Automated Competence Assessment Procedures in Entrepreneurship
Abstract
1. Introduction
2. Methodology
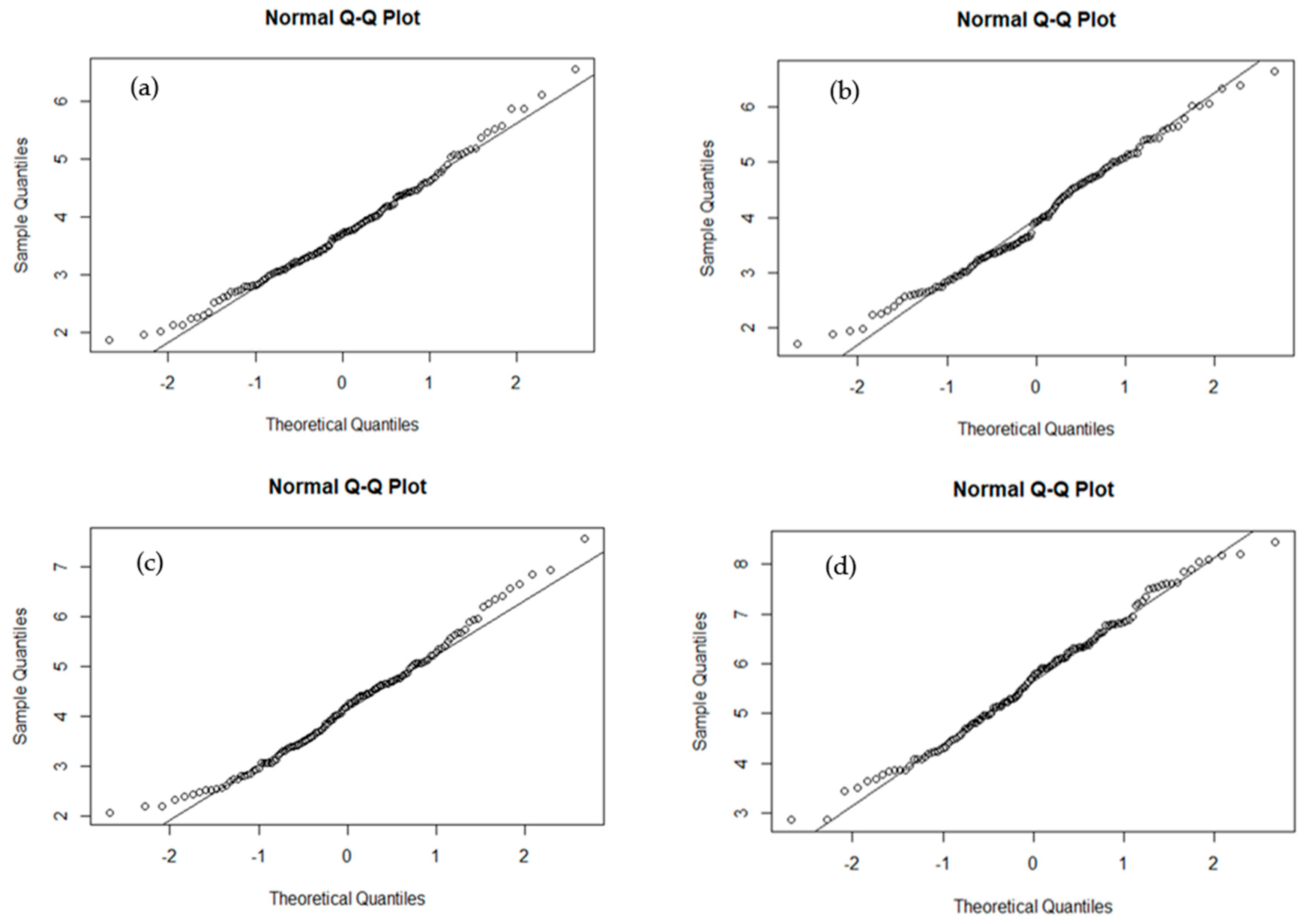
3. Implementation and Results
4. Discussion and Limitations
5. Conclusions and Further Research
Author Contributions
Funding
Institutional Review Board Statement
Informed Consent Statement
Data Availability Statement
Acknowledgments
Conflicts of Interest
Appendix A
| No. | Question | Answers via Dropdown (1 = Does Not Apply at All; 8 = Fully Applies) Evaluation (1–8) |
|---|---|---|
| 0.1 | What age group are you in? (<18/18–25/26–34/35–45/>45) | |
| 0.2 | Which gender do you belong to? (f/m/d) | |
| 0.3 | Do you have the intention to find a company? (Yes, now/Yes, in the next five years/Maybe/No/Already established) | |
| 1 | I can adapt well and quickly to (difficult) personal and social situations and participate. | |
| 2 | I can implement upcoming tasks quickly, properly, and with great benefit. | |
| 3 | It is easy for me to direct my consciousness to certain influences from the environment in order to select and perceive specific information. | |
| 4 | I can get excited about interesting topics. | |
| 5 | I have basic business management skills as well as knowledge in the areas of law, logistics, production, human resources, and corporate management. | |
| 6 | I know the contents of the DSGVO (“Datenschutzgrundverordnung”—German Data Protection Regulation) and can apply them in the context of a company. | |
| 7 | I find it easy to lead skillful discussions about negotiable issues with colleagues, superiors, business partners, or customers. | |
| 8 | I am able to guide myself to the desired target without any distractions. | |
| 9 | It is easy for me to focus on my colleagues in my work environment and to disregard emotions. | |
| 10 | I am able to recognize a person’s emotions and respond to them in an adequate way. | |
| 11 | I find it easy to put myself in the position of others. | |
| 12 | I am able to make decisions immediately, while fully perceiving the different possible choices of action and deciding in a concentrated manner. | |
| 13 | I find it easy to reflect critically on results. | |
| 14 | I find it easy to fully reflect on my own actions in terms of self-criticism and self-assessment. | |
| 15 | I have knowledge about the preparation of a P&L statement, a closing balance sheet, as well as investment and liquidity planning, and I can translate these into time period comparisons between individual months, quarters, and fiscal years in the form of reports. | |
| 16 | I am able to adapt to unforeseen situations, changes, timelines, and outcomes. | |
| 17 | In a business context, I am fluent in written and spoken English. | |
| 18 | I find it easy to lead a team. | |
| 19 | I always base my business actions on achieving the highest possible monetary profit. | |
| 20 | I see challenges and problems as opportunities to develop myself, regarding my attitude, mindset, or mentality, and to learn something new. | |
| 21 | I find it easy to improvise. | |
| 22 | I know my product/service very well. | |
| 23 | I always comply with contracts and formal and informal rules when dealing with colleagues and business partners. | |
| 24 | I possess a will of my own and a passion to complete tasks on my own initiative, as well as a high degree of self-motivation. | |
| 25 | I have basic knowledge of the legal aspects of setting up a business (e.g., choice of legal form; registration of a business and compulsory chamber of commerce; tax number and registration with the tax office; industrial property rights or licenses; entry in the commercial register; shareholdings, partnerships, and recruitment of employees; drawing up contracts) and can apply this knowledge. | |
| 26 | I find it easy to communicate with other people. | |
| 27 | Once I make a decision, I stick to it. | |
| 28 | I can work well with other people. | |
| 29 | I find it easy to create something that is new or original that is also useful or usable. | |
| 30 | I am able to give constructive criticism to others. | |
| 31 | I have the ability to sell a product or service with the best possible outcome (using various advertising and sales strategies). | |
| 32 | I am prepared to do what I think is right in the face of expected disadvantages. | |
| 33 | I am prepared to manage sustainably, as well as make planned decisions about the production, procurement, and use of scarce goods for the purpose of satisfying needs, taking into account future resource supplies and environmental conditions. | |
| 34 | I am able to develop and maintain a cross-company and social network (national and international). | |
| 35 | I have an interest in various new subjects, as well as curiosity and eagerness for knowledge about unknown phenomena. | |
| 36 | I am open-minded about new professional topics, ways of working, as well as new colleagues. | |
| 37 | I look at everything and everyone from the best side and always have positive expectations. | |
| 38 | I am able to prioritize tasks and actions according to their urgency and importance. | |
| 39 | I can solve existing problems systematically. | |
| 40 | I am able to perceive the current situation or reality in its (economic) environment without disturbance and to make clear decisions based on it. | |
| 41 | I emerge stronger from crises. | |
| 42 | I am willing to take risks. | |
| 43 | If I find myself in an (economically) dangerous situation, I act willingly and am aware of my risks. | |
| 44 | I am confident in my abilities and values as a person and present myself with self-assurance. | |
| 45 | I present my personality and characteristics to others in the most advantageous and intentional way possible. | |
| 46 | I can plan work tasks independently and effectively and keep track of all open tasks. | |
| 47 | I am able to communicate non-emotional content (information, knowledge, etc.) in the form of stories to listeners, readers, or viewers. | |
| 48 | I am able to reliably apply existing knowledge to different tasks and transfer it to new situations. | |
| 49 | I have knowledge of business management and can apply it successfully. This, among other aspects, is divided into strategic (e.g., planning products; defining orientation; formulating visions; sounding out the market) and operational (e.g., personnel management; allocation of tasks; process optimization; location decisions; controlling) corporate management. | |
| 50 | I am able to take and bear responsibility for a project, for my co-workers, or a work process. | |
| 51 | I act trustworthy and can easily develop trust with other people. | |
| 52 | I have the ability to create and edit a website independently and to fix errors or malfunctions on my own. This also includes the legal context (imprint, DSGVO, online store). | |
| 53 | I am able to look ahead, recognize future developments and requirements, and correctly assess them at an early stage. | |
| 54 | I am able to communicate values (moral, social, religious, political, aesthetic, and material values) to others. | |
| 55 | I am characterized by my ability to overcome feelings of unwillingness, distractions, or other obstacles on the way toward achieving my goals. | |
| 56 | I keep agreements made with other persons or business partners. | |
| 57 | I consider myself to have a high willingness to work. | |
| 58 | When something impresses and interests me, it fills me with joy. | |
| 59 | I have the ability to evaluate business issues in the areas of macro and microeconomics as well as in the complementary topics of marketing, sales, and ratio evaluation. | |
| 60 | I can process and manage data in a company within the scope of the DSGVO (“Datenschutzgrundverordnung”—German Data Protection Regulation). | |
| 61 | I find it easy to make decisions, even if they are under complex circumstances; they are well elaborated. | |
| 62 | I am able to critically question results and process them against the background of professional correctness. | |
| 63 | I am able to self-critically reflect on my own actions. | |
| 64 | If topics change unexpectedly, it is easy for me to adapt to them. | |
| 65 | I am able to manage, encourage, and motivate employees with regard to their strengths and weaknesses. | |
| 66 | Under uncertain conditions (e.g., incomplete information), I can act fast, goal-oriented, and conceptually in complex situations. | |
| 67 | I am able to solve technical questions within my field of expertise in an impeccable and targeted manner. | |
| 68 | I find it easy to interpret messages such as facial expressions, gestures, and body postures correctly and react accordingly. | |
| 69 | My actions are always consistent and free of contradictions with inner cohesion. | |
| 70 | Towards others, I can create a mutually complementary and supportive community that is open to new things and ready to act. | |
| 71 | I am able to think originally, imaginatively, and creatively, as well as invent or create something that is new and useful, and that can be experienced sensually. | |
| 72 | I am able to accept and endure criticism of my own actions. | |
| 73 | I have knowledge of sales management (including assessing the market environment to draw conclusions about customer needs, segmenting the market to identify target groups, and analyzing buying behavior) and can apply it successfully. | |
| 74 | I am ready to put myself in a dangerous situation with uncertainties. | |
| 75 | The aspect of sustainability at all levels plays a major role in my company. | |
| 76 | I find it easy to network with (new) business partners. | |
| 77 | I have the desire or the wish to gain new experiences and knowledge. | |
| 78 | I am open to new things. | |
| 79 | I possess a cheerful, confident, life-affirming, and active attitude. | |
| 80 | I make sure that high-priority tasks get done first. | |
| 81 | I can handle risky situations well. | |
| 82 | I generate interest among business partners or customers by communicating information to them as part of a storytelling process using speech, text, images, or videos. | |
| 83 | I am able to achieve my goals through perseverance (persistence), tenacity, determination, drive, robustness, and determination. | |
| 84 | I reliably perform my tasks. | |
| 85 | In order to achieve a goal, I attach importance not only to the result but also to the interpersonal process within the team. |
References
- Amtsblatt der Europäischen Union 49 (L394). (Official Journal of the European Union 49 (L394)). Available online: https://eur-lex.europa.eu/legal-content/DE/TXT/PDF/?uri=OJ:L:2006:394:FULL&from=BG (accessed on 9 October 2023).
- Jenewein, T. Zukunft des Arbeitens und Lernens (Future of work and learning); Schäffer-Poeschel Verlag: Stuttgart, Germany, 2017; pp. 415–428. ISBN 3-7910-3793-5. [Google Scholar]
- Kopf, M.; Leipold, J.; Seidl, T. Kompetenzen in Lehrveranstaltungen und Prüfungen Handreichungen für Lehrende (Competences in Courses and Examinations Handouts for Teachers), 16th ed.; Mainzer Beiträge zur Hochschulentwicklung: Mainz, Germany, 2010; ISBN 3-935461-15-1. [Google Scholar]
- Arbeitskreis Deutscher Qualifikationsrahmen. Deutscher Qualifikationsrahmen für Lebenslanges Lernen (German Qualifications Framework Working Group. German Qualifications Framework for Lifelong Learning). Available online: https://www.fibaa.org/fileadmin/redakteur/pdf/ZERT/Der_Deutsche_Qualifikationsrahmen_fue_lebenslanges_Lernen.pdf (accessed on 10 August 2023).
- Grewe, U.; Brahm, T. Kompetenzorientierung in der Entrepreneurship Education (Competence Orientation in Entrepreneurship Education. Entrepreneurship Education); Springer Gabler: Wiesbaden, Germany, 2019; pp. 133–150. [Google Scholar]
- Retzmann, T.; Hausmann, V. Wie Lässt Sich Unternehmerisches Denken Messen? Überlegungen zur Konstruktion Eines Standardisierten Tests (How Can Entrepreneurial Thinking Be Measured? Considerations for the Construction of a Standardized Test); Wochenschau-Verl.: Frankfurt, Germany, 2012; pp. 50–64. ISBN 978-3-89974-734-8. [Google Scholar]
- Postigo, Á.; Cuesta, M.; García-Cueto, E.; Prieto-Díez, F.; Muñiz, J. General versus Specific Personality Traits for Predicting Entrepreneurship. Personal. Individ. Differ. 2021, 182, 111094. [Google Scholar] [CrossRef]
- Bae, T.J.; Qian, S.; Miao, C.; Fiet, J.O. The Relationship Between Entrepreneurship Education and Entrepreneurial Intentions: A Meta-Analytic Review. Entrep. Theory Pract. 2014, 38, 217–254. [Google Scholar] [CrossRef]
- Bakheet, A.H.; Varghese, T.; Al-Qartoopi, K.; Al-Hamdi, F. University Students’ Entrepreneurial Attitudes and Intention: The Omani Context. Int. J. Bus. Appl. Soc. Sci. 2019, 5, 9–20. [Google Scholar] [CrossRef]
- do Paço, A.M.F.; Ferreira, J.M.; Raposo, M.; Rodrigues, R.G.; Dinis, A. Behaviours and entrepreneurial intention: Empirical findings about secondary students. J. Int. Entrep. 2011, 9, 20–38. [Google Scholar] [CrossRef]
- Mohamad, S.K.; Tasir, Z. Educational Data Mining: A Review. Procedia-Soc. Behav. Sci. 2013, 97, 320–324. [Google Scholar] [CrossRef]
- Nabi, G.; Liñán, F.; Fayolle, A.; Krueger, N.; Walmsley, A. The Impact of Entrepreneurship Education in Higher Education: A Systematic Review and Research Agenda. Acad. Manag. Learn. Educ. 2017, 16, 277–299. [Google Scholar] [CrossRef]
- Rusko, R.; Hietanen, L.; Kohtakangas, K.; Järvi, T. Roles of career anchors and path dependency in the entrepreneurial process: Case Finland. Int. J. Entrep. Small Bus. 2019, 37, 342–363. [Google Scholar] [CrossRef]
- Kozlinska, I.; Rebmann, A.; Mets, T. Entrepreneurial Competencies and Employment Status of Business Graduates: The Role of Experiential Entrepreneurship Pedagogy. J. Small Bus. Entrep. 2023, 35, 724–761. [Google Scholar] [CrossRef]
- Ajzen, I. The theory of planned behavior. Organ. Behav. Hum. Decis. Process. 1991, 50, 179–211. [Google Scholar] [CrossRef]
- Mets, T.; Raudsaar, M.; Vahejõe, K.; Kaseorg, M.; Vettik-Leemet, P. Putting Entrepreneurial Process Competence into the Focus in Entrepreneurship Education: Experience from Estonian Universities. Adm. Sci. 2022, 12, 67. [Google Scholar] [CrossRef]
- Bacigalupo, M.; Kampylis, P.; Punie, Y.; Brande, G.V. EntreComp the Entrepreneurship Competence Framework; Publications Office: Luxembourg, 2016; ISBN 978-92-79-63923-4. [Google Scholar]
- Mets, T.; Kozlinska, I.; Raudsaar, M.; Trabskaia, I. New Perspectives on Entrepreneurship Education: Introduction. Adm. Sci. 2023, 13, 13. [Google Scholar] [CrossRef]
- Davidsson, P.; Gruenhagen, J.H. Fulfilling the Process Promise: A Review and Agenda for New Venture Creation Process Research. Entrep. Theory Pract. 2021, 45, 1083–1118. [Google Scholar] [CrossRef]
- Mets, T. From the Metaphor to the Concept of the Entrepreneurial Journey in Entrepreneurship Research. FNT Entrep. 2022, 18, 330–422. [Google Scholar] [CrossRef]
- Vettik-Leemet, P.; Mets, T. Entrepreneurship and Innovation—Process Overlap or the Same? Systematic Overview and Converging Process-Dynamic Model. Adm. Sci. 2024, 14, 38. [Google Scholar] [CrossRef]
- Schreiner, M. Ki Als Bildungsbooster: Ki-Tutor Führt Mehr Menschen zum Abschluss (Ai as an Educational Booster: Ai-Tutor Leads More People to Graduate). Available online: https://the-decoder.de/ki-als-bildungsbooster-ki-tutor-fuehrt-mehr-menschen-zum-abschluss/ (accessed on 2 December 2023).
- Bogner, A.; Littig, B.; Menz, W. Interviews Mit Experten Eine Praxisorientierte Einführung (Interviews with Experts: A Practice-Oriented Introduction); Springer VS: Wiesbaden, Germany, 2014; ISBN 978-3-531-19416-5. [Google Scholar]
- Mayring, P.; Fenzl, T. Qualitative Inhaltsanalyse. In Handbuch Methoden der Empirischen Sozialforschung (Handbook of Methods of Empirical Social Research); Springer VS: Wiesbaden, Germany, 2014; pp. 543–556. ISBN 978-3-531-17809-7. [Google Scholar]
- Weinert, F.E. Concept of competence: A conceptual clarification. In Defining and Selecting Key Competencies; Rychen, D.S., Salganik, L.H., Eds.; Hogrefe & Huber Publishers: Seattle, WA, USA, 2001; pp. 45–65. [Google Scholar]
- Bühner, M. Einführung in Die Test—Und Fragebogenkonstruktion (Introduction to Test and Questionnaire Construction); Pearson: Munich, Germany, 2021; ISBN 978-3-86894-326-9. [Google Scholar]
- Bortz, J.; Döring, N. Forschungsmethoden und Evaluation für Human—Und Sozialwissenschaftler (Research Methods and Evaluation for Human and Social Scientists with 87 Tables); Springer: Berlin, Germany, 2006; ISBN 978-3-540-33306-7. [Google Scholar]
- Jankisz, E.; Moosbrugger, H.; Brandt, H. Planung und Entwicklung von Psychologischen Tests und Fragebogen (Planning and Development of Psychological Tests and Questionnaires); Springer: Heidelberg, Germany, 2008; pp. 27–72. ISBN 978-3-540-71634-1. [Google Scholar]
- Cronbach, L.J. Coefficient alpha and the internal structure of tests. Psychometrika 1951, 16, 297–334. [Google Scholar] [CrossRef]
- Brosius, F. SPSS 14, 1st ed; Mitp: Heidelberg, Germany, 2006; ISBN 978-3-8266-1634-1. [Google Scholar]
- Joenssen, D.W.; Vogel, J. Zur Güte von Signifikanztests Auf Mehrdimensionale Normalverteiltheit (On the Quality of Significance Tests for Multidimensional Normal Distribution). Available online: https://www.db-thueringen.de/servlets/MCRFileNodeServlet/dbt_derivate_00021687/ilm1-2010200316.pdf (accessed on 28 August 2023).
- Korkmaz, S.; Goksuluk, D.; Zararsiz, G. MVN: An R Package for Assessing Multivariate Normality. R J. 2014, 6, 151–162. [Google Scholar] [CrossRef]
- Marsh, H.W.; Hau, K.-T.; Balla, J.R.; Grayson, D. Is More Ever Too Much? The Number of Indicators per Factor in Confirmatory Factor Analysis. Multivar. Behav. Res. 1998, 33, 181–220. [Google Scholar] [CrossRef] [PubMed]
- Pfadenhauer, M.; Kunz, A.M. Kompetenzen in der Kompetenzerfassung: Ansätze und Auswirkungen der Vermessung von Bildung (Competencies in Competency Assessment: Approaches and Effects of Measuring Education); Beltz Juventa: Weinheim, Germany, 2012; ISBN 978-3779928348. [Google Scholar]
- Kaufhold, M. Kompetenz und Kompetenzerfassung. Analyse und Beurteilung von Verfahren der Kompetenzerfassung (Competence and Competency Assessment. Analysis and Assessment of Competency Assessment Procedures), 1st ed.; VS: Wiesbaden, Germany, 2006; ISBN 978-3-531-15153-3. [Google Scholar]
- Algarni, A. Data Mining in Education. J. Adv. Comput. Sci. Appl. 2016, 7, 456–461. [Google Scholar] [CrossRef]
- Baradwaj, B.K.; Pal, S. Mining Educational Data to Analyze Students Performance. Int. J. Adv. Comput. Sci. Appl. 2011, 2, 64–67. [Google Scholar] [CrossRef]
- Seufert, S.; Guggemos, J.; Sonderegger, S. Digitale Transformation der Hochschullehre: Augmentationsstrategien für den Einsatz von Data Analytics und Künstlicher Intelligenz. Z. Hochschulentwicklung (Digital Transformation of University Teaching: Augmentation Strategies for the Use of Data Analytics and Artificial Intelligence). J. High. Educ. Dev. 2020, 15, 81–101. [Google Scholar] [CrossRef]







| Distribution (Mardia-Test) | Item analysis & Reliability | |||||||
|---|---|---|---|---|---|---|---|---|
| Competence Category | Test Statistics | Test Statistics | p-Value | p-Value | Item Count | Cronbachs Alpha | Mean | SD |
| Skew | Kurtosis | Skew | Kurtosis | |||||
| Professional Competencies | 223.5975 | 1.4413 | 0.00162 | 0.14949 | 9 (15) | 0.84 (0.89) | 4.4 (4.6) | 1.40 (1.30) |
| −1006.948 | −6.7516 | (<0.001) | (<0.001) | |||||
| Methodological Competencies | 234.1054 | 8.4876 | <0.001 | <0.001 | 7 (17) | 0.83 (0.91) | 5.9 (5.9) | 0.94 (0.90) |
| −1542.223 | −10.4229 | (<0.001) | (<0.001) | |||||
| Social | 128.3315 | 3.8403 | 0.13268 | <0.001 | 6 (19) | 0.78 (0.91) | 5.9 (6.1) | 1.10 (0.89) |
| Competencies | −2358.884 | −13.8921 | (<0.001) | (<0.001) | ||||
| Personal | 123.0877 | 1.4508 | 0.60924 | 0.14683 | 6 (34) | 0.83 (0.95) | 5.8 (6.1) | 1.10 (0.88) |
| Competencies | −9794.663 | −15.7811 | (<0.001) | (<0.001) | ||||
| CFA—Estimation Method MLR (ML Robust) | ||||||
|---|---|---|---|---|---|---|
| Chi2 Test Statistics | df | p-Value | CFI | RMSEA | SRMR | |
| Professional Competencies | 34.911 (223.542) | 27 (90) | 0.141 (0.000) | 0.978 (0.824) | 0.047 (0.105) | 0.051 (0.092) |
| Methodological Competencies | 22.471 (266.540) | 14 (119) | 0.069 (0.000) | 0.964 (0.833) | 0.072 (0.096) | 0.048 (0.080) |
| Social Competencies | 14.915 (371.371) | 9 (152) | 0.093 (0.000) | 0.963 (0.755) | 0.075 (0.103) | 0.046 (0.086) |
| Personal Competencies | 16.069 (1242.474) | 9 (527) | 0.065 (0.000) | 0.963 (0.684) | 0.079 (0.106) | 0.045 (0.092) |
Disclaimer/Publisher’s Note: The statements, opinions and data contained in all publications are solely those of the individual author(s) and contributor(s) and not of MDPI and/or the editor(s). MDPI and/or the editor(s) disclaim responsibility for any injury to people or property resulting from any ideas, methods, instructions or products referred to in the content. |
© 2024 by the authors. Licensee MDPI, Basel, Switzerland. This article is an open access article distributed under the terms and conditions of the Creative Commons Attribution (CC BY) license (https://creativecommons.org/licenses/by/4.0/).
Share and Cite
Marschhäuser, M.; Riesel, F.; Bräutigam, V. Automated Competence Assessment Procedures in Entrepreneurship. Merits 2024, 4, 173-190. https://doi.org/10.3390/merits4020013
Marschhäuser M, Riesel F, Bräutigam V. Automated Competence Assessment Procedures in Entrepreneurship. Merits. 2024; 4(2):173-190. https://doi.org/10.3390/merits4020013
Chicago/Turabian StyleMarschhäuser, Markus, Fabienne Riesel, and Volker Bräutigam. 2024. "Automated Competence Assessment Procedures in Entrepreneurship" Merits 4, no. 2: 173-190. https://doi.org/10.3390/merits4020013
APA StyleMarschhäuser, M., Riesel, F., & Bräutigam, V. (2024). Automated Competence Assessment Procedures in Entrepreneurship. Merits, 4(2), 173-190. https://doi.org/10.3390/merits4020013

