Enzymatic Synthesis of Flavours and Fragrances, Antioxidants and Antimicrobials on the Example of Benzyl Alcohol and Its Selected Derivatives †
Abstract
1. Introduction
2. Materials and Methods
2.1. Materials
2.2. Microorganisms
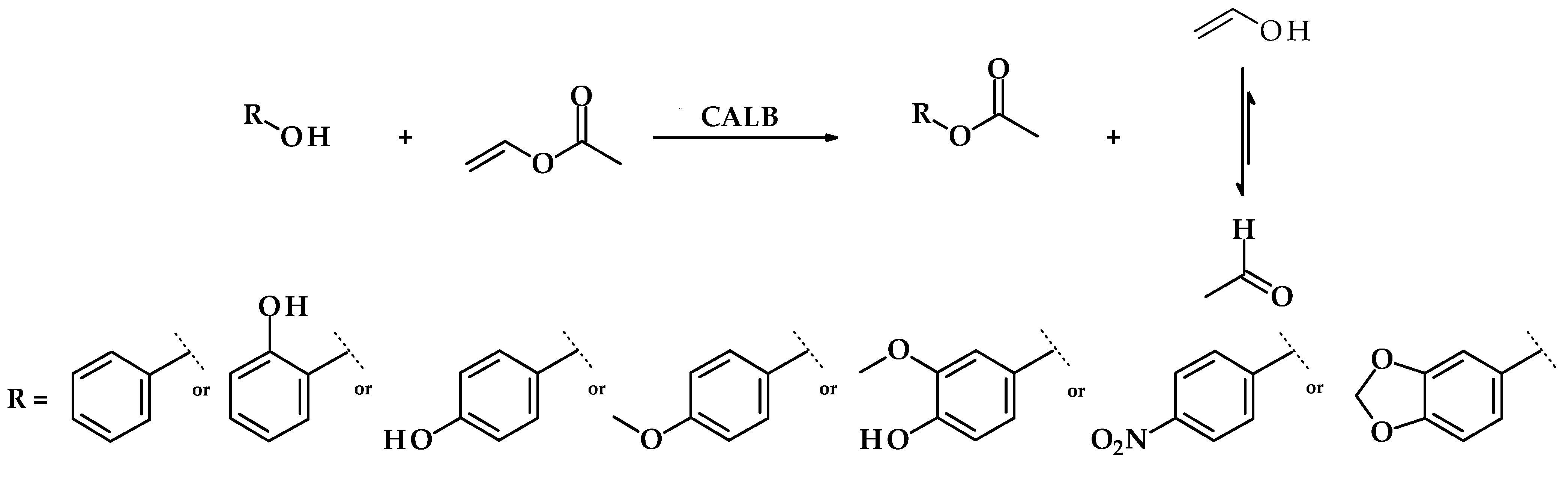
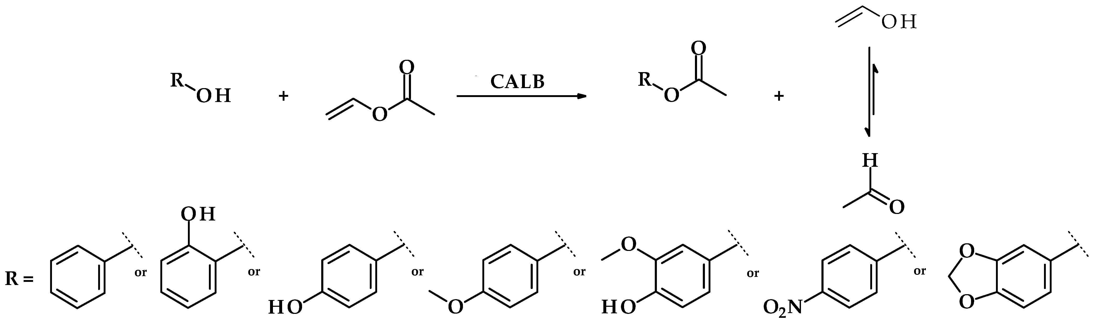
2.3. Enzymatic Synthesis of Esters
2.4. Column Chromatography and 1H NMR of the Synthesized Esters
2.5. Evaluation of Antioxidant Activity
2.6. Evaluation of Antimicrobial Activity
2.7. Statistical Analysis
3. Results and Discussion
4. Conclusion
Author Contributions
Funding
Institutional Review Board Statement
Informed Consent Statement
Data Availability Statement
Conflicts of Interest
References
- Białecka-Florjańczyk, E.; Fabiszewska, A.; Zieniuk, B. Phenolic Acids Derivatives—Biotechnological Methods of Synthesis and Bioactivity. Curr. Pharm. Biotechnol. 2018, 19, 1098–1113. [Google Scholar] [CrossRef] [PubMed]
- Zieniuk, B.; Białecka-Florjańczyk, E.; Wierzchowska, K.; Fabiszewska, A. Recent advances in the enzymatic synthesis of lipophilic antioxidant and antimicrobial compounds. World J. Microbiol. Biotechnol. 2021, 38, 11. [Google Scholar] [CrossRef] [PubMed]
- Lee, J.; Kim, K.; Son, J.; Lee, H.; Song, J.H.; Lee, T.; Jeon, H.; Kim, H.S.; Park, S.J.; Yoo, H.Y.; et al. Improved Productivity of Naringin Oleate with Flavonoid and Fatty Acid by Efficient Enzymatic Esterification. Antioxidants 2022, 11, 242. [Google Scholar] [CrossRef] [PubMed]
- Baek, Y.; Lee, J.; Son, J.; Lee, T.; Sobhan, A.; Lee, J.; Koo, S.-M.; Shin, W.H.; Oh, J.-M.; Park, C. Enzymatic Synthesis of Formate Ester through Immobilized Lipase and Its Reuse. Polymers 2020, 12, 1802. [Google Scholar] [CrossRef] [PubMed]
- Jaiswal, K.S.; Rathod, V.K. Process Intensification of Enzymatic Synthesis of Flavor Esters: A Review. Chem. Rec. 2022, 22, e202100213. [Google Scholar] [CrossRef] [PubMed]
- Parcheta, M.; Świsłocka, R.; Orzechowska, S.; Akimowicz, M.; Choińska, R.; Lewandowski, W. Recent Developments in Effective Antioxidants: The Structure and Antioxidant Properties. Materials 2021, 14, 1984. [Google Scholar] [CrossRef] [PubMed]
- Jia, Y.; He, Y.; Lu, F. The structure-antioxidant activity relationship of dehydrodiferulates. Food Chem. 2018, 269, 480–485. [Google Scholar] [CrossRef] [PubMed]
- Kulasekaran, S.; Cerezo-Medina, S.; Harflett, C.; Lomax, C.; de Jong, F.; Rendour, A.; Ruvo, G.; Hanley, S.J.; Beale, M.H.; Ward, J.L. A willow UDP-glycosyltransferase involved in salicinoid biosynthesis. J. Exp. Bot. 2021, 72, 1634–1648. [Google Scholar] [CrossRef]
- Kim, C.S.; Subedi, L.; Park, K.J.; Kim, S.Y.; Choi, S.U.; Kim, K.H.; Lee, K.R. Salicin derivatives from Salix glandulosa and their biological activities. Fitoterapia 2015, 106, 147–152. [Google Scholar] [CrossRef]
- Masika, P.J.; Sultana, N.; Afolayan, A.J.; Houghton, P.J. Isolation of two antibacterial compounds from the bark of Salix capensis. S. Afr. J. Bot. 2005, 71, 441–443. [Google Scholar] [CrossRef]


| CAS a Number | JECFA b Number | CoE c Number | FEMA d Number | Odour e | Flavour e | |
|---|---|---|---|---|---|---|
| Benzyl acetate | 140-11-4 | 23 | 2040 | 2135 | Sweet, floral, fruity, jasmine, fresh. | Fruity, sweet, with balsamic and jasmine floral undernotes. |
| 2-Hydroxybenzyl acetate | 6161-96-2 | - | - | - | - | - |
| 4-Hydroxybenzyl acetate | 3233-32-7 | - | - | - | - | - |
| 4-Methoxybenzyl acetate | 104-21-2 | 873 | 209 | 2098 | Sweet, powdery, balsam, vanilla, fruity, plum, cherry, tonka. | Sweet, fruity, liquorice, cherry, vanilla, coumarin. |
| Vanillyl acetate | 57404-55-4 | - | - | - | - | - |
| 4-Nitrobenzyl acetate | 619-90-9 | - | - | - | - | - |
| Piperonyl acetate | 326-61-4 | 894 | 2068 | 2912 | Sweet, floral, strawberry jam, hawthorn, metallic | Fforal, soapy, fruity, berry and slightly jammy with a powdery nuance. |
| AA (%) | IC50 (mM) | |
|---|---|---|
| Benzyl acetate | 3.51 ± 1.56 | >100 |
| 2-Hydroxybenzyl acetate | 10.07 ± 1.04 | 62.65 ± 7.95 |
| 4-Hydroxybenzyl acetate | 7.70 ± 0.30 | 85.72 ± 1.02 |
| 4-Methoxybenzyl acetate | 3.12 ± 0.41 | >100 |
| Vanillyl acetate | 55.15 ± 1.88 * | 0.83 ± 0.04 |
| 4-Nitrobenzyl acetate | 4.64 ± 0.68 | >100 |
| Piperonyl acetate | 3.64 ± 0.25 | >100 |
| Inhibition Zone Diameter (mm) | Ester Sensitivity * | |||
|---|---|---|---|---|
| E. coli PCM 2057 | S. aureus PCM 2054 | E. coli PCM 2057 | S. aureus PCM 2054 | |
| Benzyl acetate | 6.7 ± 0.6 CD | 6.0 ± 0.0 C | Not effective | Not effective |
| 2-Hydroxybenzyl acetate | 19.0 ± 1.0 A | 20.3 ± 0.6 A | Medium | Strong |
| 4-Hydroxybenzyl acetate | 6.0 ± 0.0 D | 6.0 ± 0.0 C | Not effective | Not effective |
| 4-Methoxybenzyl acetate | 8.7 ± 1.2 BC | 6.0 ± 0.0 C | Not effective | Not effective |
| Vanillyl acetate | 10.7 ± 1.5 B | 13.7 ± 0.6 B | Weak | Weak |
| 4-Nitrobenzyl acetate | 6.0 ± 0.0 D | 6.0 ± 0.0 C | Not effective | Not effective |
| Piperonyl acetate | 7.7 ± 0.6 CD | 6.0 ± 0.0 C | Not effective | Not effective |
Publisher’s Note: MDPI stays neutral with regard to jurisdictional claims in published maps and institutional affiliations. |
© 2022 by the authors. Licensee MDPI, Basel, Switzerland. This article is an open access article distributed under the terms and conditions of the Creative Commons Attribution (CC BY) license (https://creativecommons.org/licenses/by/4.0/).
Share and Cite
Zieniuk, B.; Jasińska, K.; Wierzchowska, K.; Fabiszewska, A. Enzymatic Synthesis of Flavours and Fragrances, Antioxidants and Antimicrobials on the Example of Benzyl Alcohol and Its Selected Derivatives. Biol. Life Sci. Forum 2022, 18, 2. https://doi.org/10.3390/Foods2022-13066
Zieniuk B, Jasińska K, Wierzchowska K, Fabiszewska A. Enzymatic Synthesis of Flavours and Fragrances, Antioxidants and Antimicrobials on the Example of Benzyl Alcohol and Its Selected Derivatives. Biology and Life Sciences Forum. 2022; 18(1):2. https://doi.org/10.3390/Foods2022-13066
Chicago/Turabian StyleZieniuk, Bartłomiej, Karina Jasińska, Katarzyna Wierzchowska, and Agata Fabiszewska. 2022. "Enzymatic Synthesis of Flavours and Fragrances, Antioxidants and Antimicrobials on the Example of Benzyl Alcohol and Its Selected Derivatives" Biology and Life Sciences Forum 18, no. 1: 2. https://doi.org/10.3390/Foods2022-13066
APA StyleZieniuk, B., Jasińska, K., Wierzchowska, K., & Fabiszewska, A. (2022). Enzymatic Synthesis of Flavours and Fragrances, Antioxidants and Antimicrobials on the Example of Benzyl Alcohol and Its Selected Derivatives. Biology and Life Sciences Forum, 18(1), 2. https://doi.org/10.3390/Foods2022-13066

