Congenial In Vitro γ-ray-Induced Mutagenesis Underlying the Diverse Array of Petal Colours in Chrysanthemum (Dendranthema grandiflorum kitam) cv. “Candid” †
Abstract
:1. Introduction
2. Experiments
2.1. Materials and Methods
2.2. Statistical Analysis
3. Results and Discussion
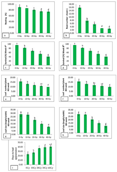
3.1. Influence of γ-rays on Rhizogenesis and Percent Survival
3.2. Influence of γ-rays on Number of Leaves and Leaf Area
3.3. Influence of Gamma Irradiation on Days to Floral Bud Appearance
3.4. Influence of Gamma Irradiation on Flower Colour and Mutation Frequency
4. Conclusions
Supplementary Materials
Author Contributions
Funding
Institutional Review Board Statement
Informed Consent Statement
Data Availability Statement
Acknowledgments
Conflicts of Interest
References
- Kumar, S.; Prasad, K.V.; Choudhary, M.L. Detection of genetic variability among chrysanthemum radiomutants using RAPD markers. Curr. Sci. 2006, 90, 1108–1113. [Google Scholar]
- Wolff, K. RAPD analysis of sporting and chimerism in chrysanthemum. Euphytica 1996, 89, 159–164. [Google Scholar] [CrossRef]
- Richards, A.J. Plant Breeding Systems; George Allen and Unwin: London, UK, 1986. [Google Scholar]
- Miñano, H.S.; González-Benito, M.E.; Martin, C. Molecular characterization and analysis of somaclonal variation in chrysanthemum cultivars using RAPD markers. Sci. Hortic. 2009, 122, 238–243. [Google Scholar] [CrossRef]
- Schum, A.R. Mutation breeding in ornamentals: An efficient breeding method. Acta Hortic. 2003, 612, 47–60. [Google Scholar] [CrossRef]
- Datta, S.K.; Misra, P.; Mandal, A.K.A. In-vitro mutagenesis a quick method for establishment of solid mutant in chrysanthemum. Curr. Sci. 2005, 88, 155–158. [Google Scholar]
- Jain, S.M.; Spencer, M.M. Biotechnology and mutagenesis in improving ornamental plants. In Floriculture, Ornamental and Plant Biotechnology: Advances and Topical Issues; da Silva, J.A.T., Ed.; Global Science Books: Isleworth, UK, 2006; Volume 1, pp. 589–600. [Google Scholar]
- Zalewska, M.; Lema-Rumińska, J.; Miler, N. In vitro propagation using adventitious buds techniques as a source of new variability in Chrysanthemum. Sci. Hortic. 2007, 113, 70–73. [Google Scholar] [CrossRef]
- Jain, S.M. Mutagenesis in crop improvement under the climate change. Rom. Biotechnol. Lett. 2010, 15, 88–106. [Google Scholar]
- Barakat, M.N.; Abdel, F.R.S.; Badr, M.; El-Torky, M.G. In-vitro culture and plant regeneration derived from ray florets of Chrysanth morifolium. Afr. J. Biotechnol. 2010, 9, 1151–1158. [Google Scholar]
- Broertjes, C.; Van-Harten, A.M. Application of mutation breeding methods in the improvement of vegetatively propagated crops. An interpretive literature review. In Developments in Crop Science; Elsevier Scientific Publishing Company: Amsterdam, The Netherlands, 1978; p. 316. [Google Scholar]
- Dwimahyani, I.; Widiarsih, S. The effects of gamma irradiation on the growth and propagation of in vitro chrysanthemum shoot explants (cv. Yellow Puma). At. Indones. 2010, 36, 45–49. [Google Scholar] [CrossRef] [Green Version]
- Chatterjee, J.; Mandal, A.K.A.; Ranade, S.A.; Teixeira-da-Silva, J.A.; Datta, S.K. Molecular systematics in Chrysanthemum × grandiflorum (Ramat) Kitamura. Sci. Hortic. 2006, 110, 373–378. [Google Scholar] [CrossRef]
- Dilta, B.S.; Sharma, Y.D.; Gupta, Y.C.; Bhalla, R.; Sharma, B.P. Effect of gamma rays on vegetative and flowering parameters of chrysanthemum. J. Ornam. Hortic. 2003, 6, 328–334.38. [Google Scholar]
- Gomez, K.A.; Gomez, A.A. Statistical Procedures for Agricultural Research; Wiley-Interscience Publications: New York, NY, USA, 1983; p. 84. [Google Scholar]
- Steel, R.G.D.; Torrie, J.H. Principles and Procedures of Statistical Analysis; McGraw Hill Book Co. Inc.: New York, NY, USA, 1980; pp. 232–251. [Google Scholar]
- Singh, K.P.; Singh, B.; Raghava, S.P.S.; Misra, R.L.; Kalia, C.S. In vitro induction of mutation in carnation through gamma irradiation. J. Ornam. Hortic. 1999, 2, 107–110. [Google Scholar]
- Sooch, M.; Arora, J.S.; Singh, K.; Gosal, S.S. Effect of gamma ray irradiation on in vitro multiple shoot formation and establishment of carnation plants. J. Ornam. Hortic. 2000, 3, 118–119. [Google Scholar]
- El-Sharnouby, M.E.; El-Khateeb, M.A.A. Effect of BA, NAA and gamma irradiation on the production of three cultivars of carnation (Dianthus caryophyllus L.) through tissue culture. Ann. Agric. Sci. Moshtohor 2005, 43, 1937–1948. [Google Scholar]
- Broertjes, C.; De-Jong, J. Radiation induced male sterility in daisy type of Chrysanthemum morifolium Ramat. Euphytica 1984, 33, 433–434. [Google Scholar]
- Sutter, E.; Langhans, R.W. Epicuticular wax formation on carnation plantlets regenerated from shoot-tip culture. J. Am. Soc. Hortic. Sci. 1979, 104, 493–496. [Google Scholar]
- Wardle, K.; Dobbs, E.B.; Short, K.C. In vitro acclimatization of aseptically cultured plants to humidity. J. Am. Soc. Hortic. Sci. 1983, 108, 386–389. [Google Scholar]
- Simard, M.H.; Ferriere, N.M.; Silvy, A. Variants of carnation (Dianthus caryophyllus L.) obtained by organogenesis from irradiated petals. Plant Cell Tissue Organ Cult. 1992, 29, 37–42. [Google Scholar] [CrossRef]
- Cassels, A.C.; Walsh, C.; Periappuram, C. Diplontic selection as a positive factor in determining the fitness of mutants of Dianthus ‘Mystere derived from X-irradiation of nodes in in vitro culture. Euphytica 1993, 70, 167–174. [Google Scholar] [CrossRef]
- Gupta, M.N.; Sumiran, R.; Shukla, R. Mutation breeding of tuberose Polianthus tuberose L. In Use of Radiations and Radioisotopes in Studies of Plant Productivity, Proceedings of a Symposium Held at GB Pant University of Agriculture and Technology, Pantnagar, 12–14 April 1974; Department of Atomic Energy, Food and Agriculture Committee: Bombay, India, 1975; pp. 169–179. [Google Scholar]
- Misra, R.L.; Bajpai, P.N. Mutational studies in gladioli (Gladiolus) I. Effect of physical and chemical mutagens on sprouting and survival of corms. Haryana J. Hortic. Sci. 1983, 12, 1–6. [Google Scholar]
- Gupta, M.N.; Laxmi, V.; Dixit, B.S.; Srivastava, S.N. Gamma rays induced variability in Costus Speciosus. Prog. Hortic. 1982, 14, 193–197. [Google Scholar]
- Acharya, N.N.; Tiwari, D.S. Effect of MMS and gamma rays on seed germination, survival and pollen fertility of Hamatocactus setispinus in M1 generation. Mysore J. Agric. Sci. 1996, 3, 10–13. [Google Scholar]
- Siranut, L.; Peeranuch, J.; Arunee, W.; Surin, D.; Prapanpongse, K. Gamma ray induced morphological changes in Chrysanthemum (Chrysanthemum morifolium). Agric. Nat. Sci. 2000, 34, 417–422. [Google Scholar]
- Srivastava, P.; Singh, R.P.; Tripathi, V.K. Response of gamma radiation (60 °C) on vegetative and floral characters of gladiolus. J. Ornam. Hortic. 2007, 10, 135–136. [Google Scholar]
- Misra, P.; Banerji, B.K.; Kumari, A. Effect of gamma irradiation on chrysanthemum cultivar ‘Pooja with particular reference to induction of somatic mutation in flower colour and form. J. Ornam. Hortic. 2009, 12, 213–216. [Google Scholar]
- Kahrizi, Z.A.; Kermani, M.J.; Amiri, M.E.; Vedadi, S. Identifying the correct dose of gamma-rays for in vitro mutation of rose cultivars. In Acta Horticulturae, Proceedings of the XXVIIIth International Horticultural Congress on Science and Horticulture International Symposium on Micro and Macro Technologies for Plant Propagation and Breeding in Horticulture; Fabbri, A., Rugini, E., Eds.; International Society for Horticultural Science: Leuven, Belgium, 2010; Volume 923, pp. 121–127. [Google Scholar]
- Kumari, K.; Dhatt, K.; Kapoor, M. Induced mutagenesis in Chrysanthemum morifolium variety ‘Otome Pink’ through gamma irradiation. Bioscan 2013, 8, 1489–1492. [Google Scholar]
- Mahure, H.R.; Choudhry, M.L.; Prasad, K.V.; Singh, S.K. Mutation in chrysanthemum through gamma irradiation. Indian J. Hortic. 2010, 67, 356–358. [Google Scholar]
- Dilta, B.S.; Sharma, Y.D.; Dhiman, S.R.; Verma, V.K. Induction of somatic mutations in chrysanthemum by gamma irradiation. Int. J. Agric. Sci. 2006, 2, 77–81. [Google Scholar]
- Datta, S.K.; Banerji, B.K. Gamma ray induced somatic mutation in chrysanthemum cv. ‘Kalyani Mauve’. J. Nucl. Agric. Biol. 1993, 22, 58–61. [Google Scholar]
- Langton, F.A. Chimerical structure and carotenoid inheritance in Chrysanthemum morifolium (Ramat.). Euphytica 1980, 29, 807–812. [Google Scholar] [CrossRef]
- Siavash, H.A.; Jirair, C.; Jalil, K. The effects of UV radiation on some structural and ultrastructural parameters in pepper (Capsicum longum). Turk. J. Biol. 2009, 34, 122–125. [Google Scholar]



Publisher’s Note: MDPI stays neutral with regard to jurisdictional claims in published maps and institutional affiliations. |
© 2020 by the authors. Licensee MDPI, Basel, Switzerland. This article is an open access article distributed under the terms and conditions of the Creative Commons Attribution (CC BY) license (https://creativecommons.org/licenses/by/4.0/).
Share and Cite
Din, A.; Qadri, Z.A.; Wani, M.A.; Rather, Z.A.; Iqbal, S.; Malik, S.A.; Hussain, P.R.; Rafiq, S.; Nazki, I.T. Congenial In Vitro γ-ray-Induced Mutagenesis Underlying the Diverse Array of Petal Colours in Chrysanthemum (Dendranthema grandiflorum kitam) cv. “Candid”. Biol. Life Sci. Forum 2021, 4, 21. https://doi.org/10.3390/IECPS2020-08780
Din A, Qadri ZA, Wani MA, Rather ZA, Iqbal S, Malik SA, Hussain PR, Rafiq S, Nazki IT. Congenial In Vitro γ-ray-Induced Mutagenesis Underlying the Diverse Array of Petal Colours in Chrysanthemum (Dendranthema grandiflorum kitam) cv. “Candid”. Biology and Life Sciences Forum. 2021; 4(1):21. https://doi.org/10.3390/IECPS2020-08780
Chicago/Turabian StyleDin, Ambreena, Zahoor Ahmed Qadri, Muneeb Ahmad Wani, Zahoor Ahmad Rather, Shameen Iqbal, Sajid Ali Malik, Peerzada Rashid Hussain, Sadaf Rafiq, and Imtiyaz Tahir Nazki. 2021. "Congenial In Vitro γ-ray-Induced Mutagenesis Underlying the Diverse Array of Petal Colours in Chrysanthemum (Dendranthema grandiflorum kitam) cv. “Candid”" Biology and Life Sciences Forum 4, no. 1: 21. https://doi.org/10.3390/IECPS2020-08780
APA StyleDin, A., Qadri, Z. A., Wani, M. A., Rather, Z. A., Iqbal, S., Malik, S. A., Hussain, P. R., Rafiq, S., & Nazki, I. T. (2021). Congenial In Vitro γ-ray-Induced Mutagenesis Underlying the Diverse Array of Petal Colours in Chrysanthemum (Dendranthema grandiflorum kitam) cv. “Candid”. Biology and Life Sciences Forum, 4(1), 21. https://doi.org/10.3390/IECPS2020-08780

