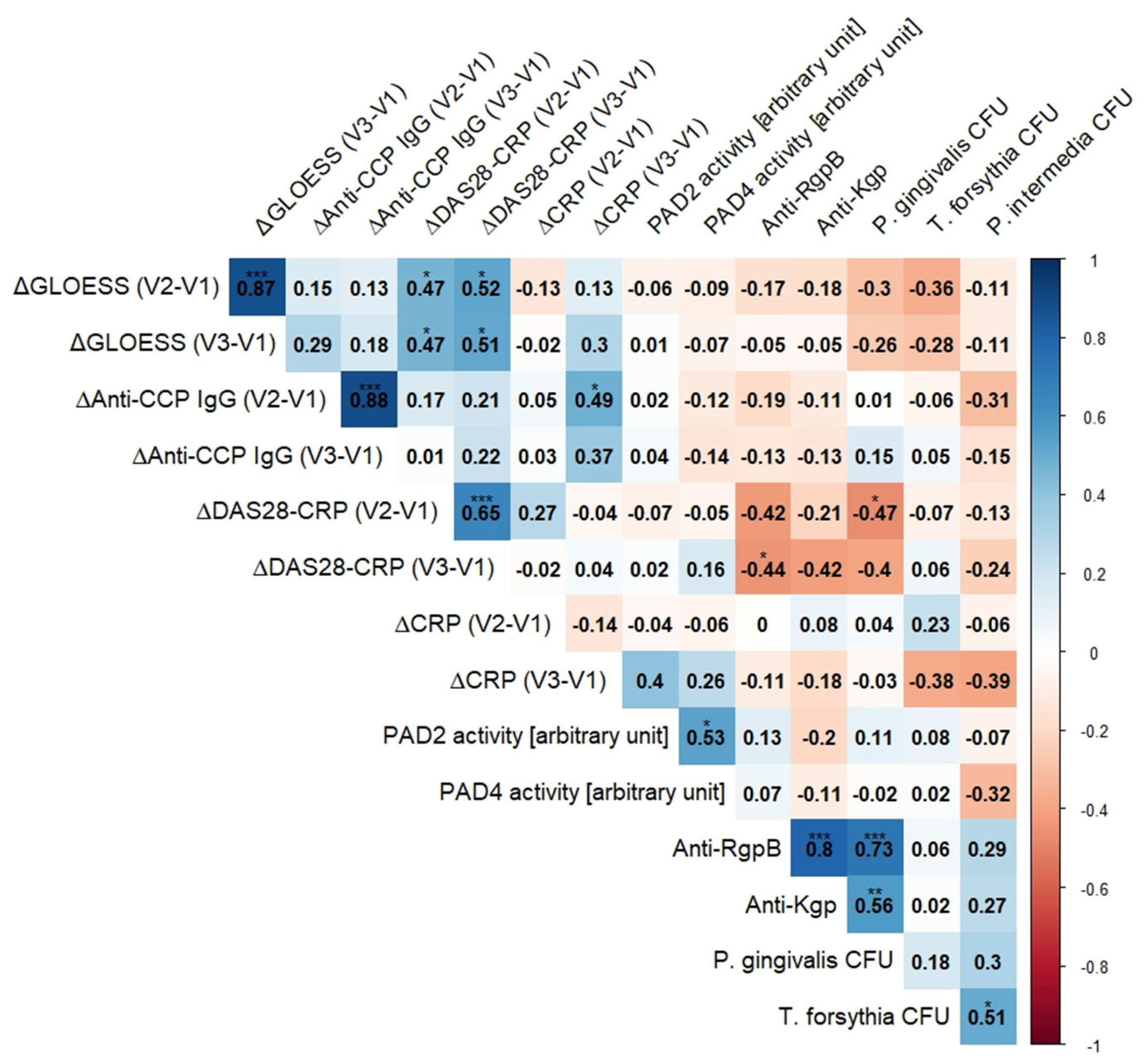
3.6. The Relationship Between Changes in Microbiological Parameters and RA Outcome Measures in Response to Periodontal Treatment
4. Discussion
5. Conclusions
Supplementary Materials
Author Contributions
Funding
Institutional Review Board Statement
Informed Consent Statement
Data Availability Statement
Acknowledgments
Conflicts of Interest
References
- Papapanou, P.N.; Sanz, M.; Buduneli, N.; Dietrich, T.; Feres, M.; Fine, D.H.; Flemmig, T.F.; Garcia, R.; Giannobile, W.V.; Graziani, F.; et al. Periodontitis: Consensus report of workgroup 2 of the 2017 World Workshop on the Classification of Periodontal and Peri-Implant Diseases and Conditions. J. Periodontol. 2018, 89, S173–S182. [Google Scholar] [CrossRef] [PubMed]
- Kassebaum, N.; Bernabé, E.; Dahiya, M.; Bhandari, B.; Murray, C.; Marcenes, W. Global Burden of Severe Periodontitis in 1990-2010 A Systematic Review and Meta-regression. J. Dent. Res. 2014, 93, 1045–1053. [Google Scholar] [CrossRef] [PubMed]
- Hussain, M.; Stover, C.M.; Dupont, A. P. gingivalis in Periodontal Disease and Atherosclerosis-Scenes of Action for Antimicrobial Peptides and Complement. Front. Immunol. 2015, 6, 45. [Google Scholar] [CrossRef] [PubMed]
- Kaur, S.; White, S.; Bartold, P.M. Periodontal disease and rheumatoid arthritis: A systematic review. J. Dent. Res. 2013, 92, 399–408. [Google Scholar] [CrossRef]
- Eezammuddeen, N.N.; Vaithilingam, R.D.; Hassan, N.H.M. Influence of periodontitis on levels of autoantibodies in rheumatoid arthritis patients: A systematic review. J. Periodontal Res. 2023, 58, 29–42. [Google Scholar] [CrossRef]
- Brewer, R.C.; Lanz, T.V.; Hale, C.R.; Sepich-Poore, G.D.; Martino, C.; Swafford, A.D.; Carroll, T.S.; Kongpachith, S.; Blum, L.K.; Elliott, S.E.; et al. Oral mucosal breaks trigger anti-citrullinated bacterial and human protein antibody responses in rheumatoid arthritis. Sci. Transl. Med. 2023, 15, eabq8476. [Google Scholar] [CrossRef]
- Silva, D.S.; Costa, F.; Baptista, I.P.; Santiago, T.; Lund, H.; Tarp, S.; Dasilva, J.A.P.; Christensen, R. Evidence-Based Research on Effectiveness of Periodontal Treatment in Rheumatoid Arthritis Patients: A Systematic Review and Meta-Analysis. Arthritis Care Res. 2021, 74, 1723–1735. [Google Scholar] [CrossRef]
- Silva, D.S.; de Vries, C.; Rovisco, J.; Serra, S.; Kaminska, M.; Mydel, P.; Lundberg, K.; da Silva, J.A.P.; Baptista, I.P. The impact of periodontitis and periodontal treatment on rheumatoid arthritis outcomes: An exploratory clinical trial. Rheumatology 2025, 64, 1679–1688. [Google Scholar] [CrossRef]
- Landry, R.G.; Jean, M. Periodontal Screening and Recording (PSR) Index: Precursors, utility and limitations in a clinical setting. Int. Dent. J. 2002, 52, 35–40. [Google Scholar] [CrossRef]
- Dietrich, T.; Ower, P.; Tank, M.; West, N.X.; Walter, C.; Needleman, I.; Hughes, F.J.; Wadia, R.; Milward, M.R.; Hodge, P.J.; et al. Periodontal diagnosis in the context of the 2017 classification system of periodontal diseases and conditions-implementation in clinical practice. Br. Dent. J. 2019, 226, 16–22. [Google Scholar] [CrossRef]
- Sanz, M.; Herrera, D.; Kebschull, M.; Chapple, I.; Jepsen, S.; Beglundh, T.; Sculean, A.; Tonetti, M.S.; EFP Workshop Participants and Methodological Consultants. Treatment of stage I-III periodontitis-The EFP S3 level clinical practice guideline. J. Clin. Periodontol. 2020, 47, 4–60. [Google Scholar] [CrossRef] [PubMed]
- Herrera, D.; Sanz, M.; Kebschull, M.; Jepsen, S.; Sculean, A.; Berglundh, T.; Papapanou, P.N.; Chapple, I.; Tonetti, M.S.; EFP Workshop Participants and Methodological Consultants. Treatment of stage IV periodontitis: The EFP S3 level clinical practice guideline. J. Clin. Periodontol. 2022, 49, 4–71. [Google Scholar] [CrossRef] [PubMed]
- Nesse, W.; Abbas, F.; Van Der Ploeg, I.; Spijkervet, F.K.L.; Dijkstra, P.U.; Vissink, A. Periodontal inflamed surface area: Quantifying inflammatory burden. J. Clin. Periodontol. 2008, 35, 668–673. [Google Scholar] [CrossRef] [PubMed]
- Brites, L.; Rovisco, J.; Costa, F.; Freitas, J.P.D.; Jesus, D.; Eugénio, G.; Serra, S.; Duarte, C.; Ferreira, R.J.O.; da da Silva, J.A.P. High patient global assessment scores in patients with rheumatoid arthritis otherwise in remission do not reflect subclinical inflammation. Jt. Bone Spine 2021, 88, 105242. [Google Scholar] [CrossRef]
- D’Agostino, M.A.; Boers, M.; Wakefield, R.J.; Berner Hammer, H.; Vittecoq, O.; Filippou, G.; Balint, P.; Möller, I.; Iagnocco, A.; Naredo, E.; et al. Exploring a new ultrasound score as a clinical predictive tool in patients with rheumatoid arthritis starting abatacept: Results from the APPRAISE study. RMD Open 2016, 2, e000237. [Google Scholar] [CrossRef]
- Kay, J.; Upchurch, K.S. ACR/EULAR 2010 rheumatoid arthritis classification criteria. Rheumatology 2012, 51, vi5–vi9. [Google Scholar] [CrossRef]
- Fleischmann, R.M.; van der Heijde, D.; Gardiner, P.V.; Szumski, A.; Marshall, L.; Bananis, E. DAS28-CRP and DAS28-ESR cut-offs for high disease activity in rheumatoid arthritis are not interchangeable. RMD Open 2017, 3, e000382. [Google Scholar] [CrossRef]
- Hajishengallis, G. Immunomicrobial pathogenesis of periodontitis: Keystones, pathobionts, and host response. Trends Immunol. 2014, 35, 3–11. [Google Scholar] [CrossRef]
- Roberts, F.A.; Darveau, R.P. Microbial protection and virulence in periodontal tissue as a function of polymicrobial communities: Symbiosis and dysbiosis. Periodontol. 2000 2015, 69, 18–27. [Google Scholar] [CrossRef]
- Harvey, G.P.; Fitzsimmons, T.R.; Dhamarpatni, A.A.S.S.K.; Marchant, C.; Haynes, D.R.; Bartold, P.M. Expression of peptidylarginine deiminase-2 and -4, citrullinated proteins and anti-citrullinated protein antibodies in human gingiva. J. Periodontal Res. 2013, 48, 252–261. [Google Scholar] [CrossRef]
- Sherina, N.; de Vries, C.; Kharlamova, N.; Sippl, N.; Jiang, X.; Brynedal, B.; Kindstedt, E.; Hansson, M.; Mathsson-Alm, L.; Israelsson, L.; et al. Antibodies to a Citrullinated Porphyromonas gingivalis Epitope Are Increased in Early Rheumatoid Arthritis, and Can Be Produced by Gingival Tissue B Cells: Implications for a Bacterial Origin in RA Etiology. Front. Immunol. 2022, 13, 804822. [Google Scholar] [CrossRef]

| V1 N = 22 | V2 N = 22 | V3 N = 22 | V1 vs. V2 vs. V3 | V1 vs. V2 | V1 vs. V3 | |
|---|---|---|---|---|---|---|
| DAS28; median (IQR) | 2.4 (2.3) | 2.7 (2.0) | 2.5 (1.4) | p = 0.873 (a) | - | - |
| CRP (mg/L); median (IQR) | 3.3 (5.3) | 2.2 (4.6) | 3.7 (5.9) | p = 0.727 (a) | - | - |
| GLOESS; median (IQR) | 12.5 (18.3) | 9.5 (9.5) | 10.5 (17.3) | p = 0.130 (a) | - | - |
| Anti-CCP2 IgG (AU); median (IQR) | 81.8 (457.0) | 47.2 (413.6) | 49.1 (441.7) | p = 0.051 (a) | - | - |
| P.gingivalis (CFU); median (IQR) | 42,071,037.4 (85,048,214.0) | 29,222.7 (3,297,647.6) | 1,100,033.1 (8,658,932.8) | p = 0.001 (a) | p = 0.001 (b) | p = 0.028 (b) |
| T. forsythia (CFU); median (IQR) | 34,118,972.9 (47,584,588.9) | 2,579,187.6 (14,318,373.0) | 13,159,283.3 (38,205,370.0) | p = 0.001 (a) | p < 0.001 (b) | p = 0.125 (b) |
| P. intermedia (CFU); median (IQR) | 32,127,107.2 (64,982,187.7) | 2,894,642.5 (22,537,760.0) | 10,051,666.6 (40,115,783.6) | p = 0.020 (a) | p = 0.048 (b) | p = 0.150 (b) |
| PAD2 activity (AU); median (IQR) | 9371.1 (1736.4) | 9518.5 (1493.1) | 9476.0 (3297.3) | p = 0.280 (a) | - | - |
| PAD4 activity (AU); median (IQR) | 40,936.1 (21,959.3) | 40,901.9 (20,775.9) | 41,491.8 (21,130.6) | p = 0.280 (a) | - | - |
| Anti-RgpB IgG; median (IQR) | 271.1 (447.0) | 211.5 (430.3) | 239.6 (281.7) | p = 0.015 (a) | p = 0.020 (b) | p = 0.071 (b) |
| Anti-Kgp IgG; median (IQR) | 522.9 (942.9) | 537.4 (835.6) | 661.3 (1012.3) | p = 0.554 (a) | - | - |
Disclaimer/Publisher’s Note: The statements, opinions and data contained in all publications are solely those of the individual author(s) and contributor(s) and not of MDPI and/or the editor(s). MDPI and/or the editor(s) disclaim responsibility for any injury to people or property resulting from any ideas, methods, instructions or products referred to in the content. |
© 2026 by the authors. Licensee MDPI, Basel, Switzerland. This article is an open access article distributed under the terms and conditions of the Creative Commons Attribution (CC BY) license.
Share and Cite
Silva, D.S.; Vries, C.d.; Lundberg, K.; Baptista, I.P.; Silva, J.A.P.d.; Kaminska, M.; Mydel, P. The Impact of Periodontal Treatment on Rheumatoid Arthritis Outcomes: The Microbial Link. Rheumato 2026, 6, 2. https://doi.org/10.3390/rheumato6010002
Silva DS, Vries Cd, Lundberg K, Baptista IP, Silva JAPd, Kaminska M, Mydel P. The Impact of Periodontal Treatment on Rheumatoid Arthritis Outcomes: The Microbial Link. Rheumato. 2026; 6(1):2. https://doi.org/10.3390/rheumato6010002
Chicago/Turabian StyleSilva, Daniela Santos, Charlotte de Vries, Karin Lundberg, Isabel Poiares Baptista, José António Pereira da Silva, Marta Kaminska, and Piotr Mydel. 2026. "The Impact of Periodontal Treatment on Rheumatoid Arthritis Outcomes: The Microbial Link" Rheumato 6, no. 1: 2. https://doi.org/10.3390/rheumato6010002
APA StyleSilva, D. S., Vries, C. d., Lundberg, K., Baptista, I. P., Silva, J. A. P. d., Kaminska, M., & Mydel, P. (2026). The Impact of Periodontal Treatment on Rheumatoid Arthritis Outcomes: The Microbial Link. Rheumato, 6(1), 2. https://doi.org/10.3390/rheumato6010002

