Abstract
Cowpea’s (Vigna unguiculata) heat and drought resistance, high protein content, and nitrogen-fixing ability place this crop within the three dimensions of sustainable development; social, economic, and environmental. Modern disregard for landrace causes genetic variability loss, compromising breeding efforts in the context of climate changes. To contribute to the evaluation of Portuguese cowpea germplasm, several landraces were compared with a commercial variety (CV) in terms of productivity and physiological responses to drought. Despite a clear effect of stress in photosynthesis, there were no differences between the CV and landraces. However, under drought, higher relative chlorophyll content (SPAD) was kept for longer in the CV. All showed a marked decrease in productivity (60–70%) under stress, but the CV produced bigger and heavier seeds. The similar results between CV and landraces reflect the significance of the pragmatic selection of on-farm conserved landraces under Mediterranean climate. Molecular characterization of genetic diversity is on course using microsatellites.
1. Introduction
Global food security relies almost exclusively on agricultural productivity. Crop yield is conditioned by biotic factors, climate, soil health, and water availability, all linked in a tight cycle. In line with the need for more sustainable practices, both on the field and on the plate, the Food and Agriculture Organization of the United Nations (FAO) recognizes pulses as key factors in food access, malnutrition and hunger alleviation, as a smallholder income and as part of more sustainable agriculture. Legumes are not only rich in essential plant-type nutrients, such as carbohydrates, fiber, minerals, and vitamins, but also a healthy, low-cost alternative source of protein, with the added benefit of fixing atmospheric nitrogen and improving the soil quality.
Cowpea is no exception to these qualities. Being a drought-tolerant crop that thrives in marginal soils where other food legumes fail to grow, cowpea assumes an important role in feeding and guaranteeing a livelihood for millions of families in the tropical and subtropical regions, mainly in Africa [1,2]. Nevertheless, productivity can be affected by several biotic and abiotic factors, including prolonged droughts and the cultivation of poorly adapted varieties [3].
Preserving and studying landraces that were empirically selected to perform well in specific agro–climatic conditions may enrich the genetic pool upon which breeding programs can develop improved varieties [4]. In Portugal, cowpea is cultivated mainly for domestic use, and mainly by elderly farmers, with many landraces in danger of being lost. As an effort to preserve and educate about the national cowpea germplasm value, we present a comparison of a commercial variety developed in Portugal and four on-farm conserved landraces of traditional importance, to assess inter-variation in terms of productivity and physiological responses to drought. Results suggest the relevance of empirical selection in obtaining well-adapted plants to the Mediterranean Climate. Preliminary genetic diversity studies corroborate the idea that landraces are genetically rich heterogeneous populations with valuable genetic diversity [5,6].
2. Materials and Methods
2.1. Field Capacity and Water Stress Induction
Field capacity (FC) was evaluated by the gravimetric method. Pots were filled with ca. 3 L of peat moss soil (Arber Horticulture, Alezio, Italy) and watered until saturation. After 24 h of runoff, saturation by capillarity was assured. Pots were weighed individually (approximately 1300 g), the result being considered as 100% field capacity (FC) [7].
Seeds from a commercial variety (CV) and 4 Portuguese Vigna unguiculata landraces (L1–L4) were sown in late May. Plants (one plant per pot, 10 pots per landrace) were grown in a semi-controlled greenhouse and well irrigated to 80% of FC during the early vegetative growth. Water stress (WS) was induced in 5-week-old plants by withholding irrigation in half of the plants, maintained under 35% FC. Control plants (WW) were irrigated to maintain 80% FC. Once a week, water was replaced by a nutrient solution (Complesal 12-4-6) in both treatments.
At the flowering stage (50% flowering, 8-week-old plants), physiological measurements were performed in fully expanded leaves of control and stressed plants.
Treatments were maintained until the end of the plants’ cycle (from June to September) to evaluate grain yield.
Air temperature and humidity were monitored with EasyLog USB Data Loggers (EL-SIE-2+, Lascar Electronics, Erie, PA, USA) during the whole plant growth cycle.
2.2. SPAD Measurements
Relative chlorophyll content was obtained with a SPAD (Soil–Plant Analysis Development) meter (SPAD-502 Plus, Konica-Minolta, Japan) in the leaf immediately below the leaf used for gas exchange monitoring. Measurements were made before stress induction at the beginning of the flowering stage (T0, BBCH 5) in 5-week-old plants, and at the beginning (T1) and end (T2) of the development of fruit (BBCH 8) at 10 and 11 weeks old, respectively.
2.3. Gas Exchange Measurements
Leaf gas exchanges (net photosynthetic rate, Pn; stomatal conductance, gs; transpiration, E) were measured using a portable CO2/H2O infrared gas analyzer exchange system LI-6400 (LI-Cor, Inc., Lincoln, AR, USA), as described in [8]. An external CO2 concentration of ca. 370 ppm was used, and chamber block temperature was controlled at 25 °C, with artificial light supplied by a “cold” lamp LED type (ca. 1000 mmol m−2 s−1). The parameters were calculated according to the equations of [9]. Instantaneous water use efficiency (iWUE) was estimated as Pn/E. Measurements were carried out in the morning (10:00–12:00 a.m.). For each parameter, the mean value of three measurements (minimum) is presented.
2.4. Yield
At the end of the cycle, pods were harvested at the full maturation stage (complete drying) and threshed manually. The number of pods per plant, number of grains per pod, the weight of 10 grains, and total weight of grain per plant were obtained per variety, after oven drying for 35 °C for 72 h.
2.5. Statistical Analysis
ANOVA (p < 0.05) was applied using the IBM SPSS Statistics 25 program, followed by Tukey for mean comparison, and regression analysis. Different letters express significant differences between landrace (a,b,c) or between control and stress in the same genotype (r,s). Regarding the PCoA, the distance matrix was calculated following [10].
3. Results
3.1. SPAD
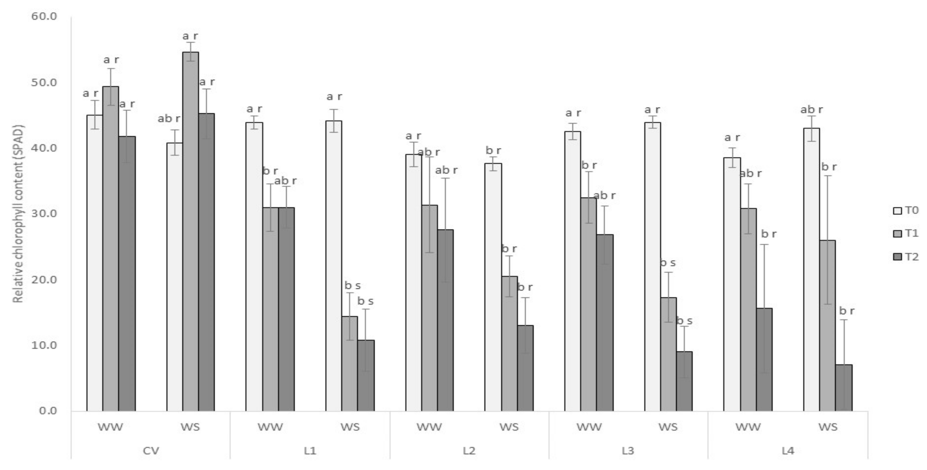
Before the onset of stress, SPAD measurements showed that plants presented comparable relative chlorophyll content, with values ranging from 38.6 to 45.1. As stress progressed, values decreased for all landraces between WW and WS by an average of 38% (T1) and 60% (T2) but not for the CV which values kept stable. A decrease in relative chlorophyll content with development was also observed for all landraces under control conditions (39%) but not for the CV which maintained its leaves green (Figure 1).
Figure 1.
Water deficit effect on the relative chlorophyll content of leaves of a commercial variety (CV) and four landraces (L1, L2, L3, L4) of cowpea under well-watered (WW) and water deficit (WS) conditions, at the beginning of treatment (T0) and 5 and 6 weeks into the treatment (T1 and T2, respectively). Values represent mean ± SE (n = 5 to 10). Different letters mean significant differences between varieties (a,b) and between treatments for each variety (r,s), (ANOVA, p < 0.05).
3.2. Gas Exchanges
In terms of gas exchange parameters, photosynthesis also confirmed an equivalent initial status of all plants with values between 9 and 13 μmol CO2 m−2 s−1, with no significant differences between landraces. Under water deficit, photosynthesis decreased markedly (about 54%) in all plants.
Under stress, all plants presented a gs below 54 mmol CO2 m−2 s−1, denoting strategic stomatal closure to avoid water loss. When analyzing photosynthesis dependence on gs, there were no differences between varieties either on WW and WS conditions (p < 0.05), and therefore, the presented linear regression is the best fit for all the data groups, however, there was a significant difference in the response of Pn to gs from WW to WS (p < 0.001) (Figure 2A).
Figure 2.
Effect of decreasing leaf stomatal conductance (gs) on photosynthesis (Pn) (A) and water deficit effect on instantaneous water use efficiency, iWUE (B) of a commercial variety (CV) and four landraces (L1, L2, L3, L4) of cowpea under well-watered (WW) and water deficit (WS) conditions. Values represent mean ± SE (n = 5). Different letters mean significant differences between varieties (a–c) and between treatments for each variety (r,s), (ANOVA, p < 0.05; ** Regression coefficient significant with p < 0.05).
This behavior caused iWUE to be significantly higher under stress for L1 and L3, whereas no differences were observed for CV, L2, and L4 (Figure 2B).
3.3. Yield
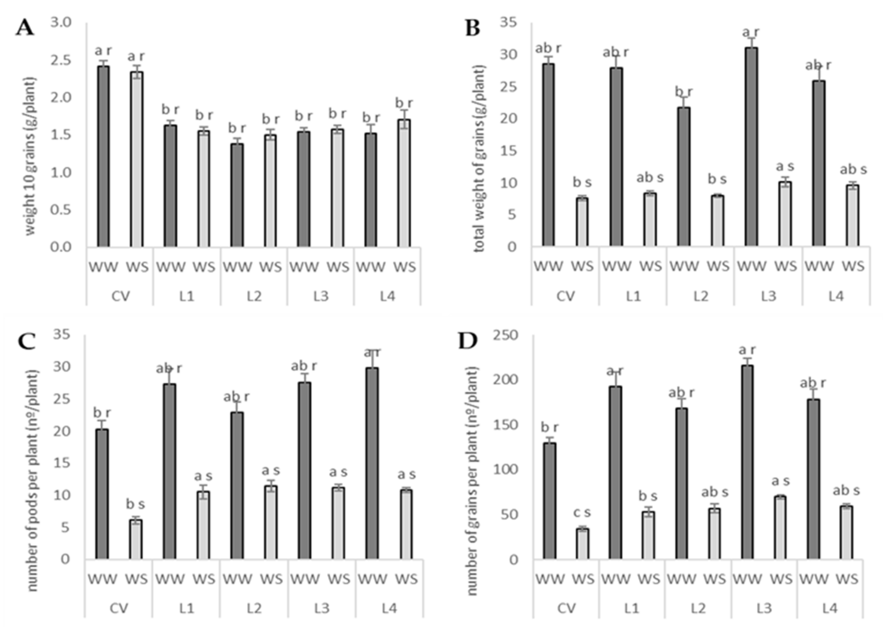
Water stress negatively affected all the evaluated production parameters, except for the weight of 10 grains per plant, where there were no significant differences between control and stress plants in all varieties under study (Figure 3A), with CV presenting the heavier grains, 2.38 g per 10 grains versus 1.55 g for the landraces. Considering the full production per plant, stress caused a decrease of about 63% to 73% in all varieties (Figure 3A). In terms of the number of pods (Figure 3C) and the number of grains per plant (Figure 3D), both were highly decreased by stress, with CV showing lower values both under water comfort and deficit. Nevertheless, these lower values in the CV were compensated by heavier grains (Figure 3A), resulting in identical total productivity (Figure 3B).
Figure 3.
Water deficit effect on the weight of 10 grains (A), weight of total grains per plant (B), number of pods per plant (C), and total number of grains per plant (D) of a commercial variety (CV) and four landraces (L1, L2, L3, L4) of cowpea under well-watered (WW) and water deficit (WS) conditions. Values represent mean ± SE (n = 5). Different letters mean significant differences between varieties (a–c) and between treatments for each variety (r,s), (ANOVA, p < 0.05).
3.4. Genetic Diversity Study
A preliminary genetic diversity study shows that the CV is, to some extent, genetically distant from the landraces and that even among the landraces, the distances are significant (Figure 4).
Figure 4.
Principal Coordinates Analysis (PCoA) for the commercial variety (CV) and four landraces (L1, L2, L3, L4) of cowpea.
4. Discussion
Terminal drought, occurring during flowering and pod filling, is the most detrimental to cowpea productivity [11,12]. Therefore, improved varieties that resist this late adversity are key to minimizing food shortages in dry areas, which usually correlate with poverty and hunger. However, this is not a straightforward task, as drought responses are an extremely intricate process.
Drought avoidance through stomatal closure is an early and major response to water deficit, reducing water loss through transpiration but also restricting internal CO2 concentration, which results in photosynthesis decline [13,14]. Drought persistence leads to oxidative stress, causing cell damage and senescence. Terminal drought is linked to senescence of fully expanded leaves [15], as observed for the four studied landraces (Figure 1). Plants that can avoid loss of chlorophyll are expected to be more efficient in light energy use [16], as observed for the CV (Figure 1), suggesting some degree of resistance to water deficit at this development stage. However, productivity parameters showed otherwise, with CV performing equally, or slightly worse than the landraces, except for increased grain size, which may appeal to consumers. Decreased productivity could also be due, among other reasons, to oxidative damage to photosynthetic apparatus [17] and reduced carbon fixation and assimilate translocation [18]. In fact, an extreme reduction was observed in the photosynthetic rate for all plants (Figure 2A). Moreover, the fact that the correlation between gs and Pn under WW and WS conditions was different (Figure 2A) suggests downstream effects of stress on the photosynthetic apparatus.
A strategy to improve productivity under water shortage is to select for improved iWUE [19]. In our case, two landraces (L1 and L3, Figure 2B) had significantly higher iWUE, not reflected in higher productivity (Figure 3). However, such variability regarding stomatal control and water relations may contribute to plant survival.
Although cowpea had been linked to a tight genetic diversity [20], it has also been associated with significant phenotypic variation among landraces, including, in the Mediterranean area [21] and particularly in Greece [22] and Portugal [23]. This preserved variation must be a consequence of natural and human on-farm selection for specific agro–climatic conditions. In our case, despite morphological differences, the chosen physiological parameters showed low phenotypic variation. On the other hand, a preliminary genetic diversity study showed some degree of genetic diversity (Figure 4). While with one CV and four landraces we cannot infer such broad concepts, the results seem to point to the fact that landraces are too valuable in terms of genotype and phenotype to be lost at a time where diversity is the bottleneck of much-needed crop improvement.
Author Contributions
Conceptualization, M.M.V., P.S.-C.; methodology, M.M.V., P.S.-C., F.S.; software, R.M., J.B.G., J.S.; investigation, R.M., C.N., J.S., I.P.; data curation, R.M., C.N.; writing—original draft preparation, R.M., C.N.; writing—review and editing, P.S.-C.; supervision, P.S.-C.; project administration, C.N., funding acquisition, M.M.V., P.S.-C., F.S. All authors have read and agreed to the published version of the manuscript.
Funding
This research was funded by Fundação para a Ciência e a Tecnologia (FCT) and FEDER through ALT20-03-0145-FEDER-029867.
Institutional Review Board Statement
Not applicable.
Informed Consent Statement
Not applicable.
Data Availability Statement
Data is contained within the article.
Conflicts of Interest
The authors declare no conflict of interest.
References
- Oritz, R. Cowpeas from Nigeria: A silent food revolution. Outlook Agric. 1998, 27, 125–128. [Google Scholar] [CrossRef]
- Tariku, S. Breeding Cowpea Vigna unguiculata L. Walp for Quality Traits. Ann. Rev. Resear. 2018, 3, 45–50. [Google Scholar]
- Horn, L.N.; Shimelis, H. Production constraints and breeding approaches for cowpea improvement for drought prone agro-ecologies in sub-Saharan Africa. Ann. Agric. Sci. 2020, 65, 83–91. [Google Scholar] [CrossRef]
- Tosti, N.; Negri, V. On-going on-farm microevolutionary processes in neighbouring cowpea landraces revealed by molecular markers. Theor. Appl. Genet. 2005, 110, 1275–1283. [Google Scholar] [CrossRef] [PubMed]
- Newton, A.C.; Akar, T.; Baresel, J.P.; Bebeli, P.J.; Bettencourt, E.; Bladenopoulos, K.V.; Patto, M.C. Cereal landraces: An essential resource for the future of contemporary agriculture, A review. Agron. Sustain. Dev. 2010, 30, 237–269. [Google Scholar] [CrossRef] [Green Version]
- Terzopoulos, P.J.; Bebeli, P.J. Phenotypic Diversity in Greek Tomato (Solanum lycopersicum L.) Landraces. Sci. Hortic. 2010, 126, 138–144. [Google Scholar] [CrossRef]
- Dumroese, R.K.; Montville, M.E.; Pinto, J.R. Using container weights to determine irrigation needs: A simple method. Nativ. Plants 2015, 16, 67–71. [Google Scholar] [CrossRef]
- Semedo, J.N.; Rodrigues, A.P.; Lidon, F.C.; Pais, I.P.; Marques, I.; Gouveia, D.; Armengaud, J.; Silva, M.J.; Martins, S.; Semedo, M.C.; et al. Intrinsic non-stomatal resilience to drought of the photosynthetic apparatus in Coffea spp. is strengthened by elevated air [CO2]. Tree Physiol. 2021, 41, 708–727. [Google Scholar] [CrossRef]
- Caemmerer, S.; Farquhar, G.D. Some relationships between the biochemistry of photosynthesis and the gas exchange of leaves. Planta 1981, 153, 376–387. [Google Scholar] [CrossRef]
- Peakall, R.; Smouse, P.E. GenAlEx 6.5: Genetic Analysis in Excel. Population Genetic Software for Teaching and Research—An Update. Bioinform 2012, 28, 2537–2539. [Google Scholar] [CrossRef] [Green Version]
- Delmer, D.P. Agriculture in the developing world: Connecting innovations in plant research to downstream applications. Proc. Natl. Acad. Sci. USA 2005, 102, 15739–15746. [Google Scholar] [CrossRef] [Green Version]
- Pushpavalli, R.; Zaman-Allah, M.; Turner, N.C.; Baddam, R.; Rao, M.V.; Vadez, V. Higher flower and seed number leads to higher yield under water stress conditions imposed during reproduction in chickpea. Funct. Plant Biol. 2014, 42, 162–174. [Google Scholar] [CrossRef]
- Campos, P.S.; Ramalho, J.; Silva, M.J.; Lauriano, J.A.; Matos, M.C. Effects of drought on photosynthetic performance and water relations of four Vigna genotypes. Photosynthetica 1999, 36, 79–87. [Google Scholar] [CrossRef]
- Scotti-Campos, P.; Pham-Thi, A.T.; Semedo, J.N.; Pais, I.P.; Ramalho, J.C.; Matos, M.C. Physiological responses and membrane integrity in three Vigna genotypes with contrasting drought tolerance. Emir. J. Food Agric. 2013, 25, 1002–1013. [Google Scholar] [CrossRef] [Green Version]
- Lopez, F.B.; Chauhan, Y.S.; Johansen, C. Effects of timing of drought stress on leaf area development and canopy light interception of short-duration pigeonpea. J. Agron. Crop Sci. 1997, 178, 1–7. [Google Scholar] [CrossRef] [Green Version]
- Fang, Y.; Xiong, L. General mechanisms of drought response and their application in drought resistance improvement in plants. Cell Mol. Life Sci. 2015, 72, 673–689. [Google Scholar] [CrossRef]
- Farooq, M.; Gogoi, N.; Barthakur, S.; Baroowa, B.; Bharadwaj, N.; Alghamdi, S.S. Drought stress in grain legumes during reproduction and grain filling. J. Agron. Crop Sci. 2016, 203, 81–102. [Google Scholar] [CrossRef]
- Mondal, M.M.A.; Fakir, S.A.; Juraimi, A.S.; Hakim, M.A.; Islam, M.M.; Shamsuddoha, A.T.M. Effects of flowering behavior and pod maturity synchrony on yield of mungbean [Vigna radiata (L.)Wilczek]. Aust. J. Crop Sci. 2011, 5, 945–953. [Google Scholar]
- Ulemale, C.S.; Mate, S.N.; Deshmukh, D.V. Physiological Indices for Drought Tolerance in Chickpea (Cicer arietinum L.). World J. Agric. Sci. 2013, 9, 123–131. [Google Scholar]
- Asare, A.T.; Gowda, B.S.; Galyuon, I.K.A.; Aboagye, L.M.; Takrama, J.F.; Timko, M.P. Assessment of the genetic diversity in cowpea (Vigna unguiculata) germplasm from Ghana using simple sequence repeat markers. Plant Genet. Resour. 2010, 8, 142–150. [Google Scholar] [CrossRef]
- Perrino, P.; Laghetti, G.; Spagnoleti Zeuli, P.L.; Monti, L.M. Diversification of cowpea in the Mediterranean and other centers of cultivation. Genet. Resour. Crop Evol. 1993, 40, 121–132. [Google Scholar] [CrossRef]
- Lazaridi, E.; Ntatsi, G.; Savvas, D.; Bebeli, P.J. Diversity in cowpea (Vigna unguiculata (L.) Walp.) local populations from Greece. Genet. Resour. Crop Evol. 2016, 64, 1529–1551. [Google Scholar] [CrossRef]
- Stoilova, T.; Pereira, G. Assessment of the genetic diversity in a germplasm collection of cowpea (Vigna unguiculata (L.) Walp.) using morphological traits. Afr. J. Biotechnol. 2013, 8, 208–215. [Google Scholar]
Publisher’s Note: MDPI stays neutral with regard to jurisdictional claims in published maps and institutional affiliations. |
© 2021 by the authors. Licensee MDPI, Basel, Switzerland. This article is an open access article distributed under the terms and conditions of the Creative Commons Attribution (CC BY) license (https://creativecommons.org/licenses/by/4.0/).



