Next Article in Journal
Advanced Ramsey Dimensional Analysis
Next Article in Special Issue
CMOS LIF Spiking Neuron Designed with a Memristor Emulator Based on Optimized Operational Transconductance Amplifiers
Previous Article in Journal
Well-Posedness of Problems for the Heat Equation with a Fractional-Loaded Term and Memory
Previous Article in Special Issue
PLC Implementation and Dynamics of a V/Heart-Shape Chaotic System
 
 
Font Type:
Arial Georgia Verdana
Font Size:
Aa Aa Aa
Line Spacing:
Column Width:
Background:
Article

Application of the Krylov–Bogolyubov–Mitropolsky Method to Study the Effect of Compressive (Tensile) Force on Transverse Oscillations of a Moving Nonlinear Elastic Beam

1
Institute of Mechanical Engineering and Transport, Lviv Polytechnic National University, 12 Bandera Str., 79013 Lviv, Ukraine
2
Institute of Applied Mathematics and Fundamental Sciences, Lviv Polytechnic National University, 12 Bandera Str., 79013 Lviv, Ukraine
*
Author to whom correspondence should be addressed.
Dynamics 2025, 5(4), 45; https://doi.org/10.3390/dynamics5040045
Submission received: 23 September 2025 / Revised: 13 October 2025 / Accepted: 23 October 2025 / Published: 1 November 2025
(This article belongs to the Special Issue Theory and Applications in Nonlinear Oscillators: 2nd Edition)

Abstract

The problem of nonlinear elastic transverse oscillations of a beam moving along its axis and subjected to an axial compressive or tensile force is considered. A theoretical study is carried out using the asymptotic method of nonlinear mechanics KBM (Krylov–Bogolyubov–Mitropolsky). Using this methods, differential equations were obtained in a standard form, determining the law of variation in amplitude and frequency as functions of kinematic, force, and physico-mechanical parameters in both resonant and non-resonant regimes. The fourth-order Runge–Kutta method was applied for the oscillatory system numerical analysis. The computation of complex mathematical expressions and graphical representation of the results were implemented in the mathematical software Maple 15. The results obtained can be applied for engineering calculations of structures containing moving beams subjected to compressive or tensile forces.

1. Introduction

The beam is one of the most common components of mechanical systems and structures, and understanding the oscillatory processes that accompany its operation is of considerable practical interest. Various issues of theoretical substantiation of the problem solutions’ correctness in mathematical models of beam vibrations are discussed in many aspects of the general nonlinear boundary value problems theory (see [1] and the bibliography mentioned there). The study of transverse vibrations of a beam that moves along its axis and is subjected to axial loading has broad applications in mechanical engineering, construction, and aerospace industries [2,3,4,5,6].
Typical examples of these systems include telescopic sections of crane booms, which extend along their axis and experience compressive forces. A similar case can be found in the telescopic rods of satellites, antennas, or solar panels, which extend under tensile or compressive loads depending on the deployment principle. In mechanical engineering, examples include piston rods of hydraulic and pneumatic cylinders, lead screws, or tie rods, which extend while simultaneously functioning as beams capable of vibrating [7,8].
All these structures can be modeled mathematically as beams or strings moving along their axes and subjected to axial loads—either tensile or compressive. Their mathematical modeling has profound scientific and practical significance and motivates scientists and engineers to conduct research and seek solutions. Problems of this type arise in the design of structural elements, where it is often necessary to determine the natural frequencies and vibration modes of beam-like components under prestress or preloading conditions. In most cases, exact solutions cannot be obtained for different regimes. Therefore, one must resort to approximate methods such as Galerkin’s method, the Rayleigh–Ritz method, or the finite element method [3,9].
The problem becomes more complicated if the nonlinear elastic characteristics of oscillatory systems with distributed parameters are taken into account. In such cases, asymptotic methods of two-parameter families of particular solutions may be applied, as they correspond to single-frequency regimes of nonstationary oscillations. For linearly elastic systems, the classical Fourier method can be employed, reducing the initial problem to the study of differential equations or systems of ordinary differential equations, which have been extensively analyzed [10].
The literature contains a variety of studies on the vibrations of discrete systems under axial compressive loading [11]. For instance, in one study, the influence of a constant axial compressive load on the natural frequencies and vibration modes of a homogeneous beam with ten different combinations of boundary conditions was presented.
The dynamic behavior of beams under vibrations induced by friction has been studied by many researchers using various models. In [12], transverse vibrations of a rod were analyzed using Bernoulli–Euler beam theory under boundary conditions accounting for friction. It was demonstrated that after a certain number of half-vibrations, a sudden change in vibration mode occurs, transitioning from sliding-end behavior to fixed-end behavior. Criteria were proposed for evaluating the conditions when partial suppression of oscillations occurs, along with their influence on amplitude–frequency characteristics. Earlier, Liu and Ertekin [13] examined the vibrations of a free beam under tensile axial loads. Transverse vibrations of Timoshenko beams under axial loading with different boundary conditions were studied in [14], where changes in natural frequencies due to tensile forces were derived. The work of Valle et al. [15] focused on the natural frequencies of beams with various boundary conditions such as functions of axial load, temperature, or residual stresses. In [16], the Ritz method was applied to study the influence of axial stresses on the natural frequencies of a curved cylinder. Although nonlinear deformation and experimental validation were considered, discrepancies were observed between the measured and calculated values of the lowest frequency.
In [17], a method for analyzing nonlinear spatial vibrations of reinforced concrete frames was proposed, based on the boundary element method that significantly reduces computational effort. Article [18] was devoted to constructing asymptotically correct simplified models of nonlinear beam equations under different boundary conditions. It was noted that in certain cases (e.g., when a compressive load approaches the buckling limit), it becomes necessary to account for so-called nonlinear inertia.
A method for the qualitative analysis of dynamic processes inherent in a vibrating aero-resonant prismatic slender structure is presented in [19]. However, the authors considered spring models as linear, and the damping term had a generalized Van der Pol character.
In [7], differential equations for transverse vibrations of a moving beam under axial tension and compression were derived based on Timoshenko beam theory and Hamilton’s principle. That study analyzed the dynamic characteristics of thin beams under axial loading with various boundary conditions. Dimensionless natural frequencies, calculated numerically using the differential quadrature method (DQM), were compared with analytical solutions for several special cases.
Unlike the previous study [20], where only the influence of longitudinal velocity on the transverse oscillations of such a system was considered, our research focuses primarily on determining the influence of compressive or tensile forces on a beam that represents a moving nonlinear elastic medium. The analysis of the problem and the review of previous works presented above demonstrate the relevance of this research and the lack of sufficiently comprehensive theoretical analysis in prior studies. In particular, it is necessary to consider beams moving along their axis with hinged boundary supports. The main objective of this study is to obtain analytical expressions describing amplitude–frequency characteristics (AFCs) in resonant cases and in non-resonant ones as well. Thus, the established analytical dependencies will enable the prediction of resonance zones and the avoidance of the most dangerous operating conditions for technological equipment through the synthesis and optimization of the relevant parameters. Moreover, the results obtained in this research can also be applied to reduce noise in machinery.
The structure of this article is as follows. Section 2 presents the mathematical model of the problem and the application of nonlinear mechanic methods for its study. Section 3 discusses the use of the theoretical results in practically important cases of oscillatory systems. The conclusion summarizes the findings, highlighting their practical significance, and outlines possible generalizations and limitations of the method.

2. Materials and Methods

For linear oscillatory systems with a finite or infinite number of degrees of freedom, it is well known that the principle of superposition can be applied [10]. According to this principle, any oscillatory motion of the system can be represented as the superposition of principal (or normal) vibrations in specific modes, each associated with a distinct frequency. Alongside the superposition principle, the principle of single-frequency oscillations of individual modes also holds. Indeed, in the presence of external periodic forces of a given frequency and dissipative forces, the system quickly establishes steady-state forced vibrations with a single frequency—whether in the resonant or non-resonant case. Even at resonance, the amplitude remains finite, despite small external disturbances. Thus, all points of the system perform single-frequency oscillations in a certain configuration or dynamic equilibrium state. For our nonlinear oscillatory system, the principle of superposition cannot be applied, since it is valid only for linear systems.
Nonetheless, the presence of dissipative and nonlinear forces, together with external excitations, cause higher harmonics to decay rapidly, and the system evolves into a motion with a frequency close to that of the external disturbance or the fundamental harmonic. Energy dissipation predominantly suppresses high-frequency components, which require more energy to maintain, while nonlinear interactions between modes contribute to its redistribution to lower frequencies. These properties of nonlinear systems with both lumped masses and distributed parameters considerably simplify the methods of their analysis.
This allows us to apply the principle of single-frequency oscillations in nonlinear systems with multiple degrees of freedom and distributed parameters [20,21]. The research exploits the asymptotic method for constructing solutions to certain classes of partial differential equations. Developing this method in relation to new classes of differential equations, we will examine the influence on the process dynamics: the speed of longitudinal movement of the beam; external periodic perturbations; and nonlinear elastic characteristics of the beam material. When studying single- and multi-frequency regimes of transverse oscillations of a beam, practical problems frequently arise in the case of hinged boundary supports. In the linear-elastic setting, the Fourier method can be applied, reducing the original problem to ordinary differential equations or systems. In this research, however, we consider a more complex situation where
(a)
A beam moves with constant velocity along its un-deformed axis;
(b)
The beam material satisfies to the linear law of elasticity;
(c)
A beam is subjected to external periodic disturbances;
(d)
A beam is influenced by a compressive (or tensile) axial force.
To describe transverse oscillations, let us adopt the straight line х axis as coordinate one and measure displacements of beam elements during transverse oscillations relative to it. Let us assume that: (1) the displacements of points of the beam axis are perpendicular to the un-deformed axis (Ох), neglecting longitudinal displacements; (2) transverse displacements occur in a single plane (the “plane of oscillations”). Under these assumptions, transverse displacements of points of the beam axis can be uniquely described by a function of two variables coordinate х and time t , namely y = y x , t .
The differential equation of this beam’s transverse oscillations [22] does not change in its mathematical form when a compressive (or tensile) force applied at the beam ends and is additionally taken into account. In that case, the governing equation becomes:
2 y t 2 + k 2 4 y x 4 + 2 V 2 y x t + V 2 ± q 2 2 y x 2 = ε   F y , θ , y t , y x , 2 y x 2 , , 4 y x 4 ,
where k 2 = E I m , and m(x) are the beam mass per unit length (kg/m); E is Young’s modulus (Н/м2); and I is an inertia moment of the beam cross-section (m4). It is assumed that the axis of the cross-section is perpendicular to the plane of oscillation; q 2 = N m , and N is tensile (compressive) force value; and ε is a coefficient that is considered to be a positive value and takes into account nonlinearity. The phase of the harmonic force acting on the system (beam) is denoted by the symbol θ, and d θ d t = ν ( t ) is the instantaneous frequency of the disturbing force. It should be noted that this is a positive function. So F y , θ , y t , y x , 2 y x 2 , 3 y x 3 , 4 y x 4 is a certain analytical function that is periodic to the phase of oscillations of a harmonic disturbing force with period of 2 π . This function is infinitely differentiable with respect to all of its arguments. The sign “+” corresponds to compressive force, while the sign “−“ corresponds to tensile force. Assuming hinged boundary supports, the boundary conditions take the next form:
y x , t | x = 0 x = l         = ε   g j θ , y ,         2 y x 2 x , t | x = 0 x = l         = ε   s j θ , y t ,   at   x = j   j = 0 , l .
where g j θ , u , and s j θ , u t are nonlinear functions relative to u , u t and quite smooth with respect to arguments. Thus, the initial problem of transverse oscillations of a moving beam is reduced to finding and analyzing solutions of the boundary value problems (1) and (2).
According to the asymptotic method of nonlinear mechanics [22], the solution of (1) in the first approximation can be found in the form of
y x , t = a X x T ψ + ε   y 1 a , x , ψ , θ ,
where a is amplitude parameter, m; T ψ = cos ω   t + φ ,   ω   t + φ is the phase of the natural oscillations; ψ is the beam’s transverse oscillations phase; d ψ d t = ω is the positive function (frequency of natural oscillations of the beam); ω is natural frequency of the unperturbed system, namely ω 2 = E I π 4 m l 4 ; y 1 a , x , ψ , θ is periodic by ψ and θ function with period 2 π , that satisfied certain conditions (these will be listed below); and function X x will determine the oscillations’ form. In the case where the beam has hinged ends, under appropriate boundary conditions, X x will be in the form of:
X x = sin π x l .
Based on (2), the asymptotic representation (4), and the conditions imposed on the functions, y t , x , y 1 a , x , θ , ψ , must be satisfied with boundary conditions:
y 1 a , x , θ , ψ | x = 0 x = l         = 0 ,           y 1 x x a , x , θ , ψ | x = 0 x = l         = 0 .
Let us consider two cases: resonant ω ν (for the case of main resonance) and non-resonant ω ν , since it was agreed that periodic disturbances affect the system under study.

2.1. Non-Resonant Case

As mentioned earlier, unlike the linear case, in the nonlinear setting, the parameters a and ψ in (3) are no longer constants but vary under the influence of nonlinear periodic forces and the motion of the medium. Their laws of variation, as in [20,22], are given by the following differential equations:
d a d t = ε   A 1 a +
d ψ d t = ω + ε   B 1 a + ,
where A 1 a and B 1 a are found to satisfy Equation (3), while substituting their derivatives instead of a t and ψ t (6). Since the asymptotic method of KBM is used, the unknown terms A 1 a and B 1 a must satisfy (5) and the initial problem (1) with the specified degree of accuracy.
Therefore, constructing an approximate solution to the equation consists of finding functions A 1 a , B 1 a , and y 1 a , x , ψ . To find these terms, by differentiating dependence (3), taking into account (5), we obtain the following equation for the first approximation [20]:
y t = ε   A 1 a X k x cos ψ a X k x sin ψ ω + ε   B 1 a + + y 1 ψ ω + ε   B 1 a ,
2 y t 2 =   a   ω 2 X k x cos ψ 2 ε   a   A 1 a X k x sin ψ 2   a   B 1 a   ω   X k x cos ψ + + 2 y ψ 2 ω 2 ,
y x = a X k x cos ψ + ε y 1 x ,
2 y x 2 = a X k x cos ψ + ε 2 y 1 x 2 ,
3 y x 3 = a X k x cos ψ + ε 3 y 1 x 3 ,
4 y x 4 = a X k x cos ψ + ε 4 y 1 x 4 .
These relationships allow us to formulate a linear differential equation relating the unknown functions y 1 a , x , ψ , A 1 a , and B 1 a as:
2 y 1 ψ 2 ω 2   +   k 2 4 y 1 x 4 = 2   a ω   A 1 a sin k π l x sin ψ   +
+ 2 ω   a B 1 a sin k π l x   cos ψ   + k π l 2 V 2 a sin k π l x cos ψ + 2 k π l   V a   ω cos k π l x sin ψ +
+ k π l 2 q 2   a sin k π l x cos ψ + F ¯ a , x , ψ , θ ,
where F a , x , ψ , θ is in the form F ¯ a , x , ψ , θ = F y , y x , y t , x ,
y = a sin π x l cos ψ , y x = a π l cos π x l cos ψ ,   y t = a ω sin π x l sin ψ
To clearly determine the unknown functions A 1 a and B 1 a , let them impose on y 1 a , x , ψ , as in [22], an additional condition, namely the condition that there are no proportional terms to sin k π l sin ψ and sin k π l x cos ψ . This allows us to obtain expressions for the function that defines the law in amplitude and phase change in the form:
d a d t = 1 b 1 2 ω π 2 n = N N 0 l 0 2 π F n a , x , ψ sin π l x sin ψ   d x d ψ ,
d ψ d t = ω 1 b 1 2 ω π 2 a n = N N 0 l 0 2 π F n a , x , ψ sin π l x cos ψ   d x d ψ ,
b = 0 l sin 2 π l x d x = l 2 .
In the first approximation, for the non-resonant case, the system’s dynamic processes are described by Equations (11) and (12), where the amplitude а and ψ are determined as functions of time under the action of axial force, external excitation, and beam motion.

2.2. Resonant Case

For the case of main resonance, the solution can be found in the form (3), as well as for non-resonance. However, unlike the non-resonant case, in resonance the amplitude–frequency characteristics of the process depend significantly on the phase difference between natural and forced oscillations φ , φ = ψ θ . Therefore, the law of amplitude and phase difference change is given by the differential equation:
d a d t = ε   A 1 a , φ + ε 2 A 2 a , φ + , d φ d t = ω ν + ε   B 1 a , φ + ε 2 B 2 a , φ +
Thus, it is necessary to determine the first approximation of the functions A 1 a , φ and B 1 a , φ . To perform this operation, we differentiate (3) taking into account the above and obtain:
u t = ε   A 1 a , φ X k x cos ψ a X k x sin ψ   ω ν + ε   B 1 a , φ + u θ ν
2 u t 2 = ε ν A a , φ φ X k x cos ψ   ε   A 1 a , φ X k x sin ψ ω ν + ε B 1 a , φ
a cos ψ X k x ω + ε   B 1 a , φ 2 a ε X k x sin ψ B 1 a , φ φ ω ν + + 2 u ψ 2 ω 2 + 2 u θ 2 ν 2 + 2 2 u θ   ψ ν ω .
The derivatives y x , 2 y x 2 , 3 y x 3 , 4 y x 4 are found in the same way as in the non-resonant case. The following boundary-value problem for y 1 x , a , ψ , θ is written after equating coefficients at ε :
2 y 1 ψ 2 ω 2 + 2 y 1 ψ   θ ν   ω + ν 2 2 y 1 θ 2 + k 2 4 y 1 x 4 = a V 2 ± q 2 k π l 2 sin k π l cos ψ
2 V k π l cos k π l cos ψ + F x , a , ψ , θ + ε sin k π l x cos ψ A a , φ φ ω ν +
+ 2 a ω   B a , φ + sin ψ a B a , φ φ ω ν + 2 A α , φ ω .
The boundary conditions in this representation are satisfied automatically. Substituting Equation (16) into (1), we obtain:
(a)
In the case when k = 1 -
2 y 11 ψ 2 ω 2 + 2 y 11 ψ   θ ν   ω + ν 2 2 y 11 θ 2 + α 2 π l 4 y 11 = a V 2 ± a q 2 π 2 2 l cos ψ +
+   1 b 0 l F a , x , θ   , ψ X 1 x d x +
+ cos ψ A a , φ φ ω ν + 2 a ω   B + sin ψ a B a , φ φ ω ν + 2 A ω ;
(b)
In the case when k 1 -
2 y 1 k ψ 2 ω 2 + 2 y 1 k ψ   θ ν   ω + ν 2 2 y 1 k θ 2 + α 2 k π l 4 y 1 k = a V 2 ± q 2 k π 2 2 l cos ψ +
+   1 b 0 l F a , x , θ   , ψ X k x d x .
The right-hand side of Equation (18) will be expanded into a double Fourier series [23,24], since the complex exponential form of a multiple Fourier series is quite convenient for calculations. The form is equivalent to the usual form of expansion in sine and cosine, so the convergence conditions will be identical:
F 0 j a , ψ , θ = f m n a   e i n θ + m φ + θ ,
where
f m n a = 1 4 π 2 0 2 π 0 2 π F j 0 a , φ + θ , θ   e i n θ + m φ + θ r θ   d   φ + θ   d θ .
By imposing conditions on y 1 k a , ψ , θ analogous to those used in the non-resonant case, one can obtain the following:
ω ν A a , φ φ 2 a ω   B a , φ =
= 1 b 1 4 π 2 s e i s φ 0 l 0 2 π 0 2 π F a , x , ψ , θ sin k π l x e i s φ cos ψ   d x d ψ   d θ ,
a B a , φ φ ω ν 2 A a , φ ω   + V 2 ± q 2 π 2 l 2 =
= 1 b 1 4 π 2 s e i s φ 0 l 0 2 π 0 2 π F a , x , ψ , θ sin k π l x e i s φ cos ψ   d x d ψ   d θ .
Thus, in the resonant case, the amplitude–phase characteristics of an oscillatory system will depend on the speed of movement, the amplitude of oscillation, and the magnitude of the harmonic force acting on the beam.

3. Results and Discussion

Let us analyze the transverse oscillations of a moving beam as its material satisfies the nonlinear elasticity law [25] and is affected by harmonic disturbance. The transverse oscillations of such a system can be written as a differential equation of motion:
2 y t 2   + k 2 4 y x 4 = 2 y x 2 V 2 ± 2 y x 2 q 2   2 2 y x t V ε   2 y x 2 2 y x 2 4 y x 4 + 2 3 y x 3 2 + ε   H sin ν   t
where the magnitude H is expressed as the maximum value of the disturbing force per unit mass of the beam. If we assume that the boundary conditions for Equation (21) correspond to hinged ends, then a single-frequency oscillatory process in a mode close to the frequency of external disturbances can be described by the following relationship.
y x , t = a sin π l x cos ν   t + φ .
The parameters a and φ for the specified case are determined by the system of differential equations:
-
For the resonant case
d a d t = 2 H π ω + ν t cos φ ,
d φ d t = ω ν ε 9 ω 128 π 2 a 2 l 2 + π l 2 V 2 ± q 2 8 ω + 2 ε H π   ω + ν t   a sin φ ;
-
For the non-resonant case
d a d t = 0 ,
d ψ d t = ω ε 9 ω 128 π 2 a 2 l 2 + π l 2 V 2 ± q 2 8 ω
The amplitude–frequency characteristics (AFCs) were analyzed numerically for the following parameter values: l = 3 m, S = 0.073 m2, ρ = 7900 kg/m3, Е = 2.06· 10 11 (N/m2), and а = 0.02 m. Using the specified input data, the natural frequency of the beam can be readily calculated with the value of approximately 118 Hz. Figure 1 and Figure 2 show the dependence of the natural frequency of the system in a non-resonant case on the speed of the system and the axial compressive or tensile force: Figure 1 corresponds for the case of tensile force; Figure 2 corresponds for the case of compressive force. For a non-resonant case, the system is conservative (a = const), so the oscillations’ amplitude is equal to the initial value. Figure 1 and Figure 2 show how speed affects the frequency change in the system. As the beam’s longitudinal speed increases, the transverse oscillations’ frequency decreases. Moreover, the oscillations fail if the tensile force is equal to 0 at a speed of V = 5 m/s, compressive force causes a decrease in frequency, while tensile force causes an increase. Furthermore, as can be seen from formulas (23) and (24), in a mathematical sense, that the tensile force compensates for the effect of velocity and when V 2 = q 2 , force generally neutralizes the influence of longitudinal movement on the medium. Conversely, compressive force leads to a double effect π l V 2 ± q 2 8 ω = π l 2 V 2 8 ω , namely, to a decrease in the frequency of oscillation.
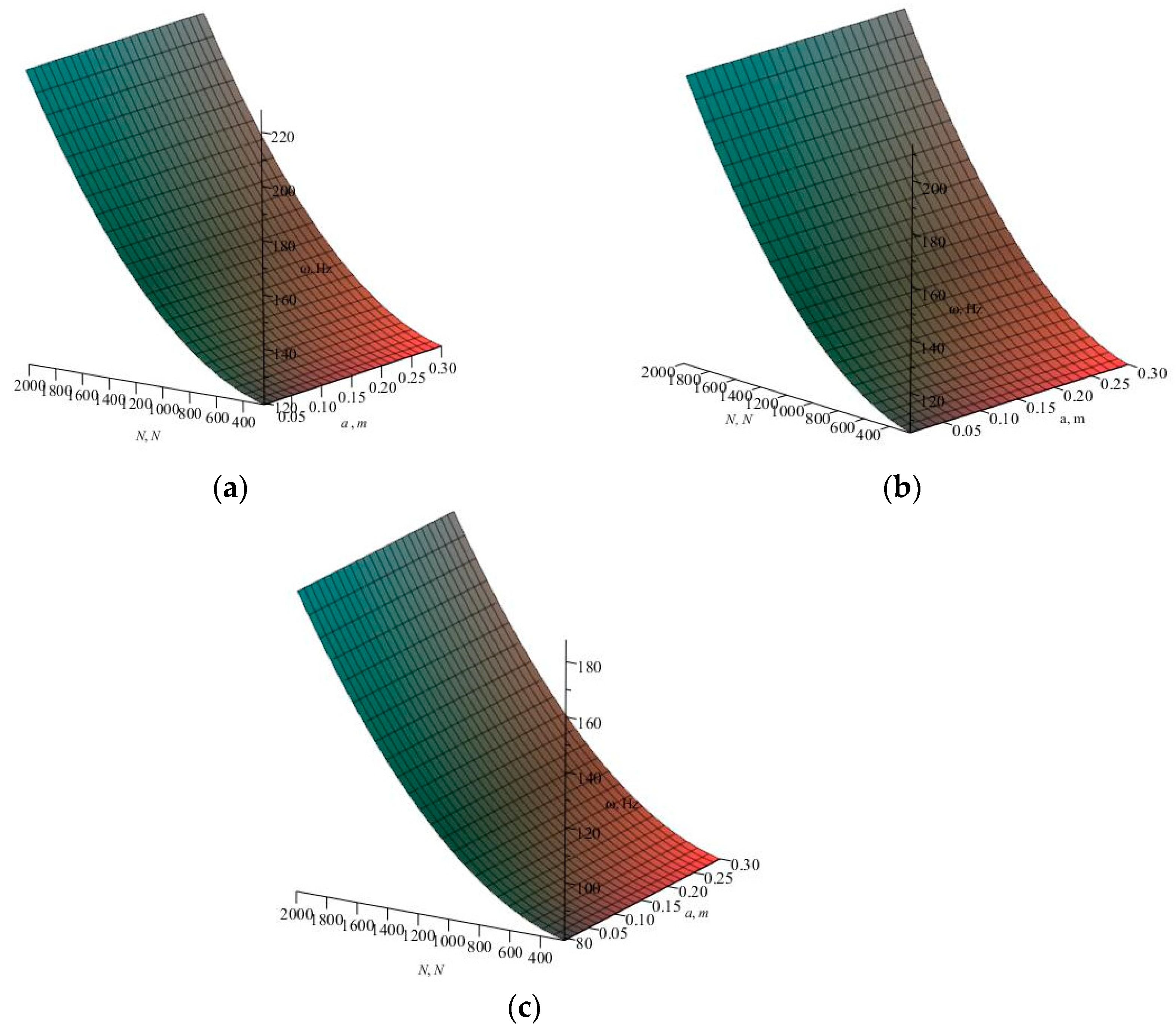
Figure 2 shows that compressive force affects the frequency of transverse vibrations similarly to longitudinal velocity. When the beam is stationary, a compressive force alone can substantially reduce the vibration frequency (since the mathematical content of the compressive force is the same, a failure in the oscillations occurs at a force equal to 2420 N). Compressive force reduces the oscillation frequency, similar to the effect of longitudinal beam motion. Figure 3 and Figure 4 show that amplitude has little effect on the frequency of transverse vibrations, both under tensile (Figure 3) and compressive (Figure 4) forces. In both cases, however, longitudinal velocity reduces the vibration frequency. From the derived mathematical models (24) for the non-resonant case, one can establish the dependence of frequency variation on geometric parameters (length, height, and thickness), physical properties (elastic modulus and material density), kinematic parameters (longitudinal velocity), and force parameters of the system.
If dissipative forces acting on the oscillatory system are neglected, then for the resonant case the mathematical model, (23) allows us to construct the graphical dependencies shown in Figure 5, Figure 6 and Figure 7. The results demonstrate that increasing longitudinal velocity leads to a growth in amplitude. A similar effect is observed when the magnitude of the external excitation acting on the system increases.

4. Conclusions

The effect of speed on the frequency variation in the system has already been explored in a previous study (i.e., we did not consider the effect of tensile or compressive forces). As the compressive force increases, the frequency of transverse vibrations decreases, while tensile force has the opposite effect. Furthermore, Formulas (23) and (24) show that in a mathematical sense, the tensile force compensates for the effect of velocity, and when V 2 = q 2 , force generally neutralizes the influence of longitudinal movement of the medium. Conversely, compressive force leads to a double effect π l V 2 ± q 2 8 ω = π l 2 V 2 8 ω , namely, to a decrease in the frequency of oscillation.
In addition to their theoretical significance, the results obtained have practical applications. For instance, they can be used to describe the nonlinear transverse vibrations of a telescopic crane boom section that extends along its axis and is subjected to external forces. This case can be directly related to our model and the developed methodology. At the theoretical level, when designing such structures, it becomes possible to establish combinations of optimal parameters for given operating conditions of technological systems. By appropriately selecting geometric dimensions or physical properties of the material, one can ensure safe operation of the mechanism as a whole. With certain assumptions, the derived mathematical models can also be applied to pipeline sections where fluid or gas flows at a given velocity. The methodology can further be extended to transverse vibrations of strings or threads moving along their axis under tensile forces.
The final mathematical models (23) and (24) are convenient for engineering design calculations and are more comprehensive compared to earlier results [20], since they also account for additional forces. These dependencies allow for a comprehensive study of not only the influence of the moving medium parameters, but also the compressive or tensile forces on the nature of the oscillations’ amplitude and frequency change, considering the non-resonant case and the resonant one. These dependencies obtained using the asymptotic methods of KBM allow for the prediction of dynamic phenomena with sufficient engineering accuracy for the corresponding structures.

Author Contributions

A.S. and P.P., conceptualization; A.S. and M.V., methodology; A.S., software; M.V. and A.S., validation; P.P. and M.V., investigation; M.V. and A.S., writing—original draft preparation; A.S. and P.P., writing—review and editing; P.P. and M.V., funding acquisition. All authors have read and agreed to the published version of the manuscript.

Funding

This research received no external funding.

Data Availability Statement

Data are contained within the article.

Conflicts of Interest

The authors declare no conflicts of interest.

References

  1. Pukach, P.Y. On the unboundedness of a solution of the mixed problem for a nonlinear evolution equation at a finite time. Nonlinear. Oscill. 2012, 14, 369–378. [Google Scholar] [CrossRef]
  2. Hedrih, K.S.; Hedrih, A. Mathematical modelling of nonlinear oscillations of a biodynamical system in the form of a complex cantilever. Appl. Math. Model. 2022, 112, 110–135. [Google Scholar] [CrossRef]
  3. Craig, R.R., Jr.; Kurdila, A.J. Fundamentals of Structural Dynamics; John Wiley & Sons: Hoboken, NJ, USA, 2006. [Google Scholar]
  4. Tan, T.H.; Lee, H.P.; Leng, G.S.B. Parametric instability of spinning pretwisted beams subjected to sinusoidal compressive axial loads. Comput. Struct. 1998, 66, 745–764. [Google Scholar] [CrossRef]
  5. Yoon, H.; Na, S.; Librescu, L. Vibration and stability of a composite thin-walled spinning tapered shaft. In Proceedings of the 46th AIAA/ASME/ASCE/AHS/ASC Structures, Structural Dynamics and Materials Conference, Austin, TX, USA, 18–21 April 2005; pp. 1871–1880. [Google Scholar] [CrossRef]
  6. Wang, C.; Su, L.; Liu, H.; Bouazza, A.; Kong, G.; Ding, X. Analysis of energy piles under cyclic axial loads and impact of loading amplitudes. Can. Geotech. J. 2025, 62, 1–21. [Google Scholar] [CrossRef]
  7. Mei, Y.; Xia, Y.; Lin, L.; Cheng, Y.; Qian, C. Influence Factors of Vibration Response on Supporting-Thrusting System of Tunnel Boring Machine. Math. Probl. Eng. 2020, 1, 4650153. [Google Scholar] [CrossRef]
  8. Ogundele, A.D.; Agboola, O.A.; Sinha, S.C. Mathematical modeling and simulation of nonlinear spacecraft rendezvous and formation flying problems via averaging method. Commun. Nonlinear Sci. Numer. Simul. 2021, 95, 105668. [Google Scholar] [CrossRef]
  9. Ganguli, R. Finite Element Analysis of Rotating Beams: Physics Based Interpolation; Springer: Singapore, 2018. [Google Scholar]
  10. Jia, J. Vibration of multi-degrees-of-freedom systems. In Essentials of Applied Dynamic Analysis; Springer: Berlin/Heidelberg, Germany, 2014; pp. 203–231. [Google Scholar]
  11. Bokaian, A. Natural frequencies of beams under compressive axial loads. J. Sound Vib. 1988, 126, 49–65. [Google Scholar] [CrossRef]
  12. Nieves, F.J.; Bayón, A.; Salazar, F.; Gascón, F. Transverse vibration of an axially compressed bar with dry friction at its ends. Forces Mech. 2025, 20, 100320. [Google Scholar] [CrossRef]
  13. Liu, X.Q.; Ertekin, R.C.; Riggs, H.R. Vibration of a free-free beam under tensile axial loads. J. Sound Vib. 1996, 190, 273–282. [Google Scholar] [CrossRef]
  14. Karunendiran, S.; Cleghorn, W.L.; Zu, J.W. Transverse vibration of a uniform circular thick beam with non-classical boundary conditions. J. Sound Vib. 1999, 220, 186–191. [Google Scholar] [CrossRef]
  15. Valle, J.; Fernández, D.; Madrenas, J. Closed-form equation for natural frequencies of beams under full range of axial loads modeled with a spring-mass system. Int. J. Mech. Sci. 2019, 153, 380–390. [Google Scholar] [CrossRef]
  16. Bayón, A.; Gascón, F.; Medina, R.; Nieves, F.J.; Salazar, F.J. On the flexural vibration of cylinders under axial loads: Numerical and experimental study. J. Sound Vib. 2012, 331, 2315–2333. [Google Scholar] [CrossRef]
  17. Wang, D.; Wang, H.; Shi, L.; Li, Z. Nonlinear dynamic analysis of a reinforced concrete frame by the boundary element method. Mater. Sci. Forum 2019, 968, 383–395. [Google Scholar] [CrossRef]
  18. Andrianov, I.I.; Awrejcewicz, J.; van Horssen, W.T. On the Bolotin’s reduced beam model versus various boundary conditions. Mech. Res. Commun. 2020, 105, 103505. [Google Scholar] [CrossRef]
  19. Náprstek, J.; Fischer, C. Super and sub-harmonic synchronization in generalized van der Pol oscilator. Comput. Struct. 2019, 224, 265–279. [Google Scholar] [CrossRef]
  20. Slipchuk, A.; Pukach, P.; Vovk, M. Advancing asymptotic approaches to studying the longitudinal and torsional oscillations of a moving beam. East.-Eur. J. Enterp. Technol. 2022, 117, 31–39. [Google Scholar] [CrossRef]
  21. Andrukhiv, A.; Sokil, B.; Sokil, M. Asymptotic method in investigation of complex nonlinear oscillations of elastic bodies. Ukr. J. Mech. Eng. Mater. Sci. 2018, 4, 58–67. [Google Scholar] [CrossRef]
  22. Slipchuk, A.; Pukach, P.; Vovk, M.; Slyusarchuk, O. Study of the dynamic process in a nonlinear mathematical model of the transverse oscillations of a moving beam under perturbed boundary conditions. Math. Model. Comput. 2024, 11, 37–49. [Google Scholar] [CrossRef]
  23. Mitropolsky, Y.A.; Van Dao, N. Applied Asymptotic Methods in Nonlinear Oscillations; Springer Science & Business Media: Dordrecht, The Netherlands, 2013. [Google Scholar]
  24. Davis, H.F. Fourier Series and Orthogonal Functions; Dover Publications: New York, NY, USA, 2012. [Google Scholar]
  25. Wagg, D.; Neild, S. Nonlinear Vibration with Control; Springer International Publishing: Cham, Switzerland, 2015. [Google Scholar]
Figure 1. Dependence of the oscillations’ eigen-frequency on motion speed and tensile force.
Figure 1. Dependence of the oscillations’ eigen-frequency on motion speed and tensile force.
Dynamics 05 00045 g001
Figure 2. Dependence of the oscillations’ eigen-frequency on the motion speed and compressive force.
Figure 2. Dependence of the oscillations’ eigen-frequency on the motion speed and compressive force.
Dynamics 05 00045 g002
Figure 3. Dependence of the oscillations eigen-frequency on amplitude and tensile force ((а) at speed 0 m/s; (b) at speed 3 m/s; and (c) at speed 5 m/s).
Figure 3. Dependence of the oscillations eigen-frequency on amplitude and tensile force ((а) at speed 0 m/s; (b) at speed 3 m/s; and (c) at speed 5 m/s).
Dynamics 05 00045 g003
Figure 4. Dependence of the oscillations’ eigen-frequency on amplitude and compressive force ((а) at speed 0 m/s; (b) at speed 3 m/s; and (c) at speed 5 m/s).
Figure 4. Dependence of the oscillations’ eigen-frequency on amplitude and compressive force ((а) at speed 0 m/s; (b) at speed 3 m/s; and (c) at speed 5 m/s).
Dynamics 05 00045 g004
Figure 5. Graph of resonant amplitude curves in the transient process with the different longitudinal beam speeds (V = 0 m/s corresponds to the red line, V = 10 m/s corresponds to the blue line, and V = 15 m/s corresponds to the black line), if an external disturbing force Н = 10 N/kg.
Figure 5. Graph of resonant amplitude curves in the transient process with the different longitudinal beam speeds (V = 0 m/s corresponds to the red line, V = 10 m/s corresponds to the blue line, and V = 15 m/s corresponds to the black line), if an external disturbing force Н = 10 N/kg.
Dynamics 05 00045 g005
Figure 6. Graph of resonant amplitude curves in the transient process with different longitudinal beam speeds (V = 0 m/s corresponds to the red line, V = 10 m/s corresponds to the blue line, and V = 15 m/s corresponds to the black line), if an external disturbing force Н = 50 N/kg.
Figure 6. Graph of resonant amplitude curves in the transient process with different longitudinal beam speeds (V = 0 m/s corresponds to the red line, V = 10 m/s corresponds to the blue line, and V = 15 m/s corresponds to the black line), if an external disturbing force Н = 50 N/kg.
Dynamics 05 00045 g006
Figure 7. Graph of resonance amplitude curves in the transient process at different longitudinal beam speeds (V = 0 m/s corresponds to the red line, V = 10 m/s corresponds to the blue line, and V = 15m/s corresponds to the black line), if an external disturbing force Н = 100 N/kg.
Figure 7. Graph of resonance amplitude curves in the transient process at different longitudinal beam speeds (V = 0 m/s corresponds to the red line, V = 10 m/s corresponds to the blue line, and V = 15m/s corresponds to the black line), if an external disturbing force Н = 100 N/kg.
Dynamics 05 00045 g007
Disclaimer/Publisher’s Note: The statements, opinions and data contained in all publications are solely those of the individual author(s) and contributor(s) and not of MDPI and/or the editor(s). MDPI and/or the editor(s) disclaim responsibility for any injury to people or property resulting from any ideas, methods, instructions or products referred to in the content.

Share and Cite

MDPI and ACS Style

Slipchuk, A.; Pukach, P.; Vovk, M. Application of the Krylov–Bogolyubov–Mitropolsky Method to Study the Effect of Compressive (Tensile) Force on Transverse Oscillations of a Moving Nonlinear Elastic Beam. Dynamics 2025, 5, 45. https://doi.org/10.3390/dynamics5040045

AMA Style

Slipchuk A, Pukach P, Vovk M. Application of the Krylov–Bogolyubov–Mitropolsky Method to Study the Effect of Compressive (Tensile) Force on Transverse Oscillations of a Moving Nonlinear Elastic Beam. Dynamics. 2025; 5(4):45. https://doi.org/10.3390/dynamics5040045

Chicago/Turabian Style

Slipchuk, Andrii, Petro Pukach, and Myroslava Vovk. 2025. "Application of the Krylov–Bogolyubov–Mitropolsky Method to Study the Effect of Compressive (Tensile) Force on Transverse Oscillations of a Moving Nonlinear Elastic Beam" Dynamics 5, no. 4: 45. https://doi.org/10.3390/dynamics5040045

APA Style

Slipchuk, A., Pukach, P., & Vovk, M. (2025). Application of the Krylov–Bogolyubov–Mitropolsky Method to Study the Effect of Compressive (Tensile) Force on Transverse Oscillations of a Moving Nonlinear Elastic Beam. Dynamics, 5(4), 45. https://doi.org/10.3390/dynamics5040045

Article Metrics

Back to TopTop