Research and Evaluation of Acoustic Panels from Clothing Industry Waste
Abstract
1. Introduction
2. Materials and Methods
- L2—sound level in the reverberation room without specimen in the test bench;
- L1—sound level in the reverberation room with specimen in test bench.
- ∆p—air pressure difference, across the test specimen with respect to the atmosphere, Pa;
- qv—volumetric airflow rate, passing through the test specimen, m3/s.
3. Results and Discussion
- Pre-consumer textile waste, that is, waste from the production process that has not yet been used by the end user, as spinning residues, weaving by-products, dyeing sludge, short fibers, garment cutting waste, defective products, surplus fabric rolls, deadstock from textile production, as well as trims, yarns, belt, buttons, and other items used in the manufacturing. His category also included items returned unused by the consumer to the retailer. Postindustrial textile is often used as synonymous with pre-consumer textile waste. Postindustrial textile waste refers to textile waste generated during the production of intermediate or final products in the textile and clothing industry. This category includes cutting scraps, rejected fabric batches, and off-spec garments that have not reached the customer;
- Post-consumer textile waste, that is, products that have already served their purpose for the end user and are discarded because they are no longer needed. This includes used clothing, used home textiles (furniture upholstery, curtains), or end-of-life industrial textile products;
- Textile process waste, i.e., waste generated during the manufacturing or processing of textile materials and products. This is waste from spinning, weaving, dyeing, finishing processes, and other by-products of textile production. This is a more general term that includes all waste from fiber to the final product in the production stages, with an emphasis on production processes. The generation of waste in textile and clothing production processes is inevitable, depending on the stage of production, it amounts to 5–20% [43,54,55], although, for example, leftovers can reach 40% of the total amount of fabric used in products [56].
4. Conclusions
Author Contributions
Funding
Institutional Review Board Statement
Data Availability Statement
Conflicts of Interest
References
- Manshoven, S.; Smeets, A.; Christis, M.; Duhoux, T.; Lingås, D.; Grossi, F.; Mortensen, L.F.; Clarke, J. Textiles and the Environment The Role of Digital Technologies in Europe’s Circular Economy; ETC CE Report 2025/6. Available online: https://www.eionet.europa.eu/etcs/etc-ce/products/etc-ce-report-2025-6-textiles-and-the-environment-2013-the-role-of-digital-technologies-in-europe2019s-circular-economy (accessed on 8 July 2025).
- European Parliament. The Impact of Textile Production and Waste on the Environment (Infographics). 2023. Available online: https://www.europarl.europa.eu/news/en/headlines/society/20201208STO93327/the-impact-of-737-textile-production-and-waste-on-the-environment-infographic (accessed on 8 July 2025).
- Niinimäki, K.; Peters, G.; Dahlbo, H.; Perry, P.; Rissanen, T.; Gwilt, A. The Environmental Price of Fast Fashion. Nat. Rev. Earth Environ. 2020, 1, 189–200. [Google Scholar] [CrossRef]
- Moazzem, S.; Crossin, E.; Daver, F. Environmental Impact of Apparel Supply Chain and Textile Products. Environ. Dev. Sustain. 2022, 24, 9757–9775. [Google Scholar] [CrossRef]
- Manshoven, S.; Smeets, A.; Malarciuc, C.; Tenhunen-Lunkka, A.; Mortensen, L.F. Microplastic Pollution from Textile Consumption in Europe; Eionet Report ETC/CE 2022/1; European Environment Agency (EEA): Copenhagen, Denmark, 2022. [Google Scholar]
- Duhoux, T.; Smeets, A.; Kress, L.; Mortensen, L.F. Measuring Europe’s Textiles Circularity—Through the Lenses of the EEA Circularity Metrics Lab; ETC CE Report 2025/7. Available online: https://www.eionet.europa.eu/etcs/etc-ce/products/etc-ce-report-2025-7-measuring-europe2019s-textiles-circularity-2013-through-the-lenses-of-the-eea-circularity-metrics-lab (accessed on 8 July 2025).
- Velmurugan, G.; Chohan, J.S.; Rupa, B.; Priyankka, A.L.; Thirunavukarasu, P.; Abinaya, M.; Jaswanth, V.; Kodanda Sai Anvesh, M.D.V. A Brief Analysis of the Production of Building Materials Utilizing Waste-Based Reinforcements and Recycled Textiles. Int. Res. J. Multidiscip. Technovation 2024, 6, 116–132. [Google Scholar] [CrossRef]
- The European Green Deal. COM(2019) 640 Final. Brussels. 11 December 2019. Available online: https://eur-lex.europa.eu/legal-content/EN/TXT/?uri=COM%3A2019%3A640%3AFIN (accessed on 8 July 2025).
- Updating the 2020 New Industrial Strategy: Building a Stronger Single Market for Europe’s Recovery. COM(2021) 350 Final. Brussels. 5 May 2021. Available online: https://eur-lex.europa.eu/legal-content/EN/TXT/?uri=COM%3A2021%3A350%3AFIN (accessed on 8 July 2025).
- United Nations. Transforming Our World: The 2030 Agenda for Sustainable Development, A/RES/70/1. Available online: https://sdgs.un.org/2030agenda (accessed on 8 July 2025).
- European Commission. EU Strategy for Sustainable and Circular Textiles. COM(2022) 141 Final. Brussels. 30 March 2022. Available online: https://environment.ec.europa.eu/publications/textiles-strategy_en (accessed on 8 July 2025).
- Das, A.K.; Hossain, M.F.; Khan, B.U.; Rahman, M.M.; Asad, M.A.Z.; Akter, M. Circular Economy: A Sustainable Model for Waste Reduction and Wealth Creation in the Textile Supply Chain. SPE Polym. 2025, 6, e10171. [Google Scholar] [CrossRef]
- Alves, D.I.; Barreiros, M.; Fangueiro, R.; Ferreira, D.P. Valorization of Textile Waste: Non-Woven Structures and Composites. Front. Environ. Sci. 2024, 12, 1365162. [Google Scholar] [CrossRef]
- Huang, X.; Tan, Y.; Huang, J.; Zhu, G.; Yin, R.; Tao, X.; Tian, X. Industrialization of Open- and Closed-Loop Waste Textile Recycling Towards Sustainability: A Review. J. Clean. Prod. 2024, 436, 140676. [Google Scholar] [CrossRef]
- Papamichael, I.; Voukkali, I.; Economou, F.; Loizia, P.; Demetriou, G.; Esposito, M.; Naddeo, V.; Liscio, M.C.; Sospiro, P.; Zorpas, A.A. Mobilisation of Textile Waste to Recover High Added Value Products and Energy for the Transition to Circular Economy. Environ. Res. 2024, 242, 117716. [Google Scholar] [CrossRef]
- Kamble, Z.; Behera, B.K. Upcycling Textile Wastes: Challenges and Innovations. Text. Prog. 2021, 53, 65–122. [Google Scholar] [CrossRef]
- Zhou, Q.; Le, Q.V.; Meng, L.; Yang, H.; Gu, H.; Yang, Y.; Peng, W. Environmental Perspectives of Textile Waste, Environmental Pollution and Recycling. Environ. Technol. Rev. 2022, 11, 62–71. [Google Scholar] [CrossRef]
- Lee, J.; Park, C.H.; Yun, C. Textile Waste Management and Its Sustainability: A Review. J. Mater. Cycles Waste Manag. 2025, 27, 2183–2197. [Google Scholar] [CrossRef]
- Aghimien, L.; Aghimien, E.; Aghimien, D. Where Should the Old Clothes Go? Promoting Circularity in Sub-Saharan Construction Through Textile Waste. Sustain. Dev. 2025, 33, 6436–6455. [Google Scholar] [CrossRef]
- United Nations Environment Programme; Global Alliance for Buildings and Construction. Global Status Report for Buildings and Construction. 2024. Available online: https://wedocs.unep.org/handle/20.500.11822/45095 (accessed on 8 July 2025).
- Sakthivel, S.; Kumar, S.S.; Melese, B.; Mekonnen, S.; Solomon, E.; Edae, A.; Abedom, F.; Gedilu, M. Development of Nonwoven Composites from Recycled Cotton/Polyester Apparel Waste Materials for Sound Absorbing and Insulating Properties. Appl. Acoust. 2021, 180, 108126. [Google Scholar] [CrossRef]
- El Messiry, M.; Ayman, Y. Investigation of Sound Transmission Loss of Natural Fiber/Rubber Crumbs Composite Panels. J. Ind. Text. 2022, 51, 5347S–5369S. [Google Scholar] [CrossRef]
- Yalcin-Enis, I.; Sezgin, H. Investigation of Structural Parameters of Acoustic Panels Produced from Post-Industrial Textile Wastes Containing Different Raw Materials. Prog. Rubber Plast. Recycling Technol. 2024, 40, 121–135. [Google Scholar] [CrossRef]
- Hassani, P.; Soltani, P.; Taban, E.; Amininasab, S. Development and Optimization of Sustainable High-Performance Acoustic and Fire Retardant Building Panels Using Recycled Discarded Denim. J. Build. Eng. 2024, 98, 111209. [Google Scholar] [CrossRef]
- Juciene, M.; Dobilaitė, V.; Albrektas, D.; Bliūdžius, R. Investigation and Evaluation of the Performance of Interior Finishing Panels Made from Denim Textile Waste. Text. Res. J. 2022, 92, 4666–4677. [Google Scholar] [CrossRef]
- Sezgin, H.; Kucukali-Ozturk, M.; Berkalp, O.B.; Yalcin-Enis, I. Design of Composite Insulation Panels Containing 100% Recycled Cotton Fibers and Polyethylene/Polypropylene Packaging Wastes. J. Clean. Prod. 2021, 304, 127132. [Google Scholar] [CrossRef]
- Ružickij, R.; Kizinievič, O.; Grubliauskas, R.; Astrauskas, T. Development of Composite Acoustic Panels of Waste Tyre Textile Fibres and Paper Sludge. Sustainability 2023, 15, 2799. [Google Scholar] [CrossRef]
- Buratti, C.; Belloni, E.; Lascaro, E.; Merli, F.; Ricciardi, P. Rice Husk Panels for Building Applications: Thermal, Acoustic and Environmental Characterization and Comparison with Other Innovative Recycled Waste Materials. Constr. Build. Mater. 2018, 171, 338–349. [Google Scholar] [CrossRef]
- Ricciardi, P.; Belloni, E.; Cotana, F. Innovative Panels with Recycled Materials: Thermal and Acoustic Performance and Life Cycle Assessment. Appl. Energy 2014, 134, 150–162. [Google Scholar] [CrossRef]
- Fontoba-Ferrándiz, J.; Juliá-Sanchis, E.; Crespo Amorós, J.; Segura Alcaraz, J.; Gadea Borrell, J.; Parres García, F. Panels of Eco-Friendly Materials for Architectural Acoustics. J. Compos. Mater. 2020, 54, 3743–3753. [Google Scholar] [CrossRef]
- Fridrichová, L.; Němeček, P.; Knížek, R.; Buczkowska, K.E. Opportunities to Use Textile Waste for the Production of Acoustic Panel Production. Text. Res. J. 2024, 94, 2667–2681. [Google Scholar] [CrossRef]
- Hassani, P.; Soltani, P.; Ghane, M.; Zarrebini, M. Porous Resin-Bonded Recycled Denim Composite as an Efficient Sound-Absorbing Material. Appl. Acoust. 2021, 173, 107710. [Google Scholar] [CrossRef]
- Raj, M.; Fatima, S.; Tandon, N. Recycled Materials as a Potential Replacement to Synthetic Sound Absorbers: A Study on Denim Shoddy and Waste Jute Fibers. Appl. Acoust. 2020, 159, 107070. [Google Scholar] [CrossRef]
- Islam, S.; El Messiry, M.; Sikdar, P.P.; Seylar, J.; Bhat, G. Microstructure and Performance Characteristics of Acoustic Insulation Materials from Post-Consumer Recycled Denim Fabrics. J. Ind. Text. 2022, 51, 6001S–6027S. [Google Scholar] [CrossRef]
- Dissanayake, D.G.K.; Weerasinghe, D.U.; Thebuwanage, L.M.; Bandara, U.A.A.N. An Environmentally Friendly Sound Insulation Material from Post-Industrial Textile Waste and Natural Rubber. J. Build. Eng. 2021, 33, 101606. [Google Scholar] [CrossRef]
- Rubino, C.; Liuzzi, S.; Stefanizzi, P.; Martellotta, F. Characterisation of Sustainable Building Materials Obtained from Textile Waste: From Laboratory Prototypes to Real-World Manufacturing Processes. J. Clean. Prod. 2023, 390, 136098. [Google Scholar] [CrossRef]
- Rubino, C.; Bonet Aracil, M.; Liuzzi, S.; Martellotta, F. Wool Waste Used as Sustainable Nonwoven for Building Applications. J. Clean. Prod. 2021, 278, 123905. [Google Scholar] [CrossRef]
- Rubino, C.; Bonet Aracil, M.A.; Gisbert-Payá, J.; Liuzzi, S.; Stefanizzi, P.; Zamorano Cantó, M.; Martellotta, F. Composite Eco-Friendly Sound Absorbing Materials Made of Recycled Textile Waste and Biopolymers. Materials 2019, 12, 4020. [Google Scholar] [CrossRef]
- Rubino, C.; Bonet Aracil, M.A.; Liuzzi, S.; Martellotta, F. Preliminary Investigation on the Acoustic Properties of Absorbers Made of Recycled Textile Fibers. In Proceedings of the the 23rd International Congress on Acoustics, Aachen, Germany, 9–13 September 2019; pp. 3450–3457. [Google Scholar] [CrossRef]
- Neri, M.; Levi, E.; Cuerva, E.; Pardo-Bosch, F.; Zabaleta, A.G.; Pujadas, P. Sound Absorbing and Insulating Low-Cost Panels from End-of-Life Household Materials for the Development of Vulnerable Contexts in a Circular Economy Perspective. Appl. Sci. 2021, 11, 5372. [Google Scholar] [CrossRef]
- Dama, A.; Khoshtinat, S.; Alongi, A.; Marano, C.; Angelotti, A. Hygro-Thermal and Acoustic Performances of Recycled Textile-Based Materials for Building Applications. Dev. Built Environ. 2025, 22, 100657. [Google Scholar] [CrossRef]
- Siltumens, K.; Grinfelde, I.; Znots, G.; Golubovs, R.; Brencis, R. Recycling of Textile Waste into Sound-Absorbing Acoustic Plates. Environ. Technol. Res. 2024, 3, 295–299. [Google Scholar] [CrossRef]
- El Messiry, M.; Eid, E.; Ayman, Y. Sound Contour Map of Absorber Panels from Industrial Spinning and Weaving Wastes. J. Ind. Text. 2024, 54, 1–30. [Google Scholar] [CrossRef]
- Trajković, D.; Jordeva, S.; Tomovska, E.; Zafirova, K. Polyester Apparel Cutting Waste as Insulation Material. J. Text. Inst. 2017, 108, 1238–1245. [Google Scholar] [CrossRef]
- Alves, D.I.; Carvalho, Ó.; Fernandes, N.A.T.C.; Cosentino, L.T.; Paula Junior, A.C.; Fangueiro, R.; Ferreira, D.P. Upcycling of Industrial Footwear Waste into Nonwoven Fibrous Structures with Thermal and Acoustic Insulation Properties. J. Environ. Manag. 2024, 363, 121363. [Google Scholar] [CrossRef]
- Antolinc, D.; Filipič, K.E. Recycling of Nonwoven Polyethylene Terephthalate Textile into Thermal and Acoustic Insulation for More Sustainable Buildings. Polymers 2021, 13, 3090. [Google Scholar] [CrossRef]
- Sezgin, H. Innovating Sustainability: A Holistic Approach to Insulation Panel Design from Woven Sewn-in Label Selvedge Wastes. J. Text. Inst. 2024, 116, 2031–2037. [Google Scholar] [CrossRef]
- Vėjelis, S.; Vaitkus, S.; Kremensas, A.; Kairytė, A.; Šeputytė-Jucikė, J. Reuse of Textile Waste in the Production of Sound Absorption Boards. Materials 2023, 16. [Google Scholar] [CrossRef]
- Islam, S.; Bhat, G. Environmentally-Friendly Thermal and Acoustic Insulation Materials from Recycled Textiles. J. Environ. Manag. 2019, 251, 109536. [Google Scholar] [CrossRef]
- ISO 7235:2003; Laboratory Measurement Procedures for Ducted Silencers and Air-Terminal Units Insertion Loss, Flow Noise and Total Pressure Loss. International Organization for Standardization: Geneva, Switzerland, 2003.
- ISO 5135:2020; Determination of Sound Power Levels of Noise from Air-Terminal Devices, Air-Terminal Units, Dampers and Valves by Measurement in a Reverberation Test Room. International Organization for Standardization: Geneva, Switzerland, 2020.
- ISO 9053-1:2018; Determination of Airflow Resistance. Part 1: Static Airflow Method. International Organization for Standardization: Geneva, Switzerland, 2018.
- ISO 5157:2022; Environmental Aspects. Vocabulary. International Organization for Standardization: Geneva, Switzerland, 2022.
- Dobilaite, V.; Mileriene, G.; Juciene, M.; Saceviciene, V. Investigation of Current State of Pre-Consumer Textile Waste Generated at Lithuanian Enterprises. Int. J. Cloth. Sci. Technol. 2017, 29, 491–503. [Google Scholar] [CrossRef]
- Schmutz, M.; Som, C. Identifying the Potential for Circularity of Industrial Textile Waste Generated Within Swiss Companies. Resour. Conserv. Recycl. 2022, 182, 106132. [Google Scholar] [CrossRef]
- Aus, R.; Moora, H.; Vihma, M.; Unt, R.; Kiisa, M.; Kapur, S. Designing for Circular Fashion: Integrating Upcycling into Conventional Garment Manufacturing Processes. Fash. Text. 2021, 8, 34. [Google Scholar] [CrossRef]
- Huygens, D.; Foschi, J.; Caro, D.; Patinha Caldeira, C.; Faraca, G.; Foster, G.; Solis, M.; Marschinski, R.; Napolano, L.; Fruergaard Astrup, T.; et al. Techno-Scientific Assessment of the Management Options for Used and Waste Textiles in the European Union; Publications Office of the European Union: Luxembourg, 2023. [Google Scholar] [CrossRef]
- Lim, J.; Choi, J.; Won, A.; Kim, M.; Kim, S.; Yun, C. Cause of Microfibers Found in the Domestic Washing Process of Clothing: Focusing on the Manufacturing, Wearing, and Washing Processes. Fash. Text. 2022, 9, 24. [Google Scholar] [CrossRef]
- Akyildiz, S.H.; Sezgin, H.; Özen, M.S.; Enis, I.Y. Upcycling Microfiber Waste from Wastewater into Acoustic Panels: A Sustainable Solution for Sound Absorption. Environ. Res. Lett. 2024, 20, 054010. [Google Scholar] [CrossRef]















| No | Specimen/Material Type | Description of Specimen | |
|---|---|---|---|
| 1 | M1 | Knitted or woven fabric![]() | Knitted fabric, surface density 225 g/m2, composition: 85% Recycled Polyester, 15% Elastane. Panel was made from square-cut scraps, ranging in area from 0.5 to 1.5 cm2, panel thickness ~1.65 cm, density 491 kg/m3. |
| 2 | M2 | ![]() | Knitted fabric, surface density 270 g/m2, composition: 94% Polyester, 6% Polyurethane. Panel was made from square-cut scraps, ranging in area from 0.5 to 1.5 cm2, panel thickness ~1.74 cm, density 402 kg/m3. |
| 3 | M3 | ![]() | Woven fabric, surface density 144 g/m2, composition: 85% Recycled Polyester, 15% Elastane. Panel was made from square-cut scraps, ranging in area from 0.5 to 1.5 cm2, panel thickness ~1.53 cm, density 464 kg/m3. |
| 4 | M4 | ![]() | Knitted fabric, surface density 190 g/m2, composition: 78% Recycled Polyester, 22% Elastane. Panel was made from square-cut scraps, ranging in area from 0.5 to 1.5 cm2, panel thickness ~1.40 cm, density 509 kg/m3. |
| 5 | M5 | ![]() | Knitted fabric, surface density 139 g/m2, composition: 92% Recycled coffee ground Polyester, 8% Spandex. Panel was made from square-cut scraps, ranging in area from 0.5 to 1.5 cm2, panel thickness ~1.60 cm, density 474 kg/m3. |
| 6 | L1 | Flax![]() | Panel made from Flax fibers with lengths ranging from 1 to 5 cm, panel thickness ~1.40 cm, density 559 kg/m3. |
| 7 | L2 | ![]() | Panel made from Flax thread with lengths ranging from 1 to 5 cm, panel thickness ~1.17 cm, density 540 kg/m3. |
| 8 | L3 | ![]() | Woven fabric, composition 100% Flax, surface density 182 g/m2. Panel was made from square-cut scraps, ranging in area from 0.5 to 1.5 cm2, panel thickness ~1.45 cm, density 546 kg/m3. |
| 9 | D1 | Denim![]() | Panel made from cotton thread with lengths ranging from 1 to 5 cm, panel thickness ~0.87 cm, density 511 kg/m3. |
| 10 | P1 | Paper![]() | Paper, surface density 100 g/m2. Panel was made from square-cut scraps, ranging in area from 0.5 to 1.5 cm2, panel thickness ~1.40 cm, density 617 kg/m3. |
| 11 | P2 | Paper + textile![]() | Panel was made from 50% Paper and 50% Knitted fabric (85% Recycled Polyester, 15% Elastane, surface density 225 g/m2). Panel was made from square-cut scraps, ranging in area from 0.5 to 1.5 cm2, panel thickness ~1.62 cm, density 504 kg/m3. |
| 12 | P3 | ![]() | Panel was made from 50% Paper and 50% Knitted fabric (78% Recycled Polyester, 22% Elastane, surface density 190 g/m2). Panel was made from square-cut scraps, ranging in area from 0.5 to 1.5 cm2, panel thickness ~1.58 cm, density 522 kg/m3. |
| 13 | P4 | ![]() | Panel was made from 50% Paper and 50% Knitted fabric (94% Polyester, 6% Polyurethane, surface density 270 g/m2). Panel was made from square-cut scraps, ranging in area from 0.5 to 1.5 cm2, panel thickness ~1.57 cm, density 478 kg/m3. |
| 14 | P5 | ![]() | Panel was made from 50% Paper and 50% Woven fabric (85% Recycled Polyester, 15% Elastane, surface density 144 g/m2). Panel was made from square-cut scraps, ranging in area from 0.5 to 1.5 cm2, panel thickness ~1.73 cm, density 531 kg/m3. |
| 15 | P6 | ![]() | Panel was made from 50% Paper and 50% Knitted fabric (92% Recycled coffee ground Polyester, 8% Spandex, surface density 139 g/m2). Panel was made from square-cut scraps, ranging in area from 0.5 to 1.5 cm2, panel thickness ~1.46 cm, density 510 kg/m3. |
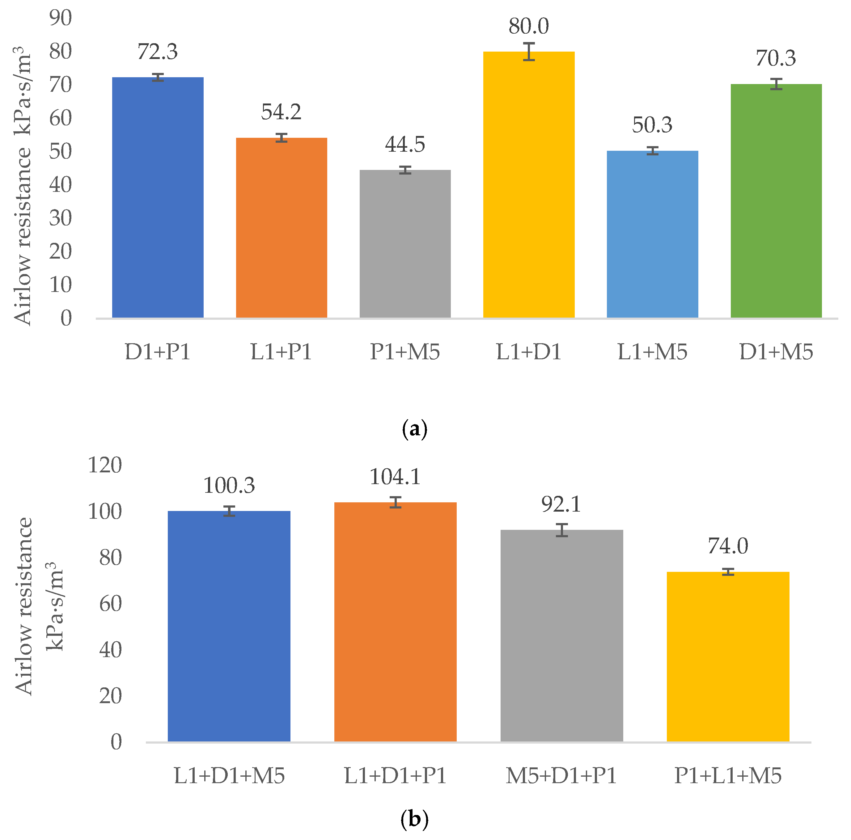
| Double Specimen | Triple Specimen |
|---|---|
| D1 + P1 | L1 + D1 + M5 |
| L1 + P1 | L1 + D1 + P1 |
| P1 + M5 | M5 + D1 + P1 |
| L1 + D1 | P1 + L1 + M5 |
| L1 + M5 | ─ |
| D1 + M5 | ─ |
Disclaimer/Publisher’s Note: The statements, opinions and data contained in all publications are solely those of the individual author(s) and contributor(s) and not of MDPI and/or the editor(s). MDPI and/or the editor(s) disclaim responsibility for any injury to people or property resulting from any ideas, methods, instructions or products referred to in the content. |
© 2026 by the authors. Licensee MDPI, Basel, Switzerland. This article is an open access article distributed under the terms and conditions of the Creative Commons Attribution (CC BY) license.
Share and Cite
Jucienė, M.; Dobilaitė, V.; Miškinis, K.; Paukštys, V. Research and Evaluation of Acoustic Panels from Clothing Industry Waste. Textiles 2026, 6, 11. https://doi.org/10.3390/textiles6010011
Jucienė M, Dobilaitė V, Miškinis K, Paukštys V. Research and Evaluation of Acoustic Panels from Clothing Industry Waste. Textiles. 2026; 6(1):11. https://doi.org/10.3390/textiles6010011
Chicago/Turabian StyleJucienė, Milda, Vaida Dobilaitė, Kęstutis Miškinis, and Valdas Paukštys. 2026. "Research and Evaluation of Acoustic Panels from Clothing Industry Waste" Textiles 6, no. 1: 11. https://doi.org/10.3390/textiles6010011
APA StyleJucienė, M., Dobilaitė, V., Miškinis, K., & Paukštys, V. (2026). Research and Evaluation of Acoustic Panels from Clothing Industry Waste. Textiles, 6(1), 11. https://doi.org/10.3390/textiles6010011
















