Using Phytoplankton as Bioindicators of Tourism Impact and Seasonal Eutrophication in the Andaman Sea (Koh Yaa, Thailand)
Abstract
1. Introduction
2. Materials and Methods
2.1. Sampling Site
2.2. Sample Collection and Treatment
2.3. Determination Methods
2.4. Data Analysis
3. Results
3.1. The Composition and Variation in Plankton Communities
3.2. Dominant Organisms Analysis
3.3. Diversity Index and Evenness of Plankton Communities
3.4. Physicochemical Factor Analysis
3.5. Correlation and PCA of Plankton Abundance and Environmental Factors
4. Discussion
4.1. The Relationship Between Biodiversity and Pollution Levels
4.2. Plankton Composition and Potential Risks
4.3. Impact of Human Activities on Plankton
5. Conclusions
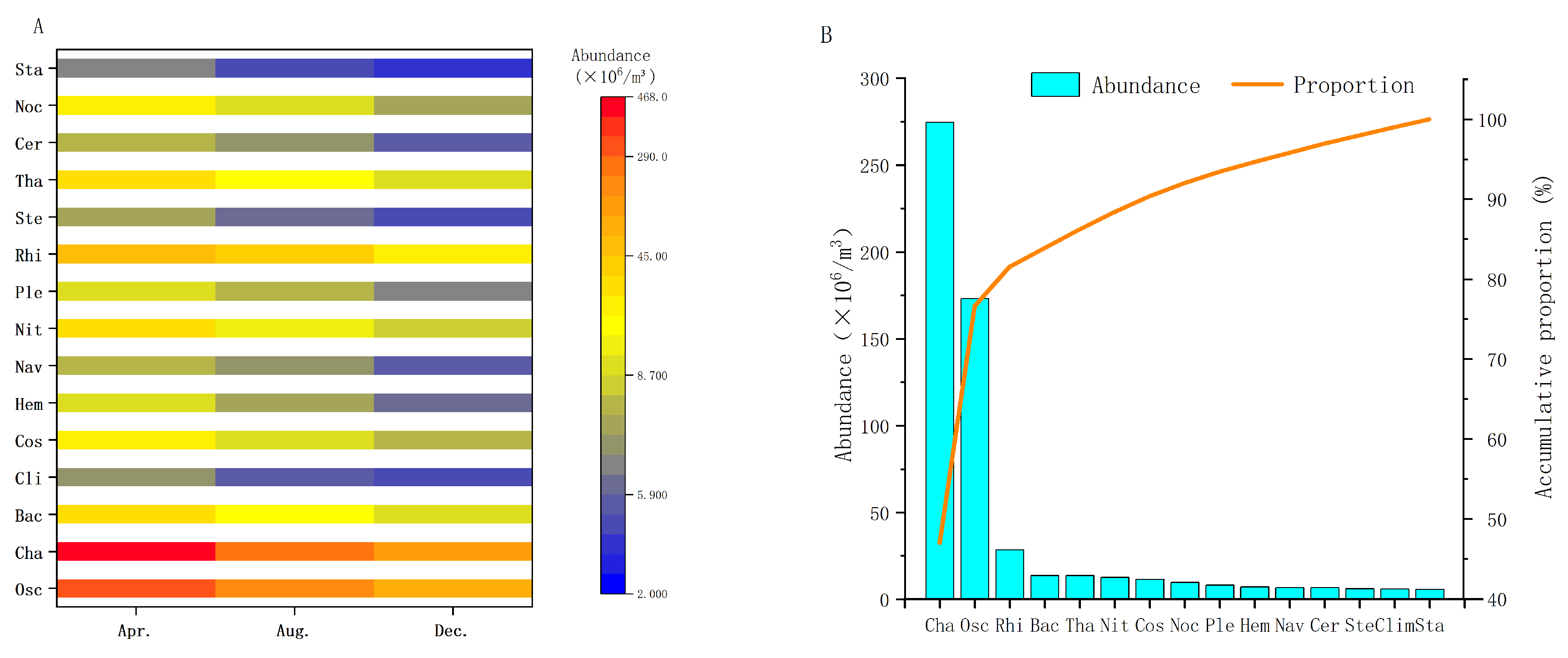
- A total of 15 categories of phytoplankton were identified, belonging to four phyla: Bacillariophyta, Cyanobacteria, Dinoflagellata, and Chlorophyta. Among these, Chaetoceros (Bacillariophyta) and Oscillatoria (Cyanobacteria) are the dominant genera, accounting for 47% and 29.6% of total phytoplankton quantities, respectively, with a relatively stable ratio throughout seasonal variations.
- The absence of harmful algal blooms associated with eutrophic algae in this area may be linked to seasonal tourism impacts and Indian Ocean currents. However, the ratio between phytoplankton and zooplankton stands at 9.2—higher than typical values in Southeast Asian waters—indicating an imbalance that warrants caution regarding potential risks.
- Although both the diversity index and evenness index improved from 1.34 and 0.46 in April to 1.88 and 0.64 in December, respectively, they still remained at moderate or middle-low levels; combined with seasonal changes in nutrient content (e.g., TP), this suggests some degree of pollution exists in this area.
- Variations in phytoplankton abundance, diversity indices and evenness indices, as well as physicochemical parameters, correlate with seasonal climate variations and tourist season fluctuations; it is recommended that strategies such as controlling visitor numbers during high season or enhancing wastewater management practices—including promoting environmentally friendly sunscreen products—be implemented to mitigate negative impacts on marine ecosystems.
Supplementary Materials
Author Contributions
Funding
Institutional Review Board Statement
Informed Consent Statement
Data Availability Statement
Acknowledgments
Conflicts of Interest
References
- Bresnan, E.; Cook, K.B.; Hughes, S.L.; Hay, S.J.; Smith, K.; Walsham, P.; Webster, L. Seasonality of the plankton community at an east and west coast monitoring site in Scottish waters. J. Sea Res. 2015, 105, 16–29. [Google Scholar] [CrossRef]
- Raven, J.A.; Beardall, J. Influence of global environmental change on plankton. J. Plankton Res. 2021, 43, 779–800. [Google Scholar] [CrossRef]
- Wang, S.; Maltrud, M.; Elliott, S.; Cameron-Smith, P.; Jonko, A. Influence of dimethyl sulfide on the carbon cycle and biological production. Biogeochemistry 2018, 138, 49–68. [Google Scholar] [CrossRef]
- Yang, J.; Wang, F.; Lv, J.; Liu, Q.; Nan, F.; Liu, X.; Xu, L.; Xie, S.; Feng, J. Interactive effects of temperature and nutrients on the phytoplankton community in an urban river in China. Environ. Monit. Assess. 2019, 191, 688. [Google Scholar] [CrossRef]
- Zohdi, E.; Abbaspour, M. Harmful algal blooms (red tide): A review of causes, impacts and approaches to monitoring and prediction. Int. J. Environ. Sci. Technol. 2019, 16, 1789–1806. [Google Scholar] [CrossRef]
- Kordas, R.L.; Harley, C.D.; O’Connor, M.I. Community ecology in a warming world: The influence of temperature on interspecific interactions in marine systems. J. Exp. Mar. Biol. Ecol. 2011, 400, 218–226. [Google Scholar] [CrossRef]
- Lan, J.; Liu, P.; Hu, X.; Zhu, S. Harmful algal blooms in eutrophic marine environments: Causes, monitoring, and treatment. Water 2024, 16, 2525. [Google Scholar] [CrossRef]
- Irie, T.; Bessho, K.; Findlay, H.S.; Calosi, P. Increasing costs due to ocean acidification drives phytoplankton to be more heavily calcified: Optimal growth strategy of coccolithophores. PLoS ONE 2010, 5, e13436. [Google Scholar] [CrossRef] [PubMed]
- Ekau, W.; Auel, H.; Pörtner, H.-O.; Gilbert, D. Impacts of hypoxia on the structure and processes in pelagic communities (zooplankton, macro-invertebrates and fish). Biogeosciences 2010, 7, 1669–1699. [Google Scholar] [CrossRef]
- Najeeb, S.; Khan, R.A.A.; Deng, X.; Wu, C. Drivers and consequences of degradation in tropical reef island ecosystems: Strategies for restoration and conservation. Front. Mar. Sci. 2025, 12, 1518701. [Google Scholar] [CrossRef]
- Noonsang, P.; Tina, F.W.; Jaroensutasinee, M.; Jaroensutasinee, K.; Chumkiew, S.; Kuhapong, U. Diversity of coral reef fishes at Racha Yai Island, Thailand. J. Fish. Environ. 2016, 40, 19–34. [Google Scholar]
- Cheewajaroenkul, J.; Tuntipisitkul, P.; Phakdee-Auksorn, P. Factors affecting tourist’s intention to purchase environmentally friendly sunscreen products: A case study of Phuket, Thailand. Kasetsart J. Soc. Sci. 2022, 43, 1015–1024. [Google Scholar] [CrossRef]
- Tomas, C.R. Identifying Marine Phytoplankton; Academic Press: San Diego, CA, USA, 1997. [Google Scholar]
- Hasan, J.; Shaha, D.C.; Kundu, S.R.; Yusoff, F.M.; Cho, Y.-K.; Haque, F.; Salam, M.A.; Ahmed, S.; Wahab, M.A.; Ahmed, M.; et al. Phytoplankton community in relation to environmental variables in the tidal mangrove creeks of the Pasur River estuary, Bangladesh. Conservation 2022, 2, 587–612. [Google Scholar] [CrossRef]
- Conway, D.V.P.; White, R.G.; Hugues-Dit-Ciles, J.; Gallienne, C.P.; Robins, D.B. Guide to the Coastal and Surface Zooplankton of the South-Western Indian Ocean; Occasional Publication of the Marine Biological Association No. 15; Marine Biological Association: Plymouth, UK, 2003. [Google Scholar] [CrossRef]
- Shannon, C.E. A Mathematical Theory of Communication. Bell Syst. Tech. J. 1948, 27, 623–656. [Google Scholar]
- Pielou, E.C. Species-diversity and pattern-diversity in the study of ecological succession. J. Theor. Biol. 1966, 10, 370–383. [Google Scholar]
- Hinga, K.R. Effects of pH on coastal marine phytoplankton. Mar. Ecol. Prog. Ser. 2002, 238, 281–300. [Google Scholar] [CrossRef]
- Limsakul, A.; Singhruck, P. Long-term trends and variability of total and extreme precipitation in Thailand. Atmos. Res. 2016, 169, 301–317. [Google Scholar] [CrossRef]
- Shanmugam, P.; Neelamani, S.; Ahn, Y.-H.; Philip, L.; Hong, G.-H. Assessment of the levels of coastal marine pollution of Chennai city, Southern India. Water Resour. Manag. 2007, 21, 1187–1206. [Google Scholar] [CrossRef]
- Phonmat, P.; Chaichana, R.; Rakasachat, C.; Klongvessa, P.; Chanthorn, W.; Moukomla, S. Phytoplankton and Zooplankton Assemblages Driven by Environmental Factors Along Trophic Gradients in Thai Lentic Ecosystems. Diversity 2025, 17, 372. [Google Scholar] [CrossRef]
- Minggat, E.; Roseli, W.; Tanaka, Y. Nutrient absorption and biomass production by the marine diatom Chaetoceros muelleri: Effects of temperature, salinity, photoperiod, and light intensity. J. Ecol. Eng. 2021, 22, 231–240. [Google Scholar] [CrossRef]
- Somsap, N.; Gajaseni, N.; Piumsomboon, A. Physico-chemical factors influencing blooms of Chaetoceros spp. and Ceratium furca in the Inner Gulf of Thailand. Agric. Nat. Resour. 2015, 49, 200–210. [Google Scholar]
- Li, X.; Xu, Z.; Zhang, S.; Gao, W.; Dong, Q.; Guo, F.; Zhu, Z.; Yang, W.; Yang, Z. Eutrophication-Driven Changes in Plankton Trophic Interactions: Insights from Trade-Offs in Functional Traits. Environ. Sci. Technol. 2025, 59, 744–755. [Google Scholar] [CrossRef]
- Wei, Y.; Ding, D.; Gu, T.; Jiang, T.; Qu, K.; Sun, J.; Cui, Z. Different responses of phytoplankton and zooplankton communities to current changing coastal environments. Environ. Res. 2022, 215, 114426. [Google Scholar] [CrossRef] [PubMed]
- Griffin, S.L.; Rippingale, R.J. Zooplankton grazing dynamics: Top-down control of phytoplankton and its relationship to an estuarine habitat. Hydrol. Process. 2001, 15, 2453–2464. [Google Scholar] [CrossRef]
- Shreenidhi, K.; Geetha, B.V.; Sandhya, S.S.S.; Murugan, S.J.; Sarada, G. Influence of Cosmetic and Pharmaceutical Wastes on Community of Plankton. In Emergent Pollutants in Freshwater Plankton Communities; CRC Press: Boca Raton, FL, USA, 2024; pp. 67–79. [Google Scholar]
- Tang, D.L.; Kawamura, H.; Shi, P.; Takahashi, W.; Guan, L.; Shimada, T.; Sakaida, F.; Isoguchi, O. Seasonal phytoplankton blooms associated with monsoonal influences and coastal environments in the sea areas either side of the Indochina Peninsula. J. Geophys. Res. Biogeosci. 2006, 111, G01010. [Google Scholar] [CrossRef]
- Thongra-ar, W.; Musika, C.; Mokkongpai, P.; Wongsudawan, W.; Munhapol, A. Various Forms of Phosphorus in Sediments of the Eastern Coast of Thailand. Scienceasia 2004, 30, 211–222. [Google Scholar] [CrossRef]
- Rosales, D.; Ellett, A.; Jacobs, J.; Ozbay, G.; Parveen, S.; Pitula, J. Investigating the Relationship between nitrate, total dissolved nitrogen, and phosphate with abundance of pathogenic Vibrios and harmful algal blooms in Rehoboth Bay, Delaware. Appl. Environ. Microbiol. 2022, 88, e00356-22. [Google Scholar] [CrossRef]
- Tanpichai, K.; Jamieson, I.A. Enhancing Customer Experiences in Ecotourism Scuba Diving on Koh Tao. Master’s Thesis, Thammasat University, Bangkok, Thailand, 2024. [Google Scholar]





| H’ | J’ | H’ | J’ | H’ | J’ | |
|---|---|---|---|---|---|---|
| April | August | December | ||||
| Station 1 | 1.34 | 0.46 | 1.51 | 0.51 | 1.72 | 0.59 |
| Station 2 | 1.42 | 0.48 | 1.57 | 0.53 | 1.77 | 0.60 |
| Station 3 | 1.41 | 0.48 | 1.56 | 0.53 | 1.77 | 0.60 |
| Station 4 | 1.58 | 0.54 | 1.70 | 0.58 | 1.88 | 0.64 |
| Month | Site | pH | Temp. (°C) | DO (mg/L) | BOD (mg/L) | TDS (g/L) | TN (mg/L) | TP (mg/L) | TA (mg/L) |
|---|---|---|---|---|---|---|---|---|---|
| April | Station 1 | 7.29 ± 0.11 | 31.9 ± 0.27 | 4.1 ± 0.81 | 1.2 ± 0.04 | 36.3 ± 0.46 | 0.3 ± 0.06 | 0.27 ± 0.09 | 102 ± 4.5 |
| Station 2 | 7.21 ± 0.10 | 32.3 ± 0.28 | 4.32 ± 0.78 | 0.2 ± 0.05 | 36.5 ± 0.45 | 0.19 ± 0.03 | 0.4 ± 0.05 | 97 ± 3.8 | |
| Station 3 | 7.14 ± 0.13 | 31.2 ± 0.23 | 4.3 ± 0.93 | 0.6 ± 0.03 | 37.3 ± 0.43 | 0.24 ± 0.02 | 0.64 ± 0.06 | 107 ± 4.1 | |
| Station 4 | 7.37 ± 0.12 | 31.7 ± 0.22 | 6.02 ± 0.95 | 0.6 ± 0.08 | 37.1 ± 0.38 | 0.32 ± 0.05 | 0.38 ± 0.04 | 104 ± 4.0 | |
| Average | 7.25 ± 0.10 | 31.78 ± 0.46 | 4.69 ± 0.90 | 0.65 ± 0.04 | 36.80 ± 0.48 | 0.26 ± 0.06 | 0.42 ± 0.16 | 102.50 ± 4.2 | |
| August | Station 1 | 7.67 ± 0.10 | 28.95 ± 0.33 | 4.1 ± 0.79 | 0.6 ± 0.05 | 34.6 ± 0.25 | 0.3 ± 0.05 | 0.3 ± 0.15 | 95 ± 4.8 |
| Station 2 | 7.59 ± 0.11 | 29.25 ± 0.25 | 4.3 ± 0.81 | 0.4 ± 0.04 | 35.1 ± 0.30 | 0.2 ± 0.04 | 0.4 ± 0.07 | 97 ± 4.2 | |
| Station 3 | 7.44 ± 0.12 | 29.92 ± 0.34 | 4.28 ± 0.92 | 0.6 ± 0.04 | 35.4 ± 0.33 | 0.26 ± 0.04 | 0.67 ± 0.10 | 104 ± 4.5 | |
| Station 4 | 7.64 ± 0.10 | 29.15 ± 0.26 | 6.04 ± 1.23 | 1.0 ± 0.03 | 35.3 ± 0.28 | 0.31 ± 0.05 | 0.38 ± 0.06 | 103 ± 4.2 | |
| Average | 7.59 ± 0.10 | 29.32 ± 0.42 | 4.68 ± 0.91 | 0.65 ± 0.05 | 35.10 ± 0.36 | 0.27 ± 0.05 | 0.44 ± 0.16 | 99.75 ± 4.4 | |
| December | Station 1 | 7.74 ± 0.12 | 29.17 ± 0.30 | 4.12 ± 0.66 | 0.4 ± 0.03 | 37.2 ± 0.63 | 0.3 ± 0.02 | 0.27 ± 0.12 | 100 ± 4.5 |
| Station 2 | 7.76 ± 0.11 | 30.09 ± 0.31 | 4.32 ± 0.82 | 1.0 ± 0.04 | 38.4 ± 0.72 | 0.2 ± 0.01 | 0.4 ± 0.11 | 97 ± 3.3 | |
| Station 3 | 7.52 ± 0.12 | 29.65 ± 0.28 | 4.3 ± 0.72 | 0.8 ± 0.03 | 38.7 ± 0.82 | 0.24 ± 0.01 | 0.69 ± 0.05 | 104 ± 3.6 | |
| Station 4 | 7.7 ± 0.10 | 29.13 ± 0.32 | 6.06 ± 0.78 | 0.4 ± 0.03 | 38.8 ± 0.68 | 0.34 ± 0.02 | 0.38 ± 0.09 | 104 ± 4.6 | |
| Average | 7.68 ± 0.11 | 29.51 ± 0.45 | 4.70 ± 0.91 | 0.65 ± 0.30 | 38.28 ± 0.74 | 0.27 ± 0.06 | 0.44 ± 0.18 | 101.25 ± 3.4 |
Disclaimer/Publisher’s Note: The statements, opinions and data contained in all publications are solely those of the individual author(s) and contributor(s) and not of MDPI and/or the editor(s). MDPI and/or the editor(s) disclaim responsibility for any injury to people or property resulting from any ideas, methods, instructions or products referred to in the content. |
© 2026 by the authors. Licensee MDPI, Basel, Switzerland. This article is an open access article distributed under the terms and conditions of the Creative Commons Attribution (CC BY) license.
Share and Cite
Wongsnansilp, T.; Khamcharoen, M.; Boonrong, J.; Dejtisakdi, W. Using Phytoplankton as Bioindicators of Tourism Impact and Seasonal Eutrophication in the Andaman Sea (Koh Yaa, Thailand). Appl. Microbiol. 2026, 6, 15. https://doi.org/10.3390/applmicrobiol6010015
Wongsnansilp T, Khamcharoen M, Boonrong J, Dejtisakdi W. Using Phytoplankton as Bioindicators of Tourism Impact and Seasonal Eutrophication in the Andaman Sea (Koh Yaa, Thailand). Applied Microbiology. 2026; 6(1):15. https://doi.org/10.3390/applmicrobiol6010015
Chicago/Turabian StyleWongsnansilp, Tassnapa, Manoch Khamcharoen, Jaran Boonrong, and Wipawee Dejtisakdi. 2026. "Using Phytoplankton as Bioindicators of Tourism Impact and Seasonal Eutrophication in the Andaman Sea (Koh Yaa, Thailand)" Applied Microbiology 6, no. 1: 15. https://doi.org/10.3390/applmicrobiol6010015
APA StyleWongsnansilp, T., Khamcharoen, M., Boonrong, J., & Dejtisakdi, W. (2026). Using Phytoplankton as Bioindicators of Tourism Impact and Seasonal Eutrophication in the Andaman Sea (Koh Yaa, Thailand). Applied Microbiology, 6(1), 15. https://doi.org/10.3390/applmicrobiol6010015

