Parameter Control and Spatiotemporal Dynamics Analysis of the Chay Neuron Model Under Chemical Synapses
Abstract
1. Introduction
2. Materials and Methods
2.1. Modeling of Chemical Synapses
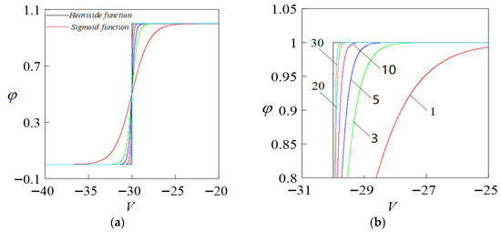
2.1.1. Modeling by Heaviside Function
2.1.2. Introducing Sigmoid Function Smooth Modeling
2.1.3. Fitting
2.2. Modeling of Chemical Coupling of Chay Neurons
2.3. Chemical Synapse Parameter Matching
2.3.1. Determination of
2.3.2. Determination of
2.3.3. Determination of
3. Stability Analysis and Bifurcation Analysis of Chemically Coupled Systems
3.1. Stability Analysis of Chemically Coupled Systems
3.2. Effect of Chemical Synaptic Parameters on Baseline Parameters
4. Analysis of Spatiotemporal Dynamics in Chemically Interconnected Neural Networks
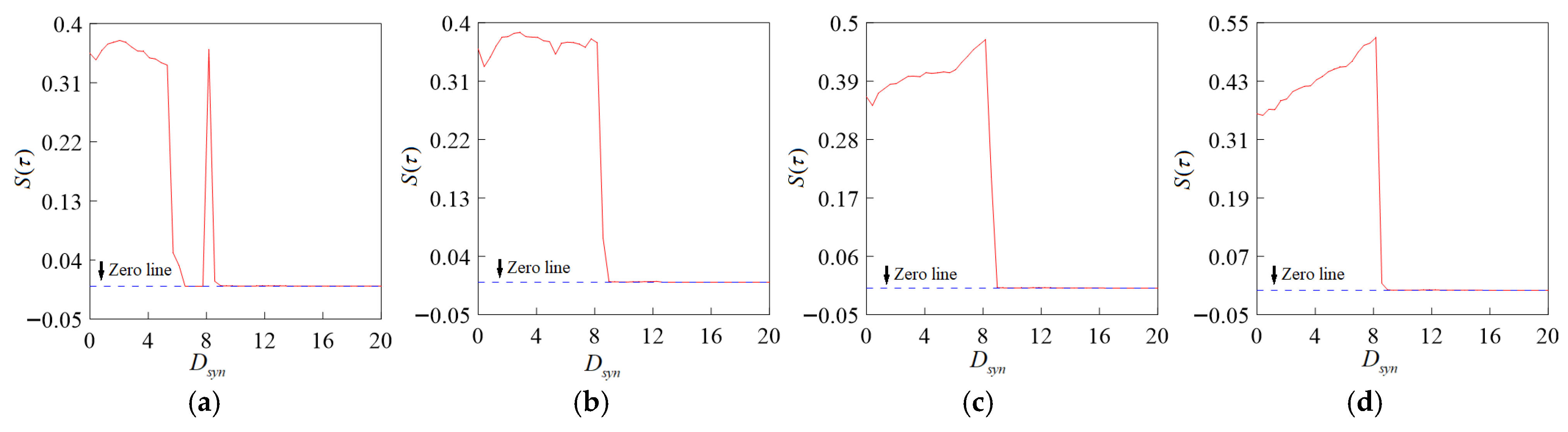
4.1. Synchronous Dynamic Analysis of a Two-Neuron System
4.2. Spatiotemporal Dynamics Analysis of Neural Ring Networks
5. Conclusions
Author Contributions
Funding
Data Availability Statement
Conflicts of Interest
References
- Rogawski, M.A.; Löscher, W. The neurobiology of antiepileptic drugs. Nat. Rev. Neurosci. 2004, 5, 553–564. [Google Scholar] [CrossRef]
- Millan, M.J. The neurobiology and control of anxious states. Prog. Neurobiol. 2003, 70, 83–244. [Google Scholar] [CrossRef]
- Depue, R.A.; Collins, P.F. Neurobiology of the structure of personality: Dopamine, facilitation of incentive motivation, and extraversion. Behav. Brain Sci. 1999, 22, 491–517, discussion 518–569. [Google Scholar] [CrossRef]
- Hodgkin, A.L.; Huxley, A.F. A quantitative description of membrane current and its application to conduction and excitation in nerve. J. Physiol. 1952, 2, 11–117. [Google Scholar] [CrossRef]
- Gong, Y.; Lin, X.; Wang, L.; Hao, Y. Chemical synaptic coupling-induced delay-dependent synchronization transitions in scale-free neuronal networks. Sci. China Chem. 2011, 54, 1498–1503. [Google Scholar] [CrossRef]
- Ye, Z.; Wu, Y.; Ding, Q.; Xie, Y.; Jia, Y. Finding synchronization state of higher-order motif networks by dynamic learning. Phys. Rev. Res. 2024, 6, 033071. [Google Scholar] [CrossRef]
- Wu, Y.; Huang, W.; Ding, Q.; Jia, Y.; Yang, L.; Fu, Z. Enhancing orderly signal propagation between layers of neuronal networks through spike timing-dependent plasticity. Phys. Lett. A 2024, 519, 129721. [Google Scholar] [CrossRef]
- Kundu, S.G.D. Chemical synaptic multiplexing enhances rhythmicity in neuronal networks. Nonlinear Dyn. 2019, 98, 1659–1668. [Google Scholar] [CrossRef]
- Trenholm, S.; Mclaughlin, A.J.; Schwab, D.J.; Turner, M.H.; Smith, R.G.; Rieke, F.; Awatramani, G.B. Nonlinear dendritic integration of electrical and chemical synaptic inputs drives fine-scale correlations. Nat. Neurosci. 2014, 17, 1759–1766. [Google Scholar] [CrossRef] [PubMed]
- Wu, K.; Wang, D.; Yu, C.; Machado, J.T. Synchronization of Chemical Synaptic Coupling of the Chay Neuron System under Time Delay. Appl. Sci. 2018, 8, 927. [Google Scholar] [CrossRef]
- Wu, Y.; Ding, Q.; Huang, W.; Li, T.; Yu, D.; Jia, Y. Dynamic learning of synchronization in coupled nonlinear systems. Nonlinear Dyn. 2024, 112, 21945–21967. [Google Scholar] [CrossRef]
- Li, W.; Li, L.; Song, J. A Basic Chemical Synaptic Euler Model and Its Triad Trigger Topology. Chin. J. Electron. 2017, 26, 244–249. [Google Scholar] [CrossRef]
- Strathern, L. Getting Graded: Teaching Principles of Chemical Synaptic Transmission Without Action Potentials. J. Undergrad. Neurosci. Educ. 2021, 19, R28–R30. [Google Scholar]
- Fitzhugh, R. Computation of Impulse Initiation and Saltatory Conduction in a Myelinated Nerve Fiber. Biophys. J. 1962, 2, 11–21. [Google Scholar] [CrossRef] [PubMed]
- Chay, T.R.; Fan, Y.S.; Lee, Y.S. Bursting, Spiking, Chaos, Fractals, and Universality in Biological Rhythms. Int. J. Bifurc. Chaos 1995, 5, 595–635. [Google Scholar] [CrossRef]
- Wang, H.; Lu, Q.; Wang, Q. Bursting and synchronization transition in the coupled modified ML neurons. Commun. Nonlinear Sci. Numer. Simul. 2008, 13, 1668–1675. [Google Scholar] [CrossRef]
- Hindmarsh, J.L.; Rose, R.M. A Model of Neuronal Bursting Using Three Coupled First Order Differential Equations. Proc. R. Soc. 1984, 221, 87–102. [Google Scholar]
- Ge, M.; Jia, Y.; Xu, Y.; Lu, L.; Wang, H.; Zhao, Y. Wave propagation and synchronization induced by chemical autapse in chain Hindmarsh–Rose neural network. Appl. Math. Comput. 2019, 352, 136–145. [Google Scholar] [CrossRef]
- Mishra, A.; Saha, S.; Ghosh, D.; Osipov, G.V.; Dana, S.K. Traveling Chimera Pattern in a Neuronal Network under Local Gap Junctional and Nonlocal Chemical Synaptic Interactions. Opera Medica Physiol. 2017, 3, 14–18. [Google Scholar]
- Popović, N. A geometric analysis of front propagation in a family of degenerate reaction-diffusion equations with cutoff. Z. Für Angew. Math. Und Phys. 2011, 62, 405–437. [Google Scholar] [CrossRef]
- Wang, H.-X.; Lu, Q.-S.; Shi, X. Phase synchronization and its transition in two coupled bursting neurons: Theoretical and numerical analysis. Chin. Phys. B 2010, 19, 060509. [Google Scholar]
- Gong, Y.; Huang, J. Bogdanov-Takens bifurcation in a Leslie-Gower predator-prey model with prey harvesting. Acta Math. Appl. Sin. Engl. Ser. 2014, 30, 239–244. [Google Scholar] [CrossRef]
- Chen, X.; Wang, N.; Wang, Y.; Wu, H.; Xu, Q. Memristor initial-offset boosting and its bifurcation mechanism in a memristive FitzHugh-Nagumo neuron model with hidden dynamics. Chaos Solitons Fractals 2023, 174, 113836. [Google Scholar] [CrossRef]
- Lambruschini, P.L.C. Neuronal oscillatory patterns in coupled lasers with optical feedback. Chaos Solitons Fractals 2024, 181, 114602. [Google Scholar] [CrossRef]
- Wu, J. Spectral structures and soliton dynamical behaviors of two shifted nonlocal NLS equations via a novel Riemann–Hilbert approach: A reverse-time NLS equation and a reverse-spacetime NLS equation. Chaos Solitons Fractals 2024, 181, 114640. [Google Scholar] [CrossRef]
- Rybalova, E.V.; Strelkova, G.I.; Anishchenko, V.S. Impact of sparse inter-layer coupling on the dynamics of a heterogeneous multilayer network of chaotic maps. Chaos Solitons Fractals 2020, 142, 110477. [Google Scholar] [CrossRef]
- Roper, S.D. Chemical and electrical synaptic interactions among taste bud cells. Curr. Opin. Physiol. 2021, 20, 118–125. [Google Scholar] [CrossRef]
- Man, Z.; Gao, C.; Dai, Y.; Meng, X. Dynamic rotation medical image encryption scheme based on improved Lorenz chaos. Nonlinear Dyn. 2024, 112, 13571–13597. [Google Scholar] [CrossRef]
- Panwar, A.; Biban, G.; Chugh, R.; Tassaddiq, A.; Alharbi, R. An efficient image encryption model based on 6D hyperchaotic system and symmetric matrix for color and gray images. Heliyon 2024, 10, e31618. [Google Scholar] [CrossRef]
- Lu, L.L.; Yi, M.; Liu, X.Q. Energy-efficient firing modes of chay neuron model in different bursting kinetics. Sci. China Technol. Sci. 2022, 65, 1661–1674. [Google Scholar] [CrossRef]
- Xu, Q.; Liu, T.; Feng, C.-T.; Bao, H.; Wu, H.-G.; Bao, B.-C. Continuous non-autonomous memristive Rulkov model with extreme multistability. Chin. Phys. B Engl. Version 2021, 30, 121–130. [Google Scholar] [CrossRef]
- Ma, M.; Xiong, K.; Li, Z.; He, S. Dynamical behavior of memristor-coupled heterogeneous discrete neural networks with synaptic crosstalk. Chin. Phys. B 2024, 33, 028706. [Google Scholar] [CrossRef]
- Wang, M.; Ding, J.; Li, J.; He, S.; Zhang, X.; Iu, H.H.C.; Li, Z. Anovel multistable chaotic system with 2m-scroll attractor its application. Eur. Phys. J. Plus 2024, 139, 64. [Google Scholar] [CrossRef]
- Chen, C.; Min, F.; Cai, J.; Bao, H. Memristor synapse-driven simplified Hopfield Neural Network: Hidden dynamics, attractor control, and circuit implementation. IEEE Trans. Circuits Syst. I Regul. Pap. 2024, 71, 2308–2319. [Google Scholar] [CrossRef]
- Yang, F.; Ma, J.; Wu, F. Review on memristor application in neural circuit and network. Chaos Solitons Fractals 2024, 187, 115361. [Google Scholar] [CrossRef]
- Bao, B.; Chen, L.; Bao, H.; Chen, M.; Xu, Q. Bifurcations to bursting oscillations in memristor-based FitzHugh-Nagumo circuit. Chaos Solitons Fractals 2024, 181, 114608. [Google Scholar] [CrossRef]
- Mendes, E.; Sivapuram, R.; Rodriguez, R.; Sampaio, M.; Picelli, R. Topology optimization for stability problems of submerged structures using the TOBS method. Comput. Struct. 2022, 259, 106685. [Google Scholar] [CrossRef]
- Yu, X.; Abu Bakar, A.; Li, K.; Wang, Q.; Sang, H. Dynamical analysis of a novel memristor-type chaotic map. Phys. Scr. 2024, 99, 075218. [Google Scholar] [CrossRef]
- Pournaki, A.; Merfort, L.; Ruiz, J.; Kouvaris, N.E.; Hövel, P.; Hizanidis, J. Synchronization Patterns in Modular Neuronal Networks: A Case Study of C. elegans. Front. Appl. Math. Stat. 2019, 5, 52. [Google Scholar] [CrossRef]
- Zhang, X.; Rong, J.; Chen, C.; TanG, Z.; He, X. Structural topological optimization with multiple displacement constraints based on Heaviside density and sensitivity filtering. J. Chang. Univ. Sci. Technol. 2012, 9, 57–62. [Google Scholar]
- Simo, G.R.; Louodop, P.; Ghosh, D.; Njougouo, T.; Tchitnga, R.; Cerdeira, H.A. Traveling chimera patterns in a two-dimensional neuronal network. Phys. Lett. A 2021, 409, 127519. [Google Scholar] [CrossRef]
- Das, S.; Das, P.; Das, P. Dynamics and control of multidrug-resistant bacterial infection in hospital with multiple delays. Commun. Nonlinear Sci. Numer. Simul. 2020, 89, 105279. [Google Scholar] [CrossRef]
- Das, P.; Upadhyay, R.K.; Das, P.; Ghosh, D. Exploring dynamical complexity in a time-delayed tumor-immune model. Chaos 2020, 30, 123118. [Google Scholar] [CrossRef]
- Rosenblum, M.G.; Pikovsky, A.S.; Kurths, J. Phase Synchronization of Chaotic Oscillators. Phys. Rev. Lett. 1996, 76, 1804. [Google Scholar] [CrossRef]
- Izhikevich, E.M. Neural Excitability, Spiking and Bursting. Int. J. Bifurc. Chaos Appl. Sci. Eng. 2000, 10, 1171–1266. [Google Scholar] [CrossRef]
- Kuznetsov, Y.A. Elements of Applied Bifurcation Theory; Springer: New York, NY, USA, 2004. [Google Scholar]
- Li, C.; Wang, X.; Du, J.; Li, Z. Electrical activity and synchronization of HR-tabu neuron network coupled by Chua Corsage Memristor. Nonlinear Dyn. 2023, 111, 21333–21350. [Google Scholar] [CrossRef]
- Dhooge, A.; Govaerts, W.; Kuznetsov, Y.A.; Sautois, B. Matcont: A Matlab package for dynamical systems with applications to neural activity. Program Documentation, 2006.
- Mohadeseh, S.S.; Fahimeh, N.; Sajad, J.; Rajagopal, K. Investigating different synaptic connections of the Chay neuron model. Phys. A Stat. Mech. Its Appl. 2022, 607, 128242. [Google Scholar]
- Izhikevich, E.M. Dynamical Systems in Neuroscience: The Geometry of Excitability and Bursting; MIT Press: Cambridge, MA, USA, 2007. [Google Scholar]
- Huang, J.; Liu, S.; Ruan, S.; Zhang, X. Bogdanov-Takens bifurcation of codimension 3 in a predator-prey model with constant-yield predator harvesting. Commun. Pure Appl. Anal. 2016, 15, 1041–1055. [Google Scholar]
- Yuan, C.; Wang, J. Hopf bifurcation analysis and control of three-dimensional Prescott neuron model. J. Vibroeng. 2016, 18, 4105–4115. [Google Scholar] [CrossRef]
- Devaney, A.J. Mathematical Foundations of Neuroscience; Springer: New York, NY, USA, 2010. [Google Scholar]
- Lixiang, W.; Dong, L. Stochastic Morris–Lecar model with time delay under magnetic field excitation. Chaos Solitons Fractals 2023, 173, 113715. [Google Scholar]
- Duan, L.; Lu, Q. Codimension-two bifurcation analysis on firing activities in Chay neuron model. Chaos Solitons Fractals 2005, 30, 1172–1179. [Google Scholar] [CrossRef]
- Kevin, N.T.F.; Adamou, D.K.; Ekobena, F.H.P. Modes of electrical activities and energy of Hindmarsh–Rose model coupled by memristive synapses. Eur. Phys. J. Plus 2023, 138, 267. [Google Scholar] [CrossRef]
- Wang, S.; Wei, Z. Synchronization of coupled memristive Hindmarsh-Rose maps under different coupling conditions. AEU-Int. J. Electron. Commun. 2023, 161, 154561. [Google Scholar] [CrossRef]
- Nazerian, A.; Hart, J.D.; Lodi, M.; Sorrentino, F. The efficiency of synchronization dynamics and the role of network syncreactivity. Nat. Commun. 2024, 15, 9003. [Google Scholar] [CrossRef] [PubMed]
- Ramasamy, M.; Rajagopal, K.; Ramakrishnan, B.; Karthikeyan, A. Effect of external excitation on synchronization behavior in a network of neuron models. Phys. A Stat. Mech. Its Appl. 2023, 625, 129032. [Google Scholar] [CrossRef]
- Braga, P.A.S.; Aguirre, L.A. Selecting the coupling variable to synchronize nonlinear oscillators. Nonlinear Dyn. 2024, 112, 15177–15191. [Google Scholar] [CrossRef]
- Chen, W.; Wang, S.; Lan, Y.; Liu, W.; Xiao, J. Explosive synchronization caused by optimizing synchrony of coupled phase oscillators on complex networks. Eur. Phys. J. B 2021, 94, 205. [Google Scholar] [CrossRef]
- Ansarinasab, S.; Parastesh, F.; Ghassemi, F.; Rajagopal, K.; Jafari, S.; Kurths, J. Optimized multi-variable coupling can improve synchronization in complex networks. Nonlinear Dyn. 2024, 112, 18491–18500. [Google Scholar] [CrossRef]















| Parameter | Value | Unit Symbol |
|---|---|---|
| 1800 | mS/cm2 | |
| 1700 | mS/cm2 | |
| 10 | mS/cm2 | |
| 7 | mS/cm2 | |
| 100 | mV | |
| −75 | mV | |
| 100 | mV | |
| 0.15 | mV | |
| 3.3/18 | mV | |
| 225.8 | mV | |
| −15 | mA/cm2 | |
| ρ | 0.27 |
| Parameter Name | |||
|---|---|---|---|
| Description | Synaptic reversible potential | Synaptic threshold | Constant of rate |
| value | −15 | −35 | 10 |
| Point | Value of I | Value of the Equilibrium Points | Eigenvalues | Bifurcation Type |
|---|---|---|---|---|
| LP1 | −56.844072 | saddle-node bifurcation point | ||
| LP2 | −39.370883 | saddle-node bifurcation point | ||
| H | −66.671372 | Hopf bifurcation point |
| Point | Value of I | Value of the Equilibrium Points | Eigenvalues | Bifurcation Type |
|---|---|---|---|---|
| LP1 | −47.197046 | , | saddle-node bifurcation point | |
| LP2 | −47.205235 | saddle-node bifurcation point | ||
| BP1 | −29.32081 | ) | BP bifurcation point | |
| BP2 | −31.210553 | BP bifurcation point |
| The Value of S | State of the Coupled System |
|---|---|
| Full synchronization | |
| Approximate synchronization | |
| Asynchronous |
Disclaimer/Publisher’s Note: The statements, opinions and data contained in all publications are solely those of the individual author(s) and contributor(s) and not of MDPI and/or the editor(s). MDPI and/or the editor(s) disclaim responsibility for any injury to people or property resulting from any ideas, methods, instructions or products referred to in the content. |
© 2025 by the authors. Licensee MDPI, Basel, Switzerland. This article is an open access article distributed under the terms and conditions of the Creative Commons Attribution (CC BY) license (https://creativecommons.org/licenses/by/4.0/).
Share and Cite
Ma, J.; Qi, L.; Dong, H.; Liu, T.; Zeng, M. Parameter Control and Spatiotemporal Dynamics Analysis of the Chay Neuron Model Under Chemical Synapses. Dynamics 2025, 5, 39. https://doi.org/10.3390/dynamics5030039
Ma J, Qi L, Dong H, Liu T, Zeng M. Parameter Control and Spatiotemporal Dynamics Analysis of the Chay Neuron Model Under Chemical Synapses. Dynamics. 2025; 5(3):39. https://doi.org/10.3390/dynamics5030039
Chicago/Turabian StyleMa, Juanjuan, Limei Qi, Hongqiang Dong, Ting Liu, and Mei Zeng. 2025. "Parameter Control and Spatiotemporal Dynamics Analysis of the Chay Neuron Model Under Chemical Synapses" Dynamics 5, no. 3: 39. https://doi.org/10.3390/dynamics5030039
APA StyleMa, J., Qi, L., Dong, H., Liu, T., & Zeng, M. (2025). Parameter Control and Spatiotemporal Dynamics Analysis of the Chay Neuron Model Under Chemical Synapses. Dynamics, 5(3), 39. https://doi.org/10.3390/dynamics5030039
