Dynamic Analysis of a Chaotic Financial System with Reflexive Market Sentiment
Abstract
1. Introduction
2. Materials and Methods
2.1. Model Formulation
- Interest rate x. Responds to inflation pressure z and to whether investment y exceeds a savings threshold a; larger tends to raise x.
- Investment demand y. Increases with confidence w but is suppressed by tighter rates via the term .
- Price index z. Decreases when x is high and can rise with w through spending pressure.
- Market confidence w. Reflexive through ; large simultaneous activate the brake .
2.2. Model Assumptions
- Nonlinear suppression effect: Following the Xin–Zhang system, confidence growth is damped when interest, investment, and prices are simultaneously high; we retain the multiplicative brake [14].
2.3. Well-Posedness and Positivity Analysis
2.3.1. Well-Posedness
- Positive definite: for all .
- Radially unbounded: as .
2.3.2. Positivity
2.3.3. Diagnostics Used
- Lyapunov exponents. For the smooth autonomous system with flow , the Lyapunov spectrum quantifies mean exponential growth/decay rates of infinitesimal perturbations along an orbit (Oseledets theorem). The largest exponent is
- Kaplan–Yorke (Lyapunov) dimension. Let and choose j as the largest index with . The Kaplan–Yorke (Lyapunov) dimension [24] is
- Delay-embedding. Given a scalar observable , we reconstruct the state via delay vectors
3. Results
3.1. Chaotic Diagnostics at the Baseline Parameter Set
3.2. Lyapunov Exponent Spectrum Analysis
3.2.1. Lyapunov Dimension and Dynamical Transitions
3.2.2. Dissipativity and Entropy
3.2.3. Delay-Embedding


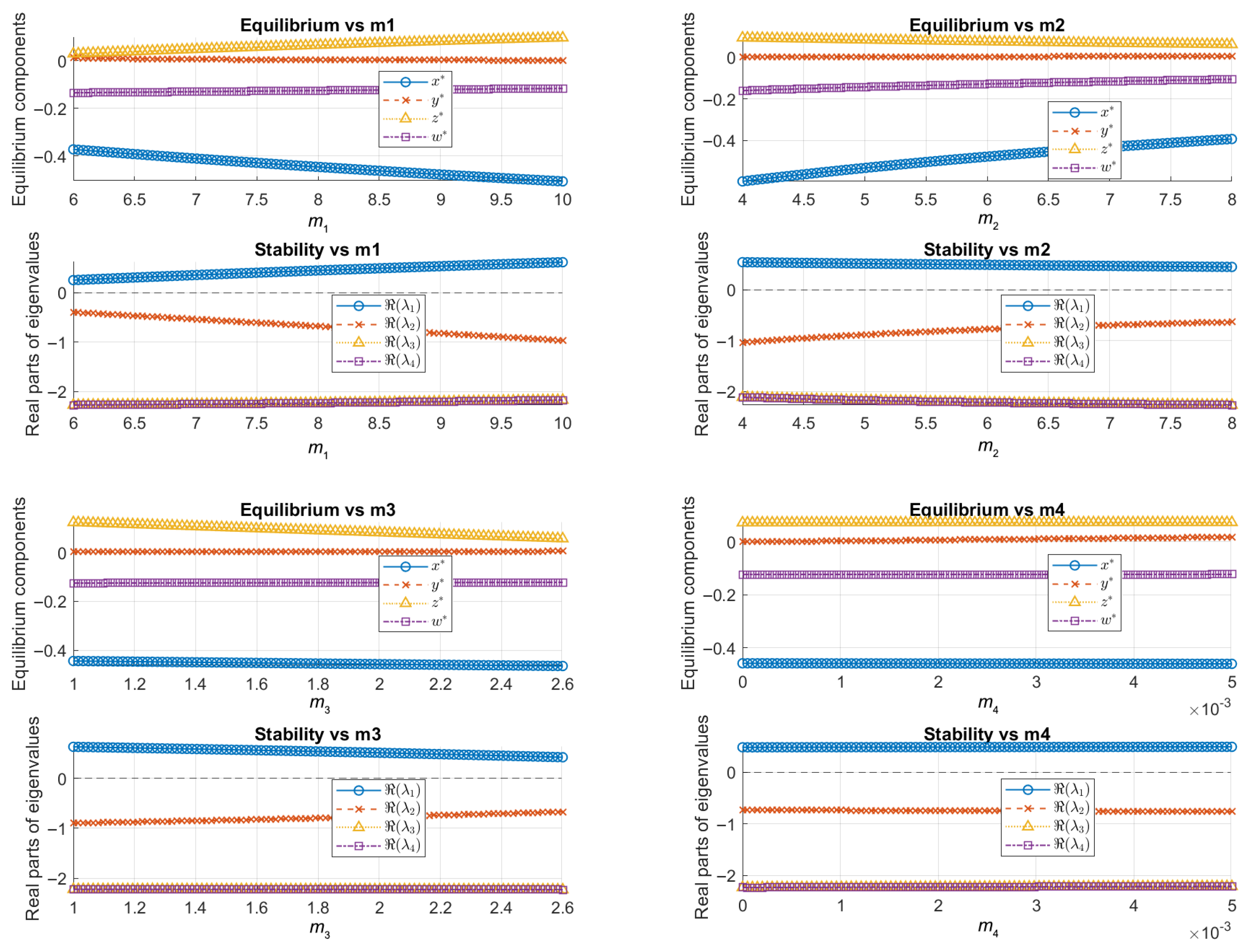
3.3. Equilibrium and Stability Analysis

3.4. State Trajectories, Bifurcation Diagrams, and Phase Portraits
3.4.1. State Trajectories
3.4.2. Phase Portraits
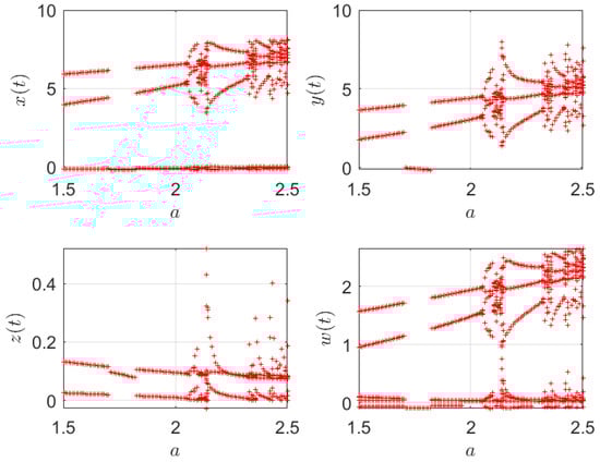
3.4.3. Bifurcation Analysis








3.5. Special Case Analysis of the Financial Model

3.6. Empirical Illustration of a Self-Reinforcing Sentiment Loop

4. Discussion
5. Conclusions
Author Contributions
Funding
Institutional Review Board Statement
Informed Consent Statement
Data Availability Statement
Conflicts of Interest
Appendix A. Feasible Parameter Ranges
| Parameter | Feasible Range |
|---|---|
| a | |
| b | |
| c |


References
- Grandmont, J.M. On Endogenous Competitive Business Cycles. Econometrica 1985, 53, 995–1045. [Google Scholar] [CrossRef]
- Brock, W.A.; Hommes, C.H. A Rational Route to Randomness. Econometrica 1997, 65, 1059–1095. [Google Scholar] [CrossRef]
- Hommes, C.H. Heterogeneous Agent Models in Economics and Finance. In Handbook of Computational Economics; Judd, K.L., Tesfatsion, L., Eds.; Elsevier: Amsterdam, The Netherlands, 2006; Volume 2, pp. 1109–1186. [Google Scholar]
- Zhang, W.B. Discrete Dynamical Systems, Bifurcations and Chaos in Economics; Elsevier: Amsterdam, The Netherlands, 2006; Volume 204. [Google Scholar]
- Foroni, I.; Gardini, L. Homoclinic bifurcations in heterogeneous market models. Chaos Solitons Fractals 2003, 15, 743–760. [Google Scholar] [CrossRef]
- Mihailescu, E. Inverse limits and statistical properties for chaotic implicitly defined economic models. J. Math. Anal. Appl. 2012, 394, 517–528. [Google Scholar] [CrossRef]
- Ma, J.H.; Chen, Y.S. Study for the Bifurcation Topological Structure and the Global Complicated Character of a Kind of Non-linear Finance System (I). Appl. Math. Mech. 2001, 22, 1119–1128. [Google Scholar]
- Ma, J.H.; Chen, Y.S. Study for the Bifurcation Topological Structure and the Global Complicated Character of a Kind of Non-linear Finance System (II). Appl. Math. Mech. 2001, 22, 1236–1242. [Google Scholar]
- Xin, B.; Zhang, Q. Finite-Time Stability Analysis and Control Synthesis for a Financial System with Market Confidence. Nonlinear Dyn. 2015, 80, 1721–1731. [Google Scholar]
- Soros, G. Fallibility, reflexivity, and the human uncertainty principle. J. Econ. Methodol. 2013, 20, 309–329. [Google Scholar] [CrossRef]
- Filimonov, V.; Sornette, D. Quantifying Reflexivity in Financial Markets: Toward a Prediction of Flash Crashes. Phys. Rev. E 2012, 85, 056108. [Google Scholar] [CrossRef] [PubMed]
- Greenwood, R.; Hanson, S.G.; Jin, L.J. Reflexivity in Credit Markets; NBER Working Paper 25747; National Bureau of Economic Research: Cambridge, MA, USA, 2019. [Google Scholar] [CrossRef]
- Wyart, M.; Bouchaud, J.P. Self-Referential Behaviour, Overreaction and Conventions in Financial Markets. J. Econ. Behav. Organ. 2003, 63, 1–24. [Google Scholar] [CrossRef]
- Xin, B.; Zhang, J. Finite-time stabilizing a fractional-order chaotic financial system with market confidence. Nonlinear Dyn. 2015, 79, 1399–1409. [Google Scholar] [CrossRef]
- Akerlof, G.A.; Shiller, R.J. Animal Spirits: How Human Psychology Drives the Economy, and Why It Matters for Global Capitalism; Princeton University Press: Princeton, NJ, USA, 2009. [Google Scholar]
- Barsky, R.B.; Sims, E.R. Information, Animal Spirits, and the Meaning of Consumer Confidence. Am. Econ. Rev. 2012, 102, 1343–1377. [Google Scholar] [CrossRef]
- Bloom, N. The Impact of Uncertainty Shocks. Econometrica 2009, 77, 623–685. [Google Scholar] [CrossRef]
- Gennaioli, N.; Ma, Y.; Shleifer, A. Expectations and Investment. J. Financ. Econ. 2016, 122, 195–214. [Google Scholar] [CrossRef]
- Shiller, R.J. Why Do People Dislike Inflation? In NBER Macroeconomics Annual 1997; Bernanke, B.S., Rotemberg, J.J., Eds.; MIT Press: Cambridge, MA, USA, 1997; pp. 159–218. [Google Scholar]
- Mankiw, N.G.; Reis, R. Sticky Information versus Sticky Prices: A Proposal to Replace the New Keynesian Phillips Curve. Q. J. Econ. 2002, 117, 1295–1328. [Google Scholar] [CrossRef]
- Minsky, H.P. Stabilizing an Unstable Economy; McGraw–Hill: Columbus, OH, USA, 1986. [Google Scholar]
- Ott, E. Chaos in Dynamical Systems, 2nd ed.; Cambridge University Press: Cambridge, UK, 2002. [Google Scholar] [CrossRef]
- Kantz, H.; Schreiber, T. Nonlinear Time Series Analysis, 2nd ed.; Cambridge Nonlinear Science Series; Cambridge University Press: Cambridge, UK, 2004; Volume 7. [Google Scholar]
- Kaplan, J.L.; Yorke, J.A. Chaotic Behavior of Multidimensional Difference Equations. In Functional Differential Equations and Approximation of Fixed Points; Lecture Notes in Mathematics; Peitgen, H.O., Walter, H.O., Eds.; Springer: Berlin/Heidelberg, Gemrany, 1979; Volume 730, pp. 204–227. [Google Scholar] [CrossRef]
- Takens, F. Detecting strange attractors in turbulence. In Dynamical Systems and Turbulence, Warwick 1980; LectureNotes inMathematics; Rand, D., Young, L.S., Eds.; Springer: Berlin, Heidelberg, 1981; Volume 898, pp. 366–381. [Google Scholar] [CrossRef]
- Wolf, A.; Swift, J.B.; Swinney, H.L.; Vastano, J.A. Determining Lyapunov exponents from a time series. Phys. D Nonlinear Phenom. 1985, 16, 285–317. [Google Scholar] [CrossRef]
- Benettin, G.; Galgani, L.; Giorgilli, A.; Strelcyn, J.M. Lyapunov Characteristic Exponents for Smooth Dynamical Systems and for Hamiltonian Systems; A Method for Computing All of Them. Part 1: Theory. Meccanica 1980, 15, 9–20. [Google Scholar] [CrossRef]
- Benettin, G.; Galgani, L.; Giorgilli, A.; Strelcyn, J.M. Lyapunov Characteristic Exponents for Smooth Dynamical Systems and for Hamiltonian Systems; A Method for Computing All of Them. Part 2: Numerical Application. Meccanica 1980, 15, 21–30. [Google Scholar] [CrossRef]













| Parameter | Likely Range | Real-World Interpretation |
|---|---|---|
| a | 0.5 to 2.5 | Baseline savings threshold; higher a reflects more conservative economies |
| b | 0.01 to 1 | Cost per unit of investment; higher b implies more friction (e.g., taxes or capital costs) |
| c | 0.5 to 3 | Price index adjustment rate; high c indicates sticky prices or delayed inflation response |
| to 10 | Influence of market confidence on interest rate; positive links optimism to rising rates | |
| 0.1 to 10 | Effect of confidence on investment demand; higher drives investment booms | |
| to 10 | Impact of confidence on price index; positive may drive inflation | |
| to 3 | Reflexivity coefficient; positive leads to self-reinforcing optimism or panic |
Disclaimer/Publisher’s Note: The statements, opinions and data contained in all publications are solely those of the individual author(s) and contributor(s) and not of MDPI and/or the editor(s). MDPI and/or the editor(s) disclaim responsibility for any injury to people or property resulting from any ideas, methods, instructions or products referred to in the content. |
© 2025 by the authors. Licensee MDPI, Basel, Switzerland. This article is an open access article distributed under the terms and conditions of the Creative Commons Attribution (CC BY) license (https://creativecommons.org/licenses/by/4.0/).
Share and Cite
Dharmasiri, C.; Perera, U. Dynamic Analysis of a Chaotic Financial System with Reflexive Market Sentiment. Dynamics 2025, 5, 47. https://doi.org/10.3390/dynamics5040047
Dharmasiri C, Perera U. Dynamic Analysis of a Chaotic Financial System with Reflexive Market Sentiment. Dynamics. 2025; 5(4):47. https://doi.org/10.3390/dynamics5040047
Chicago/Turabian StyleDharmasiri, Chamalka, and Upeksha Perera. 2025. "Dynamic Analysis of a Chaotic Financial System with Reflexive Market Sentiment" Dynamics 5, no. 4: 47. https://doi.org/10.3390/dynamics5040047
APA StyleDharmasiri, C., & Perera, U. (2025). Dynamic Analysis of a Chaotic Financial System with Reflexive Market Sentiment. Dynamics, 5(4), 47. https://doi.org/10.3390/dynamics5040047

