Previous Article in Journal
Trans-Dimensional Diffusive Nested Sampling for Metabolic Network Inference
 
 
Font Type:
Arial Georgia Verdana
Font Size:
Aa Aa Aa
Line Spacing:
Column Width:
Background:
Proceeding Paper

The Value of Information in Economic Contexts †

by
Stefan Behringer
1,* and
Roman V. Belavkin
2
1
Value of Information Group, University of Bielefeld, 33615 Bielefeld, Germany
2
School of Science and Technology, Middlesex University, London NW4 4BT, UK
*
Author to whom correspondence should be addressed.
Presented at the 43rd International Workshop on Bayesian Inference and Maximum Entropy Methods in Science and Engineering, Ghent, Belgium, 1–5 July 2024.
Phys. Sci. Forum 2025, 12(1), 6; https://doi.org/10.3390/psf2025012006
Published: 23 September 2025

Abstract

This paper explores the application of the Value of Information, (VoI), based on the Claude Shannon/Ruslan Stratonovich framework within economic contexts. Unlike previous studies that examine circular settings and strategic interactions, we focus on a non-strategic linear setting. We employ standard economically motivated utility functions, including linear, quadratic, constant absolute risk aversion (CARA), and constant relative risk aversion (CRRA), across various priors of the stochastic environment, and analyse the resulting specific VoI forms. The curvature of these VoI functions play a decisive role in determining whether acquiring additional costly information enhances the efficiency of the decision making process. We also outline potential implications for broader decision-making frameworks.

1. Introduction

This paper applies our work in [1] on the Value of Information, (VoI), based on the Shannon/Stratonovich approach. VoI measures the usefulness or worth of acquiring or possessing certain information. As such, it helps decision makers to make efficient decisions by assessing the potential benefits that can be gained from obtaining new information. Knowing the VoI of different tasks allows us to prioritize and allocate scarce resources efficiently. It helps to determine whether it is worth investing time, effort, or money in order to gather additional information before making a decision. As such, the VoI allows us to weigh the potential benefits against the costs associated with obtaining or processing information (Another recent approach, the Payoffs–Beliefs Duality framework of De Lara and Gossner [2], evaluates the value of information by explicitly modelling the interaction between the agent’s beliefs and the set of available actions).
The VoI concept was founded in the works of Shannon and Stratonovich and is a subject of information theory [3,4]. In [1], we focus on a circular spatial setting. The circle is a convenient and general vehicle to introduce real or perceived space (e.g., product differentiation) into economic modelling. The circular space can be partitioned into distinct segments, thereby inducing a spatial network structure that enables the incorporation of transport costs, such as in the simplest case the taxi cost associated with transferring a passenger from a given origin to a designated destination.
The focus in this paper is the simpler linear spatial setting. Our strategy is to employ standard economic utility (or cost) functions such as linear, quadratic, and constant absolute and relative risk aversion (CARA and CRRA) functions [5] and to modify the stochastic environments and their priors to derive the relevant VoI. This supremum utility is found by solving
U ( I ) sup p ( u , x ) E p ( u , x ) c ( x , u ) s . t . I x u I
where Ω = X × U denotes sets of random variables with u, some action, and c ( x , u ) , some resulting cost or negative utility. The maximization is performed over conditional or mutual probabilities, a formulation that is also standard in the economic rational inattention literature (see e.g., [6] for a survey), subject to an upper bound I to the available Shannon [3] mutual information:
I x , u E x , u log P ( x y ) P ( x ) .
The more information the agent is able to acquire about the true probability distribution, the more accurately they can determine the optimal course of action. Information about x may in practice be communicated by some variable y. We then have a triple x y u and a decision rule u ( x ) = u ( y ( x ) ) and again p ( u , x ) .
In [1], we extend the original discrete Stratonovich example of VoI in a circular setting, compare it to a simpler information measure (referred to as Hartley information in [4]), and examine how changes in the distribution and alternative specifications of transport costs influence the resulting values. In the present paper, we shift the focus to continuous distributions within a linear spatial framework, employing economically motivated utility functions across various stochastic environments to analyze the resulting VoI.

2. The VoI Calculations

In [1] based on [4], we make use of the following result:
Theorem 1.
The condition for the optimal joint measure p p n o r m ( x , u ) can be derived as
Γ ( β ) β Γ ( β ) = I x , u
where Γ ( β ) = ln Z ( β ) is the cumulant generating function, Z ( β ) is the partition function as defined below, and β the inverse Lagrange multiplier of the information constraint that is put in terms of Shannon mutual information. Also
Γ ( β ) = E x , u c ( x , u ) .
The partition function  Z ( β ) , is a transformed transport cost function where β is the inverse Lagrange multiplier for the information constraint. In [4], Stratonovich employs the partition function
Z n ( β ) = 1 n x e β c ( x , u ) ,
which is discrete and assumes equal probabilities of all n outcomes, as the information constraint is an inequality, β 1 ≥ 0. The cumulant-generating function can be derived as Γ ( β ) = ln Z ( β ) .
Unlike [1], this paper focuses on a continuous linear setting with a prior continuous  y 0 ( ω ) that is not necessarily uniform. As in [1], we consider translation-invariant cost functions, that is, cases where the setting can be reduced to an outcome ω = x u with ω Ω . We thus have
Z ( β ) = Ω e β c ( ω ) d y 0 ( ω ) .
The Stratonovich procedure has several instructive duality properties. Importantly, we have
Γ ( β ) = E ω ( c ( ω ) ) 2 = σ 2
which implies that for any non-degenerate prior distribution ( σ 2 0 ) , the cumulant-generating function Γ ( β ) is convex.
An equivalent formulation of the variational problem can be obtained by replacing the cost function c ( x , u ) with a utility function u ( x , u ) = c ( x , u ) . This change in sign inverts the optimization objective from cost minimization to utility maximization while preserving the structure of the exponential family distribution. Consequently, the cumulant-generating function remains defined as Γ ( β ) = ln Z ( β ) , but its derivative now yields the expected utility: Γ ( β ) = E ω { c ( ω ) } U ( β ) . Although the statistical mechanics formulation is unchanged, the interpretation of the Lagrange multiplier β shifts accordingly: under a utility-maximizing perspective, β takes the opposite sign relative to the cost-minimizing case.
Solving the key-equations Γ ( β ) = E ω c ( ω ) U ( β ) and I ω I ( β ) jointly for all “inverse temperatures” β yields U ( I ) , which after normalizing for the expected cost/utility under no information U ( I = 0 ) yields the Value of Information, (VoI) as
V ( I ) = U ( I ) U ( 0 ) .
By Γ ( β ) = U ( β ) , we then have that its Legendre–Fenchel transform I ( U ) is also convex with I ( U ) = I ( β ) / U ( β ) = β . Then U ( I ) is concave by application of duality.
Much of the previous economic literature has focused on various forms of “non-concavities” in the value of information e.g., Radner and Stiglitz [7]. Recently the entropy constraint optimization underlying VoI has also been investigated in rational inattention models [6,8], and it is closely related to entropic risk measures [9,10]. Originally, Stratonovich’s VoI theory and Shannon’s rate distortion theory focus on the utility of decisions, evaluating signal errors and their associated costs. These are, however, not economic utilities in the sense of reflecting preferences or money but are often task-specific and indirect. The theories consider the maximum possible improvement in expected utility due to additional information d I . Formally, this improvement can be written as V ( d I ) = U ( I + d I ) U ( I ) or more simply V ( I ) = U ( I ) U ( 0 ) as above. Notably, these formulations do not account for the cost of obtaining the extra information d I , and VoI is strictly increasing and concave, reflecting pure gains from additional information.
In contrast, Radner and Stiglitz [7] incorporate the cost of obtaining information directly into their utility function. They define U ( d , θ ) , where d is a decision and θ is an information constraint, which is non-increasing (and even decreasing) with respect to θ . Here, U ( d , θ ) represents the expected utility and differs from our U ( I ) , the supremum of expected utility. Radner and Stiglitz’s V ( θ ) , analogous to our U ( I ) , is the supremum of U ( d , θ ) . By including the cost of information, they observe a potential negative derivative of V ( θ ) , indicating non-concavity, which they attribute to the cost factor.
To reconcile these views, we may define a function R ( I ) = V ( I ) E { c ( I ) } , where E { c ( I ) } is the expected cost of obtaining information I. This function, R ( I ) (the return from information), can be negative if the information cost exceeds the maximum possible gain V ( I ) . Moreover, R ( I ) does not need to be concave, and its derivative is R ( I ) 0 . Radner and Stiglitz’s formulation allows R ( I ) = 0 but not R ( I ) 0 , as the supremum is taken after paying for the information, preventing a strictly decreasing value. The static literature on rational inattention, e.g., Matějka and McKay [8], typically also incorporates the cost of obtaining information, such as the cost of entropy reduction, into their problem framework; thus, their inclusion of information costs aligns with the Radner and Stiglitz approach.
We would argue however, following Stratonovich and Shannon, that the cost of obtaining information should be considered separately from the VoI. The VoI, V ( I ) , measures the maximum gain in expected utility related to a specific decision problem without factoring in the cost of information. This separation provides a clear upper bound for the cost of information V ( I ) that should not be exceeded. By maintaining a distinction between the value and cost of information, we can better understand and optimize decision-making processes, ensuring that the pure benefits of information are accurately assessed and utilized.
Clearly, the curvature of U ( I ) , i.e., the impact of marginal information on the expected cost/utility, enabling the decision maker to decide whether or not to acquire additional information, will depend on the exact data of the problem in the form of the utility function and the stochastic environment. We will focus on the implications of this data next.

3. The Stratonovich VoI and Quadratic Utility with a Normal Prior

We next consider the VoI under quadratic utility u ( x ) = x 2 . Quadratic loss is a common choice in rate distortion applications. However, in economics, quadratic utility has some drawbacks, one being increasing the absolute risk aversion (ARA). Here the coefficient of absolute risk aversion is given as
R = u ( x ) u ( x ) = 1 x .
As wealth increases, individuals with quadratic utility become more averse to risk in absolute terms, which is not consistent with observed behavior where people tend to exhibit decreasing or constant absolute risk aversion.
To satisfy participation constraint, a constant c > 0 can be added, and the mean may be increased by some f > 0 to
u ( x ) = x 2 + f x + c 2 .
Still, for large values of wealth, the marginal utility (the additional satisfaction gained from an extra unit of wealth) can become negative. This implies that beyond a certain wealth level, individuals derive negative satisfaction from additional wealth, which is unrealistic at least in the long run. So, in essence, the use of quadratic utility is most appropriate at lower levels of wealth and consumption or for short-term consumption, where goods may well reveal a consumption maximum.
A well known recompense is that we may assume that the prior probability is normal Gaussian, i.e., that
d y 0 = α 2 π e α x 2 2 d x
where α = 1 / σ 2 is the “precision” of the normal.
Here the partition function can be derived analytically as
Z ( β ) = Ω e β u ( ω ) d y 0 = α 2 π e β ( x 2 + f x + c 2 ) α x 2 2 d x = α α + β e 1 8 β 4 c + β f 2 α + β
It is well known that the computation and conditions for convergence of such partition functions cannot be taken for granted and occupy a central position in statistical physics. Following the above procedure, we find the utility U ( β ) as
U ( β ) = 1 2 ( α + β ) + c 2 + β ( 2 α + β ) f 2 8 ( α + β ) 2
and information I ( β ) as
I ( β ) = β 1 2 ( α + b ) + c 2 + β ( 2 α + β ) f 2 8 ( α + β ) 2 ln α α + β e 1 8 β 4 c + β f 2 α + β
or
I ( β ) = β 2 ( α + β ) + α β 2 f 2 8 ( α + β ) 2 1 2 ln α α + β .
Solving U ( β ) for β explicitly, we find the relevant solution for a given level of U as
β = 2 + 4 + α 2 f 2 ( 4 c + f 2 8 U ) 4 c + f 2 8 U α
which allows us to solve for I ( U ) explicitly as
I ( U ) = U α 1 4 4 + α 2 f 2 ( 4 c + f 2 8 U ) α ( 2 c + f 2 ) + 2 ln α 2 ln 2 + 4 + α 2 f 2 ( 4 c + f 2 8 U ) 4 c + f 2 8 U
which has a minimum at U 0 = c 2 1 2 α . Higher values of precision α will change the slope of the convex I ( U ) function as well as this minimum. With I ( U ) = β , we can take the derivative
β α = 1 + α f 2 4 + α 2 f 2 ( 4 c + f 2 8 U )
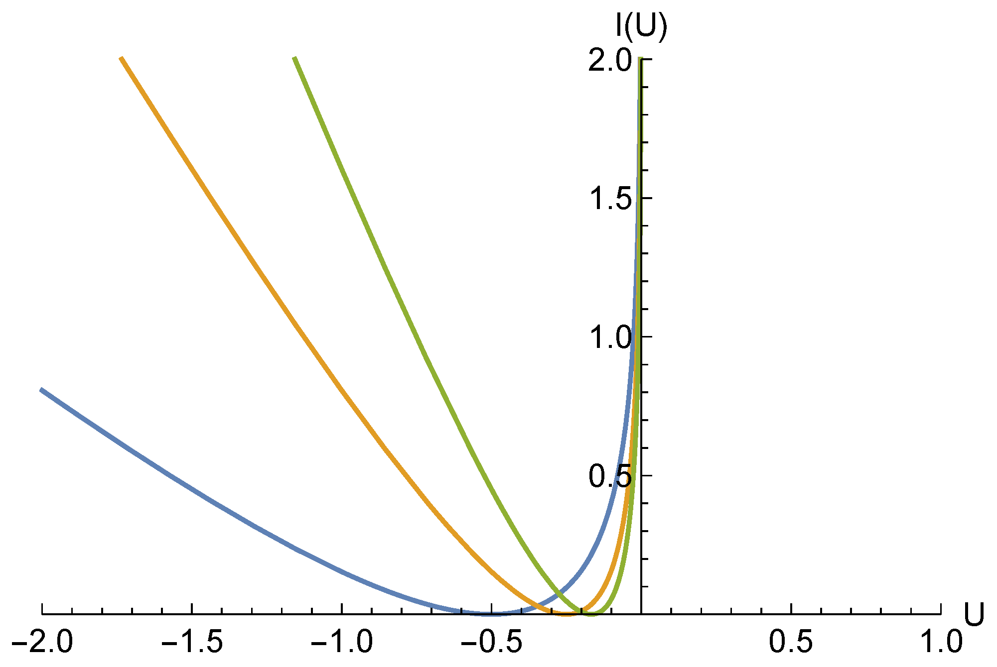
so that a higher precision of the prior distribution will flatten U ( I ) but also move U 0 , which we will have to take into account for conclusions about the VoI. Figure 1 shows the I(U) functions for c , f = 0 for various precision α = 1 (blue), α = 2 (yellow), and α = 3 (green).
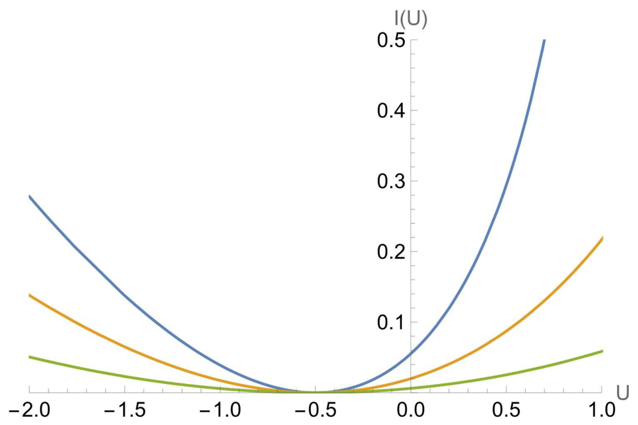
The effect of f > 0 is unambiguous. We can show that higher values of f will change the convex I ( U ) function increasing the VoI. Figure 2 shows the I(U) functions for c = 0 , α = 1 and f = 3 (blue), 5 (yellow), and 9 (green).

4. The Stratonovich VoI and Linear Utility with an Exponentially Distributed Prior

The above line of reasoning can also be found for a “simpler” linear utility u ( x ) = x that implies the extreme case of no risk aversion, i.e., R = 0 . Here the individual is indifferent between a certain outcome and a risky one with the same expected value.
We assume an exponential prior
d y 0 = a e a x d x
for a > 0 and x [ 0 , ) , so with u ( x ) 0 , we have
Z ( β ) = a 0 e β x a x d x = a a β ,
U ( β ) = 1 a β ,
and
I ( β ) = β a β ln a a β .
We can use β = 1 / U + a to obtain the explicit dependency
I ( U ) = 1 + a U ln U ln ( a ) , for U > 0 .
This function is convex, and it is minimized at U 0 = 1 / a (i.e., depends on the rate parameter). If the reference measure tends to a uniform (i.e., a 0 ), then information I ( U ) is never minimized and the function I ( U ) is decreasing for all U > 0 . This also means that the inverse temperature β = I ( U ) = a 1 / U is always negative for a 0 .
This implies that one cannot really maximize the expected utility u ( x ) = x in systems where a uniform measure is taken as a reference. Intuitively, this is from U ( β ) 1 / β as a 0 , which basically means that the maximum value of expected utility should be negative if β > 0 , but this is a contradiction, because we require U > 0 . Negative β = I ( U ) corresponds to a minimization problem (and it is okay to minimize u ( x ) = x on x > 0 ).
However, for any exponential reference with a > 0 , there is an area where β = I ( U ) > 0 (i.e., I ( U ) is minimized at U 0 = 1 / a , and it is increasing for U > 1 / a ). This means that maximizing expected utility u ( x ) = x on probability measures that have finite divergence from the reference exponential measure is possible. The maximum expected utility will be a concave function corresponding to the inverse of I ( U ) for U > 1 / a . Using I ( U ) = β > 0 and taking the derivative d β / d a = 1 > 0 , an increase in the rate parameter (lowering the variance of the prior distribution) will steepen I ( U ) and thus flatten U ( I ) and thus the VoI, which is supported by the intuition that for a 0 we get to the uniform distribution where information is most valuable.
Most individuals exhibit some degree of risk aversion, preferring certain outcomes over uncertain ones with the same expected value. Also with linear utility, the marginal utility of wealth is constant, meaning that each additional unit of wealth provides the same amount of utility regardless of the individual’s current level of wealth. This contradicts empirical observations where the marginal utility of wealth typically decreases as wealth increases. Risk-averse behavior is what we will allow for next.

5. The Stratonovich VoI with a CRRA Utility and an Exponentially Distributed Prior

The constant relative risk aversion (CRRA) utility function is widely used in economics due to its appealing properties. CRRA utility implies a constant coefficient of relative risk aversion, which is given as
x R = x u ( x ) u ( x ) = c
and implies that an individual’s aversion to risk does not change proportionally with their wealth level. This is more realistic compared to other utility functions (e.g., quadratic), where risk aversion may vary with wealth. As individuals become wealthier, they are willing to take on more absolute risk, which aligns with observed behavior. The utility function takes the following form:
u ( x ) = x 1 g 1 1 g
for g 1 for which x R = g . Note that by l’Hôpital rule as g 1 , we obtain the simple logarithmic utility function
lim g 1 u ( x ) = ln ( x ) .
CRRA utility functions are scale-invariant so that the utility derived from consumption depends on the proportion of wealth consumed, rather than the absolute level. This property makes CRRA utility functions useful for analyzing decisions involving proportional changes, such as investment and savings decisions like in portfolio selection theories, such as the capital asset pricing model (CAPM) and the consumption-based capital asset pricing model (CCAPM). They help explain how individuals allocate their wealth among different assets based on their risk–return trade-offs. Also, investors with CRRA utility are more likely to diversify their portfolios to manage risk, as they are consistently risk-averse regardless of their wealth levels.
The prior distribution is again
d y 0 = a e a x d x
for a > 0 and x [ 0 , ) . Thus, the partition function becomes
Z ( β ) = Ω e β u ( ω ) d y 0 = a 0 e β x 1 g 1 1 g a x d x
Unfortunately, for general g, this partition function has no analytic solution. First, we will therefore focus on the particular case g 1 where the partition function becomes
Z ( β ) = Ω e β u ( ω ) d y 0 = a 0 e β ( ln ( x ) ) a x d x = a β G a m m a [ 1 + β ]
if β > 1 , where G a m m a [ 1 + β ] is the G a m m a function: G a m m a [ 1 + β ] = 0 t β e t d t .
Following the procedure above, we find that
U ( β ) = ln ( a ) + P o l y G a m m a [ 0 , 1 + β ] , and
I ( β ) = β ln ( a ) + P o l y G a m m a [ 0 , 1 + β ] ln a β G a m m a [ 1 + β ]
where P o l y G a m m a [ 0 , · ] is the D i G a m m a function, the logarithmic derivative of the G a m m a function. Note that with a > 0 , the last equation simplifies to
I ( β ) = β P o l y G a m m a [ 0 , 1 + β ] ln G a m m a [ 1 + β ]
which now no longer depends on the rate parameter a.
To find the value of information VoI as defined by V ( I ) = U ( I ) U ( 0 ) = U ( I ) U ( β = 0 ) , we need to normalize. The unconditional, zero-information-expected utility, can be derived either as
U ( I = 0 ) = 0 a ln ( x ) e a x d x = E u l e r G a m m a ln ( a ) ,
or alternatively as
U ( β = 0 ) = E u l e r G a m m a ln ( a ) ,
where P o l y G a m m a [ 0 , 1 ] = E u l e r G a m m a , the negative of the Euler constant. We thus find the VoI for u ( x ) = ln ( x ) as
V ( I ) = ln ( a ) + P o l y G a m m a [ 0 , 1 + β ] E u l e r G a m m a ln ( a )
or
V ( I ) = P o l y G a m m a [ 0 , 1 + β ] + E u l e r G a m m a ,
which no longer depends on on the distribution parameter a either.
Hence, as neither the inverse temperature β via I ( β ) nor V ( I ) will depend on a, the VoI V ( I ) will be independent of the parameter of the prior exponential distribution. Remember that this result also comprises the uniform prior distribution as a limit case. In Figure 3, we show the VoI function V(I) for any a > 0 . The implications of this invariance property for economics, portfolio theory, and risk analysis deserve further investigation [11].
Finally, we will show that this property does not hold for g 1 . Assuming g = 1 / 3 , the CRRA utility becomes
u ( x ) = 3 2 x 2 3 1 .
The prior distribution is again
d y 0 = a e a x d x
for a > 0 and x [ 0 , ) . The unconditional expectation of this utility is
U ( 0 ) = a 0 3 2 x 2 3 1 e a x d x = G a m m a 2 3 a 2 3 3 2 .
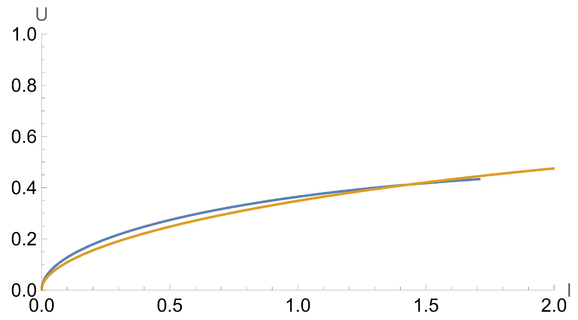
Thus, the partition function Z ( β ) can be derived and the proceeding above yields Figure 4, where we show the VoI function V(I) for a CRRA utility with g = 1 / 3 and a = 1 , 2 confirming that for g 1 , the invariance property no longer holds.

6. The Stratonovich VoI with CARA Utility and an Exponentially Distributed Prior

The final utility we look at is the constant absolute risk aversion form CARA. CARA utility has the form
u ( x ) = 1 e c x c
for c > 0 and u ( x ) = x for c = 0 , again by the l’Hôpital rule. Here the coefficient of absolute risk aversion is constant as
R = u ( x ) u ( x ) = c .
With CARA utility, an individual’s aversion to risk remains constant regardless of their wealth level. This means that both wealthy and less wealthy individuals would avoid risky options with the same intensity. This simplifies the analysis of behavior under uncertainty, as the risk aversion parameter does not need to be adjusted for changes in wealth. The unconditional expectation of this utility is
U ( 0 ) = a 0 1 e c x c e a x d x = 1 a + c
for a > 0 . Under the assumption that c > 0 , we find
Z ( β ) = a 0 e β ( 1 e c x c ) a x d x = a e β c c β c a c G a m m a a c G a m m a a c , β c
to find
U ( β ) = 1 β β a c + e β c β c a c G a m m a a c G a m m a a c , β c ,
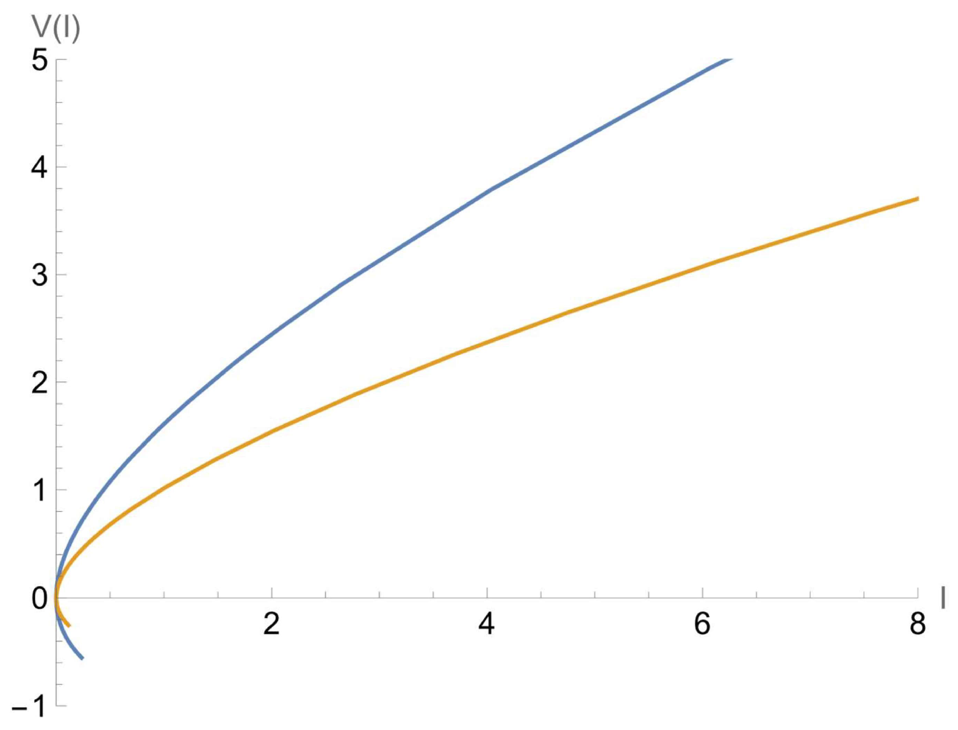
so we can determine I ( β ) and produce a parametric plot. For c = 1 and a = 1 , 2 , we find in Figure 5 that VoI functions may cross, implying that a higher variance of the prior leads to a higher VoI at lower levels of information only. Again, the implications of this finding warrant further investigation [11].

Author Contributions

Conceptualization, S.B. and R.V.B.; methodology, S.B. and R.V.B.; writing—original draft preparation, S.B.; writing—review and editing, S.B. All authors have read and agreed to the published version of the manuscript.

Funding

This research received no external funding.

Institutional Review Board Statement

Not applicable.

Informed Consent Statement

Not applicable.

Data Availability Statement

Not applicable.

Acknowledgments

We are grateful to the editor and a very perceptive referee.

Conflicts of Interest

The authors declare no conflict of interest.

References

  1. Behringer, S.; Belavkin, R.V. The Value of Information and Circular Settings. arXiv 2023, arXiv:2303.16126. [Google Scholar] [CrossRef]
  2. De Lara, M.; Gossner, O. Payoffs-Beliefs Duality and the Value of Information. SIAM J. Optim. 2020, 30, 464–489. [Google Scholar] [CrossRef]
  3. Shannon, C.E. A Mathematical Theory of Communication. Bell Syst. Tech. J. 1948, 27, 379–423. [Google Scholar] [CrossRef]
  4. Stratonovich, R.L. Theory of Information and Its Value; Russian Edition 1975; Springer: Berlin/Heidelberg, Germany, 2020. [Google Scholar]
  5. Arrow, K.J. Aspects of the Theory of Risk Bearing, The Theory of Risk Aversion; Yrjo Jahnssonin Saatio: Helsinki, Finland, 1965. [Google Scholar]
  6. Maćkowiak, B.; Matějka, F.; Wiederholt, M. Rational Inattention: A Review. J. Econ. Lit. 2023, 61, 226–273. [Google Scholar] [CrossRef]
  7. Radner, R.; Stiglitz, J.E. A Nonconcavity in the Value of Information. In Bayesian Models of Economic Theory; Boyer, M., Kihlstrom, R., Eds.; Elsevier: Amsterdam, The Netherlands, 1984; pp. 33–52. [Google Scholar]
  8. Matějka, F.; McKay, A. Rational Inattention to Discrete Choices: A New Foundation for the Multinomial Logit Model. Am. Econ. Rev. 2015, 105, 272–298. [Google Scholar] [CrossRef]
  9. Föllmer, H.; Schied, A. Stochastic Finance: An Introduction in Discrete Time, 4th ed.; Walter de Gruyter: Berlin, Germany, 2006. [Google Scholar]
  10. Rockafellar, R.T. Coherent Approaches to Risk in Optimization Under Uncertainty; Tutorials in Operations Research; INFORMS: Catonsville, MD, USA, 2007; pp. 38–61. [Google Scholar]
  11. Behringer, S. The Value of Information in Economics and Decision Theory; Springer: Berlin/Heidelberg, Germany, forthcoming.
Figure 1. Quadratic utility; normal prior, f , c = 0 and α = 1 , 2, 3.
Figure 1. Quadratic utility; normal prior, f , c = 0 and α = 1 , 2, 3.
Psf 12 00006 g001
Figure 2. Quadratic utility; normal prior, c = 0 , α = 1 , f = 3 , 5 , 9 .
Figure 2. Quadratic utility; normal prior, c = 0 , α = 1 , f = 3 , 5 , 9 .
Psf 12 00006 g002
Figure 3. Logarithmic utility, exponential prior, and any a > 0 .
Figure 3. Logarithmic utility, exponential prior, and any a > 0 .
Psf 12 00006 g003
Figure 4. CRRA utility with g = 1 / 3 , exponential prior, and a = 1 (blue) and a = 2 (yellow).
Figure 4. CRRA utility with g = 1 / 3 , exponential prior, and a = 1 (blue) and a = 2 (yellow).
Psf 12 00006 g004
Figure 5. CARA utility with c > 0 , exponential prior, and a = 1 (blue) and a = 2 (yellow).
Figure 5. CARA utility with c > 0 , exponential prior, and a = 1 (blue) and a = 2 (yellow).
Psf 12 00006 g005
Disclaimer/Publisher’s Note: The statements, opinions and data contained in all publications are solely those of the individual author(s) and contributor(s) and not of MDPI and/or the editor(s). MDPI and/or the editor(s) disclaim responsibility for any injury to people or property resulting from any ideas, methods, instructions or products referred to in the content.

Share and Cite

MDPI and ACS Style

Behringer, S.; Belavkin, R.V. The Value of Information in Economic Contexts. Phys. Sci. Forum 2025, 12, 6. https://doi.org/10.3390/psf2025012006

AMA Style

Behringer S, Belavkin RV. The Value of Information in Economic Contexts. Physical Sciences Forum. 2025; 12(1):6. https://doi.org/10.3390/psf2025012006

Chicago/Turabian Style

Behringer, Stefan, and Roman V. Belavkin. 2025. "The Value of Information in Economic Contexts" Physical Sciences Forum 12, no. 1: 6. https://doi.org/10.3390/psf2025012006

APA Style

Behringer, S., & Belavkin, R. V. (2025). The Value of Information in Economic Contexts. Physical Sciences Forum, 12(1), 6. https://doi.org/10.3390/psf2025012006

Article Metrics

Back to TopTop