The Modeling of Perovskite Materials CsPbX3 (X = I, Br) by Changing the Concentration of Halide: Experimental and DFT Study
Abstract
1. Introduction
2. Materials and Methods
2.1. Experimental Details
2.2. Computational Details
3. Results and Discussion
3.1. Experimental Part
3.2. Analysis of SEM Images
3.3. Analysis of XRD Patterns
3.4. Transmittance Plots
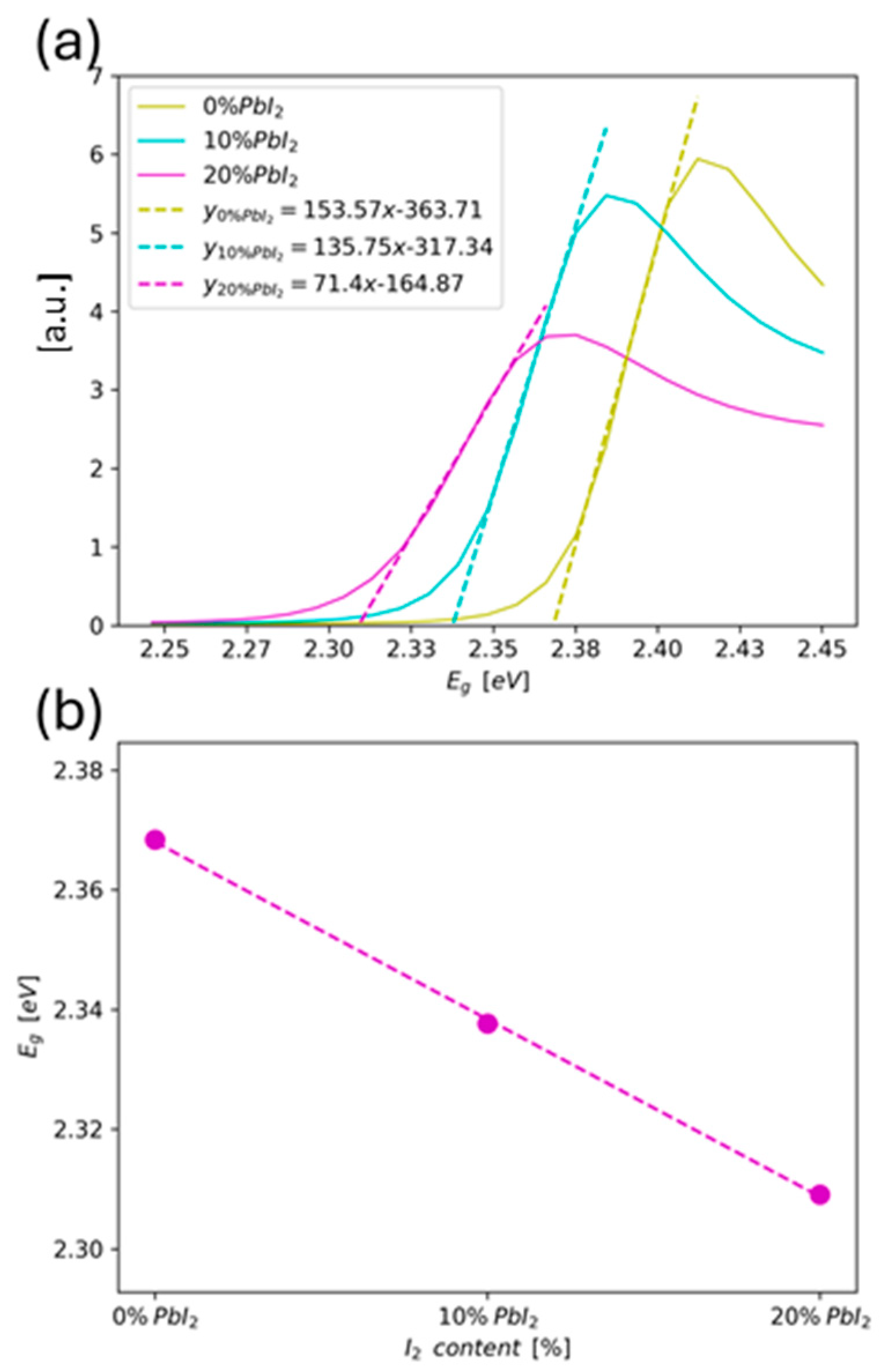
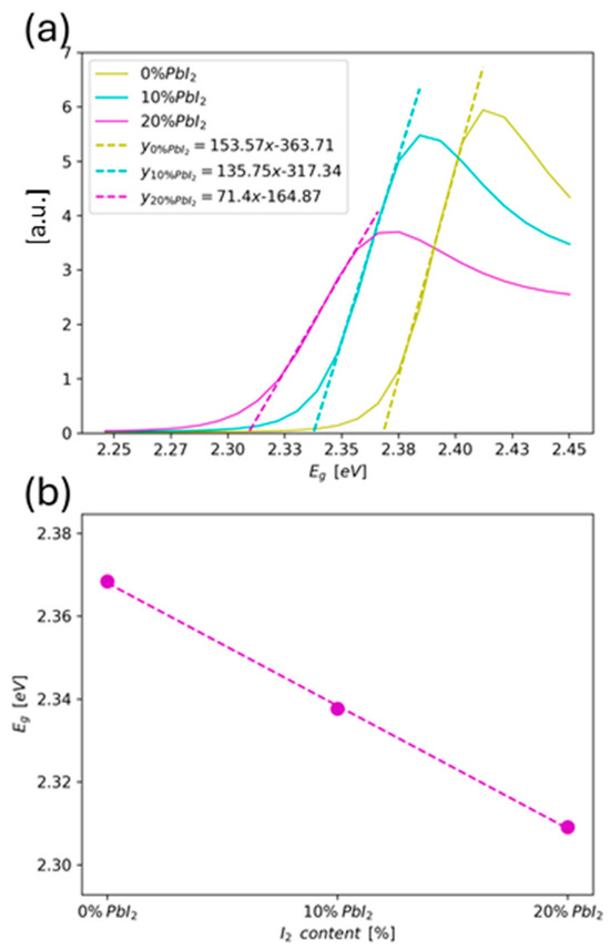
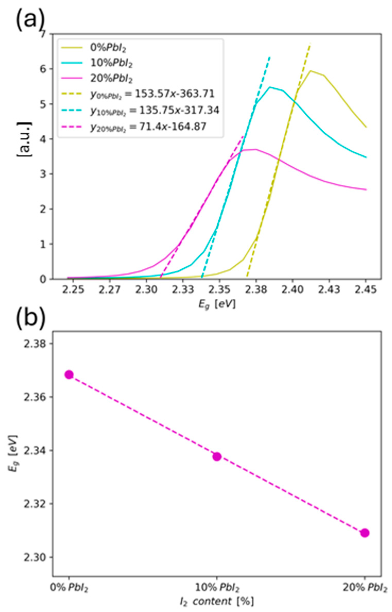
3.5. Band Gap Analysis
3.6. Summary of Experimental Part
3.7. Computational Part
3.8. Influence of Chemical Composition on Unit Cell Parameters
3.9. Density of States
4. Conclusions
Supplementary Materials
Author Contributions
Funding
Data Availability Statement
Acknowledgments
Conflicts of Interest
References
- Victoria, M.; Haegel, N.; Peters, I.M.; Sinton, R.; Jäger-Waldau, A.; del Cañizo, C.; Breyer, C.; Stocks, M.; Blakers, A.; Kaizuka, I.; et al. Solar photovoltaics is ready to power a sustainable future. Joule 2021, 5, 1041–1056. [Google Scholar] [CrossRef]
- Tan, W.H.; Mohamad-Saleh, J. Critical Review on Interrelationship of Electro-Devices in PV Solar Systems with Their Evolution and Future Prospects for MPPT Applications. Energies 2023, 16, 850. [Google Scholar] [CrossRef]
- Blakers, A.; Zin, N.; McIntosh, K.R.; Fong, K. High Efficiency Silicon Solar Cells. Energy Procedia 2013, 33, 1–10. [Google Scholar] [CrossRef]
- Lee, Y.J.; Kim, B.S.; Ifitiquar, S.M.; Park, C.; Yi, J. Silicon solar cells: Past, present and the future. J. Korean Phys. Soc. 2014, 65, 355–361. [Google Scholar] [CrossRef]
- Riede, M.; Spoltore, D.; Leo, K. Organic Solar Cells—The Path to Commercial Success. Adv. Energy Mater. 2020, 11, 2002653. [Google Scholar] [CrossRef]
- Zhou, D.; Zhou, T.; Tian, Y.; Zhu, X.; Tu, Y. Perovskite-Based Solar Cells: Materials, Methods, and Future Perspectives. J. Nanomater. 2018, 2018, 8148072. [Google Scholar] [CrossRef]
- Zhang, J.; Hodes, G.; Jin, Z.; Liu, S. All-Inorganic CsPbBr3 Perovskite Solar Cells: Progress and Prospects. J. Ger. Chem. Soc. 2019, 58, 15596–15618. [Google Scholar]
- Sato, T.; Takagi, S.; Deledda, S.; Hauback, B.C.; Orimo, S.I. Extending the applicability of the Goldshmidt tolerance factor to arbitrary ionic compounds. Nat. Sci. Rep. 2016, 6, 2359. [Google Scholar]
- Li, Z.; Yang, M.; Park, J.S.; Wei, S.H.; Berry, J.J.; Zhu, K. Stabilizing Perovskite Structures by Tuning Tolerance Factor: Formation of Formamidinium and Cesium Lead Iodide Solid-State Alloys. Chem. Mater. 2016, 28, 284–292. [Google Scholar] [CrossRef]
- Bartel, C.J.; Sutton, C.; Goldsmith, B.R.; Ouyang, R.; Musgrave, C.B.; Ghiringhelli, L.M.; Scheffler, M. New tolerance factor to predict the stability of perovskite oxides and halides. Sci. Adv. 2019, 5, eaav0693. [Google Scholar] [CrossRef]
- Zhang, W.; Liu, X.; He, B.; Zhu, J.; Li, X.; Shen, K.; Chen, H.; Duan, Y.; Tang, Q. Enhanced Efficiency of Air-Stable CsPbBr3 Perovskite Solar Cells by Defect Dual Passivation and Grain Size Enlargement with a Multifunctional Additive. Appl. Mater. Interfaces 2020, 12, 36092–36101. [Google Scholar] [CrossRef] [PubMed]
- Hoffman, J.B.; Schleper, A.L.; Kamat, P.V. Transformation of Sintered CsPbBr3 Nanocrystals to Cubic CsPbI3 and Gradient CsPbBrxI3−x through Halide Exchange. J. Am. Chem. Soc. 2016, 138, 8603–8611. [Google Scholar] [CrossRef] [PubMed]
- Li, Z.; Jin, Z. HI hydrolysis-derived intermediate as booster for CsPbI3 perovskite: From crystal structure, film fabrication to device performance. J. Semicond. 2020, 41, 051202. [Google Scholar] [CrossRef]
- Jiang, M.; Hu, Z.; Ono, L.K.; Qi, Y. CsPbBrxI3−x thin films with multiple ammonium ligands for low turn-on pure-red perovskite light-emitting diodes. Nano Res. 2020, 14, 191–197. [Google Scholar] [CrossRef]
- Perdew, J.P.; Burke, K.; Ernzerhof, M. Generalized gradient approximation made simple. Phys. Rev. Lett. 1996, 77, 3865–3868. [Google Scholar] [CrossRef] [PubMed]
- Grimme, S. Semiempirical GGA-type density functional constructed with a long-range dispersion correction. J. Comput. Chem. 2006, 27, 1787–1799. [Google Scholar] [CrossRef]
- Kühne, T.D.; Iannuzzi, M.; Del Ben, M.; Rybkin, V.V.; Seewald, P.; Stein, F.; Laino, T.; Khaliullin, R.Z.; Schütt, O.; Schiffmann, F.; et al. CP2K: An electronic structure and molecular dynamics software package—Quickstep: Efficient and accurate electronic structure calculations. J. Chem. Phys. 2020, 152, 194103. [Google Scholar] [CrossRef] [PubMed]
- Hutter, J.; Iannuzzi, M.; Schiffmann, F.; VandeVondele, J. CP2K: Atomistic simulations of condensed matter systems. WIREs Comput. Mol. Sci. 2014, 4, 15–25. [Google Scholar] [CrossRef]
- Chen, Z.; Gu, Z.; Fu, W.; Wang, F.; Zhang, J. A Confined Fabrication of Perovskite Quantum Dots in Oriented MOF Thin Film. ACS Appl. Mater. Interfaces 2016, 8, 28737–28742. [Google Scholar] [CrossRef]
- Li, Z.; Yu, C.; Wen, Y.; Wei, Z.; Chu, J.; Xing, X.; Zhang, X.; Hu, M.; He, M. MOF-Confined Sub-2 nm Stable CsPbX3 Perovskite Quantum Dots. Nanomaterials 2019, 9, 1147. [Google Scholar] [CrossRef]
- Shu, B.; Chang, Y.; Dong, L.; Chen, L.; Wang, H.; Yang, S.; Zhang, J.; Cheng, X.; Yu, D. Highly stable CsPbBr3 perovskite dots incorporated in aliminum stearate. J. Lumin. 2021, 234, 117962. [Google Scholar] [CrossRef]
- Protesescu, L.; Calbo, J.; Williams, K.; Tisdale, W.; Walsh, A.; Dincă, M. Colloidal nano-MOFs nucleato and stabilize ultra-small quantum dots of lead bromide perovskites. Chem. Sci. 2021, 12, 6129–6135. [Google Scholar] [CrossRef] [PubMed]















| PbI2 Concentration [%] | Eg [eV] |
|---|---|
| 0 | 2.368 |
| 10 | 2.338 |
| 20 | 2.309 |
Disclaimer/Publisher’s Note: The statements, opinions and data contained in all publications are solely those of the individual author(s) and contributor(s) and not of MDPI and/or the editor(s). MDPI and/or the editor(s) disclaim responsibility for any injury to people or property resulting from any ideas, methods, instructions or products referred to in the content. |
© 2025 by the authors. Licensee MDPI, Basel, Switzerland. This article is an open access article distributed under the terms and conditions of the Creative Commons Attribution (CC BY) license (https://creativecommons.org/licenses/by/4.0/).
Share and Cite
Mikłas, A.; Starowicz, Z.; Lipiński, M.; Wójcik, M.J.; Nakajima, T.; Brela, M.Z. The Modeling of Perovskite Materials CsPbX3 (X = I, Br) by Changing the Concentration of Halide: Experimental and DFT Study. Physchem 2025, 5, 3. https://doi.org/10.3390/physchem5010003
Mikłas A, Starowicz Z, Lipiński M, Wójcik MJ, Nakajima T, Brela MZ. The Modeling of Perovskite Materials CsPbX3 (X = I, Br) by Changing the Concentration of Halide: Experimental and DFT Study. Physchem. 2025; 5(1):3. https://doi.org/10.3390/physchem5010003
Chicago/Turabian StyleMikłas, Alicja, Zbigniew Starowicz, Marek Lipiński, Marek J. Wójcik, Takahito Nakajima, and Mateusz Z. Brela. 2025. "The Modeling of Perovskite Materials CsPbX3 (X = I, Br) by Changing the Concentration of Halide: Experimental and DFT Study" Physchem 5, no. 1: 3. https://doi.org/10.3390/physchem5010003
APA StyleMikłas, A., Starowicz, Z., Lipiński, M., Wójcik, M. J., Nakajima, T., & Brela, M. Z. (2025). The Modeling of Perovskite Materials CsPbX3 (X = I, Br) by Changing the Concentration of Halide: Experimental and DFT Study. Physchem, 5(1), 3. https://doi.org/10.3390/physchem5010003

