Next Article in Journal
Predicting Surface Roughness and Grinding Forces in UNS S34700 Steel Grinding: A Machine Learning and Genetic Algorithm Approach to Coolant Effects
Previous Article in Journal
Mitigation of Acid Mine Drainage Using Blended Waste Rock in Near-Equatorial Climates—Geochemical Analysis and Column Leaching Tests
 
 
Font Type:
Arial Georgia Verdana
Font Size:
Aa Aa Aa
Line Spacing:
Column Width:
Background:
Article

Substituent Effects on the Photophysical Properties of a Series of 8(meso)-Pyridyl-BODIPYs: A Computational Analysis of the Experimental Data †

by
Petia Bobadova-Parvanova
1,*,
Dylan Goliber
1,
Elijuah Hernandez
1,
Daniel LaMaster
2 and
Maria da Graça H. Vicente
3
1
Department of Chemistry and Fermentation Sciences, Appalachian State University, Boone, NC 28608, USA
2
Department of Chemistry, Talladega College, Talladega, AL 35160, USA
3
Department of Chemistry, Louisiana State University, Baton Rouge, LA 70803, USA
*
Author to whom correspondence should be addressed.
Part of the material was presented at the ACS National Meeting, New Orleans, LA, USA, 17–21 March 2024, 22nd MERCURY Conference, Merced, CA, USA, 14–19 July 2024, and 75th SERMACS, Atlanta, GA, USA, 23–26 October 2024.
Physchem 2024, 4(4), 483-494; https://doi.org/10.3390/physchem4040034
Submission received: 4 October 2024 / Revised: 7 November 2024 / Accepted: 14 November 2024 / Published: 29 November 2024
(This article belongs to the Section Photophysics, Photochemistry and Photobiology)

Abstract

Recently, a series of 8(meso)-pyridyl-BODIPYs (2-pyridyl, 3-pyridyl, and 4-pyridyl) and their 2,6-substituted derivatives were synthesized and their structure and photophysical properties were studied both experimentally and computationally. One of the main observed trends was that the 2-pyridyl-BODIPYs were consistently less fluorescent than their 3-pyridyl and 4-pyridyl analogs, regardless of the 2,6-substituents. Herein, we extend our previous computational studies and model not only the ground but also the excited states of the entire series of previously synthesized meso-pyridyl-BODIPYs with the aim of explaining the observed differences in the emission quantum yields. To better understand the trends and the effect of 2- and 2,6-substitution on the photophysical and electron-density-related properties, we also model the ground and excited states of BODIPYs that were not synthesized experimentally, however represent a logical part of the series. We calculate a variety of molecular properties and propose that the experimentally observed low quantum yields for all 2-pyridyl-BODIPYs could be due to the very flat potential energy surfaces with respect to the rotation of the 2-pyridyl ring in the excited states, and the stability of a non-planar and significantly less fluorescent meso-2-pyridyl-BODIPY structure.

1. Introduction

Boron dipyrromethene (BODIPY)-based fluorophores have attracted significant research attention in the last several decades [1,2,3,4,5,6] and have found a wide range of applications, including as medical imaging agents [7,8,9,10], biological labels [11,12], photosensitizers in cancer therapy [13,14,15], fluorescence switches [16,17], and laser dyes [18,19,20]. They have been shown to exhibit excellent physicochemical properties, among which are sharp absorption and emission bands in the visible region, high-fluorescence quantum yields, and high photo- and chemical stability [1,2,3,4,5,6]. One of the major advantages of BODIPYs is that they can be functionalized at all the carbon atoms and at the boron center (Figure 1), enabling the fine tuning of their chemical and photophysical properties toward a particular application [4,5,20,21]. This is particularly interesting from a computational chemistry point of view because the design and synthesis of BODIPY fluorophores with pre-determined physicochemical properties could be greatly simplified if it is possible to find a molecular descriptor that is related to the property of interest [22].
Of the various BODIPY derivatives, 8(meso)-pyridyl-substituted BODIPYs have attracted research interest because of the straightforward protonation or alkylation of the pyridyl groups, which allows the synthesis of low-molecular-weight water-soluble fluorescent dyes [23,24]. Recently, a series of meso-(2-, 3-, and 4-pyridyl)-BODIPYs (Figure 2) and their 2- and 2,6-substituted analogs was studied both experimentally and computationally [25,26]. The electron-withdrawing chloro-, nitro-, and methoxycarbonyl groups were used and their effect on the photophysical properties of the respective dyes were studied systematically. One of the main observed trends was that the 2-pyridyl-BODIPYs were consistently less fluorescent that their 3- and 4-pyridyl analogs. The reason for this interesting behavior was not found. Furthermore, the change in photophysical properties with the substitution of each electron-withdrawing group varied substantially. The introduction of a chloro substituent increased the fluorescence quantum yield, while the introduction of a nitro substituent quenched the fluorescence.
Herein, we extend our previous computational studies and model not only the ground but also the excited states of the entire series of previously synthesized meso-(2-, 3-, and 4-pyridyl)-BODIPYs with the aim to explain the observed drastic differences in the emission quantum yields of the dyes. To better understand the trends and the effect of 2- and 2,6-substitution on their photophysical and electron-density related properties, we also model the ground and excited states of compounds not yet synthesized experimentally, however represents a logical part of the series. These are the mono- or di-substituted analogs of the experimentally synthesized compounds, and BODIPYs with R1,2 = CF3, as a strongly σ-bond electron-withdrawing group. Thus, the entire series studied includes nPy, nPyCl, nPyCl2, nPyNO2, nPy(NO2)2, nPyCO2Me, nPy(CO2Me)2, nPyCF3, and nPy(CF3)2, where n = 2, 3, 4. Among these, the nPy, the mono-substituted nPyNO2, and the di-substituted nPyCl2 and nPy(CO2Me)2 have been previously synthesized experimentally and reported in Refs. [25,26]. To analyze the effect of meso-pyridyl substitution, we also included the meso-phenyl analogs Phe, PheCl, PheCl2, PheNO2, Phe(NO2)2, PheCO2Me, Phe(CO2Me)2, PheCF3, and Phe(CF3)2.

2. Computational Methods

The geometries of the ground and excited states of all compounds studied were optimized without symmetry constraints at the cam-b3lyp [27] /6-31+G(d,p) level in vacuum. Not including the solvent effects in the calculations could be considered a limitation. However, a previous detailed study has shown that using the cam-b3lyp [27] /6-31+G(d,p) level in vacuum correctly reproduced the experimental trends and the ordering of the molecular orbitals in meso-(4-pyridyl)-BODIPYs [23].
The UV-vis absorption and emission data were calculated using the TD-DFT [28] /cam-b3lyp/6-31+G(d,p) method in vacuum. The range-separated cam-b3lyp functional was used to capture the long-range interactions in the transitions between the BODIPY core and the pyridyl ring. The first three singlet excitations were considered, and the lowest-energy excited singlet state was optimized to calculate the energies, atomic charges, dipole moments, maximum emission wavelengths, and the other properties reported in this manuscript. The potential energy minima of the ground and excited states were confirmed with frequency calculations.
All calculations were performed using the Gaussian 09 program package [29].

3. Results and Discussion

3.1. Photophysical Properties

The calculated photophysical properties of the entire series of meso-(2-, 3-, and 4-pyridyl)-BODIPYs are presented in Table 1. The experimentally measured data are given when available. The dominant transition for all studied BODIPYs is S0→S1. The next singlet excited state is more than 0.9 eV higher in energy and, therefore, has minimal contribution. A previously study from our laboratory [25,26] reported that the experimentally measured maximum absorption ( λ a b s ) and emission ( λ e m ) wavelengths for nPy, nPyNO2, nPyCl2, and nPy(CO2Me)2 are almost identical within a given n = 2, 3, 4 series bearing the same 2,6-substituents. It was determined that this was related to the almost identical HOMO-LUMO gaps of the ground states for a given series. As seen in Table 1, the newly calculated hypothetical compounds nPyCl, nPy(NO2)2, nPyCO2Me, nPyCF3, and nPy(CF3)2, where n = 2, 3, 4, show similar trends— λ a b s and λ e m are almost identical within a given n = 2, 3, 4 series. It is hypothesized that such trends will be observed regardless of the 2,6-substituents on the meso-(2-, 3-, and 4-pyridyl)-BODIPYs.
As could be expected, the computationally determined λ a b s and λ e m are significantly blue-shifted, as a known tendency of TD-DFT methods to overestimate singlet-singlet excitation energies [30,31]. However, the similarities in the experimentally observed λ a b s and λ e m within a series correlate very well with the similarities in the TD-DFT computational values. In addition, the experimentally observed red-shifts upon chlorination and blue-shifts upon nitration are in agreement with the calculated λ a b s and λ e m values. All these suggest that the computed λ a b s and λ e m can be used to determine the observed trends in the experimental data.
As previously observed [25,26], the experimental fluorescence properties of meso-(2-, 3-, and 4-pyridyl)-BODIPYs largely depend on the relative position of the nitrogen atom on the pyridine ring. The meso-(2-pyridyl)-BODIPY derivatives consistently show the lowest fluorescence quantum yields within an n = 1, 2, 3 series. This trend is valid in all experimentally observed values and is regardless of the substituents at the 2,6-positions. We will attempt to explain this phenomenon in the next sections.
Table 1. Experimental and calculated photophysical properties of meso-(2-, 3-, and 4-pyridyl)-BODIPYs: maximum absorption wavelength ( λ a b s ), oscillator strength (f), maximum emission wavelength ( λ e m ), and quantum yield ( Φ ).
Table 1. Experimental and calculated photophysical properties of meso-(2-, 3-, and 4-pyridyl)-BODIPYs: maximum absorption wavelength ( λ a b s ), oscillator strength (f), maximum emission wavelength ( λ e m ), and quantum yield ( Φ ).
meso-BODIPY λ a b s (nm)f λ e m (nm)Φ
expcalc expcalc
Phe501 (498) a4140.539505 (508) a4260.56 (0.65) a
2Py502 b4160.542514 b4410.04 b
3Py502 b4160.542514 b4290.43 b
4Py501 b4150.543515 b4280.31 b
PheCl 4340.508 437
2PyCl 4240.552 446
3PyCl 4240.551 441
4PyCl 4230.551 443
PheCl2 4300.561 447
2PyCl2530 b4320.565545 b4550.17 b
3PyCl2527 b4320.565542 b4520.58 b
4PyCl2528 b4320.566546 b4540.58 b
PheNO2 4050.659 425
2PyNO2491 c4080.655509 c4360.05 c
3PyNO2491 c4070.656507 c4290.25 c
4PyNO2490 c4060.660508 c4310.26 c
Phe(NO2)2 4090.677 434
2Py(NO2)2 4130.673 4430.13
3Py(NO2)2 4120.675 4380.28
4Py(NO2)2 4120.676 4400.36
PheCO2Me 4100.658 427
2PyCO2Me 4130.658 4410.21
3PyCO2Me 4130.659 4310.61
4PyCO2Me 4120.661 4350.39
Phe(CO2Me)2 4100.791 426
2Py(CO2Me)2501 c4130.797515 c4360.09
3Py(CO2Me)2501 b4130.793512 c4300.61
4Py(CO2Me)2500 b4120.794510 c4340.43
PheCF3 4070.594 425
2PyCF3 4090.596 437
3PyCF3 4090.597 429
4PyCF3 4080.599 432
Phe(CF3)2 4040.6605 424
2Py(CF3)2 4060.6639 434
3Py(CF3)2 4060.6645 428
4Py(CF3)2 4060.667 418
a From Ref. [32] in THF and Ref. [1] in methanol. b From Ref. [25] in acetonitrile. c From Ref. [26] in acetonitrile.

3.2. Electron-Density-Related Properties of the Ground and Excited States

The apparent difference between meso-(2-pyridyl)- and meso-(3-, and 4-pyridyl)-BODIPYs is the closer proximity of the nitrogen atom to the BODIPY core in the former compounds. The different positions of the nitrogen atom in the pyridyl group result in different strengths of the electron-withdrawing effect of the pyridyl nitrogen and different electron densities in these compounds. To evaluate these differences, we analyzed the shapes and the energies of the frontier molecular orbitals. We also analyzed the dipole moments and their changes upon excitation.
The shapes of the frontier molecular orbitals (Figure 3, Figure S1, Supplementary Materials) clearly demonstrate that the electron-withdrawing effect of the substituent featuring electron density spread to Cl, NO2, CO2Me, and CF3 moieties, respectively. This is observed in both S0 and S1 states. However, regardless of the substituent, both HOMO and LUMO are almost entirely localized on the BODIPY core, indicating no significant charge-transfer effect and no drastic difference between meso-(2-pyridyl)-BODIPYs and meso-(3-, and 4-pyridyl)-BODIPYs. Thus, while the frontier molecular orbitals clearly indicate the effect of different electron-withdrawing substituents at the 2,6 positions, they cannot explain the drastic difference in the experimentally observed fluorescence quantum yield between meso-(2-pyridyl)-BODIPYs and their meso-(3-, and 4-pyridyl)-analogs.
The energies of the HOMO and LUMO for the ground states of all studied compounds are given in Table 2. As expected, both HOMO and LUMO are stabilized upon 2- and 2,6-substituion with electron-withdrawing groups, with the di-substituted compounds showing a greater effect. The stabilization is most pronounced in the case of nitration and least pronounced in the case of chlorination. All n = 2, 3, 4 series follow the same trends when compared to the meso-phenyl analogs. Meso-2-pyridyl substitution has a slight effect on HOMO (a destabilization by only 0.02–0.03 eV), while meso-(3- and 4-pyridyl)-substitutions stabilize HOMO by 0.1–0.2 eV. The effect of meso-(3- and 4-pyridyl)-substitution is almost identical but consistently features 0.04 eV lower HOMO energies in the case of meso-4-pyridyl-BODIPYs. The effect on LUMO is consistent stabilization, which is almost negligible in the case of meso-2-pyridyl substitution (0–0.1 eV) and significantly more pronounced in the case of meso-(3-, and 4-pyridyl)-substitution (0.14–0.16 eV). Again, the effect is slightly greater for meso-4-pyridyl than for meso-3-pyridyl. The analysis of the HOMO and LUMO energies demonstrates that the effect of meso-n-pyridyl substitution is similar for n = 3,4 but different in the case of n = 2. This might be related to the observed quantum yield differences.
Table 2 also lists the calculated dipole moments for the ground states and the scalar ( Δ μ = μ 1 μ 0 ) and vector ( Δ μ = μ 1 μ 0 ) changes in the dipole moment upon excitation, where the subscript 0 refers to the ground state and subscript 1 refers to the first singlet excited state of the respective compound. Analysis of the magnitude of the dipole moment ( μ 0 ) indicates that the meso-2-pyridyl-BODIPYs are consistently the most polar and the meso-4-pyridyl-BODIPYs are consistently the least polar BODIPYs within a given n = 2, 3, 4 series. The meso-2-pyridyl-BODIPYs are also consistently more polar than their meso-phenyl analogs. These two trends exist in both the S0 and S1 states, regardless of the 2,6-substituent. Interestingly, upon excitation, the dipole moment decreases in the mono-2-substituted BODIPYs but increases in the 2,6-di-substituted BODIPYs. The change in polarity upon excitation depends on the 2,6-substituent—it is most pronounced for nitration and least pronounced for chlorination. Whether this is related to the fact that chlorination increases the experimental quantum yield, while nitration decreases it, is currently under study in our laboratory.
Next, we look at the orientation of the dipole moment. Since nitrogen is more electronegative than carbon, the different position of the pyridyl nitrogen will create a different orientation of the dipole moment vector. Figure 4 shows a side view of the dipole moment vectors for the 2,6-dichlorinated and 2,6-dinitrated meso-(2-, 3-, and 4-pyridyl)-BODIPYs, as two examples of the effect. The meso-phenyl-BODIPY analogs and the unsubstituted BODIPYs are included for comparison. All compounds were optimized without symmetry constrains; however, for simplicity, we will refer to pseudo symmetry elements to explain the vector orientations. As with all di-substituted BODIPYs, the dipole moments lie in the pseudo mirror plane of symmetry (if the molecule was symmetric), i.e., the plane of the 2D representation in Figure 4. The meso-(4-pyridyl)-BODIPYs have their dipole moments oriented along a pseudo C2 axis (if the molecule was symmetric). The meso-(2-, and 3-pyridyl)-BODIPYs have their dipole moments oriented at an angle of roughly 30° for meso-(2-pyridyl)-BODIPYs and roughly 60° for meso-(3-pyridyl)-BODIPYs with respect to the pseudo C2 axis.
According to a recent study of a series of conjugated terpyridine derivatives [22], the fluorescence quantum yield could be quantified by the change in dipole moment between the ground and excited states. To check the applicability of this approach for our series, we calculated the absolute value of the vector change in the dipole moment ( Δ μ = μ 1 μ 0 ) upon excitation. These data are presented in the last column of Table 2. For almost all 2,6-substituents, the Δ μ value suggests the greatest quantum yield for meso-(2-pyridyl)-BODIPYs, which contradicts the experimental findings. The observed significant decrease in the fluorescence of meso-(2-pyridyl)-BODIPYs must be due to a different reason.

3.3. Rotational Barrier in the Excited States

As mentioned above, the major difference between the meso-(2-pyridyl) and meso-(3- and 4-pyridyl)-BODIPYs is the closer proximity of the nitrogen atom of the pyridine group to the BODIPY core in the former compounds. In addition to the different strengths of the electron-withdrawing effect of the pyridyl nitrogen and the different electron densities, the different positions of the nitrogen atom result in different steric effects. In meso-(2-pyridyl) compounds, position 2 is occupied by a nitrogen atom but in meso-(3- and 4-pyridyl)-BODIPYs it is occupied by a carbon atom bonded to a hydrogen atom. Because of the methyl groups in the 1,7-positions for the entire series studied, this could affect the rotation of the pyridyl ring. We hypothesized that the 2-pyridyl ring might be easier to rotate than the 3- and 4-pyridyl rings.
Analysis of the geometries of the ground states shows that the meso-pyridyl ring is oriented approximately perpendicular with respect to the BODIPY core ( 90 ° ) for all but the mono- and di-nitro compounds (Table S1, Supplementary Materials). This orientation is consistent with the experimental findings for the crystal structure of the previously synthesized BODIPYs from the series [26]. The slight difference in the case of 2PyNO2, 3PyNO2, and 4PyNO2 is also consistent with the experiment and could be related to the lower fluorescence quantum yields observed in the case of these compounds compared to the other BODIPYs from the series, which is likely due to partial delocalization of LUMO to the pyridyl ring (Figure 3).
Similar analysis in the case of the excited states demonstrates that the meso-pyridyl ring forms different dihedral angles with the BODIPY core that do not necessarily follow a trend (Table S1, Supplementary Materials). For this reason, we decided to concentrate on the analysis of the excited states and the differences in the rotation of the 2-, 3-, and 4-pyridyl rings upon excitation.
We modeled the rotation of the meso-pyridyl group and estimated the rotational barrier in the excited states in the cases of the 2,6-unsubstituted meso-(2-, 3-, and 4-pyridyl)-BODIPYs. The results of the scan are shown in Figure 5. In the case of meso-(3-pyridyl and 4-pyridyl)-BODIPYs, the potential energy surfaces of the meso-rotation in the excited states are very flat. All energies required for the rotation up to 40° are lower compared to the roughly 20 kcal/mol barrier that could be overcome at room temperature. Therefore, we believe that, at room temperature, the meso-pyridyl ring rotates freely (Figure 5a). In the case of 3Py and 4Py, this rotation causes gradual structural changes. The BODIPY core becomes slightly distorted with the gradually increasing contribution of the pyridyl ring to LUMO, as the meso-dihedral angle, θ , decreases. This is reflected in a gradual red-shift in the maximum emission wavelength, λ e m , and a slight decrease in the oscillator strength (Figure 5b,c). In the case of 2Py, however, when θ approaches 40°, the structure of the molecule becomes significantly distorted (Figure 6). The BODIPY core is no longer planar and the 2Py ring becomes tilted. The LUMO drops by 0.7 eV, λ e m shifts by almost 80 nm, and the oscillator strength drops significantly (Figure 5b,c).
An explanation for the significant drop in the oscillator strength can be seen in Figure 7. When θ = 90 ° , almost the entire electron density is localized on the BODIPY core and the molecule will fluoresce. However, as the meso-dihedral angle, θ , decreases, the electron density becomes delocalized onto the pyridyl ring, indicating a gradual increase in the charge transfer effect that lowers the fluorescence. This is observed until θ reaches 40 ° , when the distorted structure bearing a non-planar, non-fluorescent BODIPY core and tilted pyridyl ring becomes the lowest-energy conformation. We propose that this effect is the reason for the experimentally observed drastic decrease in the fluorescence of 2Py. Indeed, similar distorted structures exist in the case of 3Py and 4Py; however, they are very high in energy, 31 kcal/mol and 61 kcal/mol, respectively, compared to the roughly 20 kcal/mol barrier that could be overcome at room temperature. Therefore, these structures do not significantly affect the fluorescence of 3Py and 4Py to the same extent as for 2Py, where the distorted structure is located only 15 kcal/mol above the θ = 90 °   minimum.

4. Conclusions

The performed computational modeling of a series of meso-(2-, 3-, and 4-pyridyl)-BODIPYs and their meso-phenyl analogs allows for several conclusions to be drawn.
Electron-withdrawing substituents at the 2,6-positions lower both HOMO and LUMO and affect both the energies and the shapes of the molecular orbitals. The calculated HOMO-LUMO gaps correlate with the experimentally observed red- or blue-shifts in the maximum absorption and emission wavelengths.
The analysis of the HOMO and LUMO energies demonstrates that the effect of meso-pyridyl substitution is significantly more pronounced for the 3- and 4-pyridyl-BODIPYs compared to their 2-pyridyl analogs.
The excited states are consistently less polar than the ground states in all 2-mono-substituted BODIPYs. The change in polarity upon excitation depends on the 2,6-substituent(s)—it is most pronounced for nitration and least pronounced for chlorination.
The experimentally observed consistent low quantum yields for the meso-(2-pyridyl) BODIPYs could be due to the very flat potential energy surfaces with respect to rotation of the 2-pyridyl ring in the excited states, and the stability of a crooked, non-planar, and significantly less fluorescent meso-(2-pyridyl) excited state structure.
The results from this study might be used to investigate other fluorescence quenching effects in fluorophores that might be due to structural changes in the excited states. Scanning the PES of the excited states of other BODIPYs might provide more insight into the mechanism of fluorescence quenching when no charge-transfer quenching occurs. It would also be interesting to account for the low-energy vibrational soft modes and examine their effects on the absorption and emission spectra of the compounds.

Supplementary Materials

The following supporting information can be downloaded at https://www.mdpi.com/article/10.3390/physchem4040034/s1: Figure S1: Frontier molecular orbitals of the series of disubstituted meso-(2-, 3-, and 4-pyridyl)-BODIPYs. Table S1: CAM-B3LYP/6-31+G(d,p) calculated Natural Population Analysis (NPA) atomic charge of the meso-carbon, Molecular Electrostatic Potentials (MESPs) of the meso-carbon, and pyridyl dihedral angle with respect to the BODIPY core for the ground (S0) and first singlet excited state (S1) of the series of BODIPYs studied.

Author Contributions

Conceptualization, P.B.-P., D.L. and M.d.G.H.V.; methodology, P.B.-P. and D.L.; software, P.B.-P., D.G. and E.H.; validation, P.B.-P., D.G. and E.H.; formal analysis, P.B.-P. and M.d.G.H.V.; investigation, P.B.-P., D.L. and M.d.G.H.V.; resources, P.B.-P. and M.d.G.H.V.; data curation, P.B.-P., D.G. and E.H.; writing—original draft preparation, P.B.-P. and D.G.; writing—review and editing, P.B.-P., D.L., D.G. and M.d.G.H.V.; visualization, P.B.-P.; supervision, P.B.-P. and M.d.G.H.V.; project administration, P.B.-P. and M.d.G.H.V.; funding acquisition, P.B.-P. and M.d.G.H.V. All authors have read and agreed to the published version of the manuscript.

Funding

This research was funded by the National Science Foundation, grant number CHE-2055190.

Data Availability Statement

Data are contained within the article and Supplementary Materials.

Acknowledgments

The authors are thankful to the Louisiana State University High Performance Computing Center (http://www.hpc.lsu.edu) for use of its computational resources in conducting this research. P.B.P. is grateful for the membership in the MERCURY consortium, which receives support through the National Science Foundation, grant number CHE 2320718.

Conflicts of Interest

The authors declare no conflicts of interest. The funders had no role in the design of the study; in the collection, analyses, or interpretation of data; in the writing of the manuscript, or in the decision to publish the results.

References

  1. Loudet, A.; Burgess, K. BODIPY Dyes and Their Derivatives: Syntheses and Spectroscopic Properties. Chem. Rev. 2007, 107, 4891–4932. [Google Scholar] [CrossRef] [PubMed]
  2. Krumova, K.; Cosa, G. Bodipy Dyes with Tunable Redox Potentials and Functional Groups for Further Tethering: Preparation, Electrochemical, and Spectroscopic Characterization. J. Am. Chem. Soc. 2010, 132, 17560–17569. [Google Scholar] [CrossRef] [PubMed]
  3. Mula, S.; Ray, A.K.; Banerjee, M.; Chaudhuri, T.; Dasgupta, K.; Chattopadhyay, S. Design and Development of a New Pyrromethene Dye with Improved Photostability and Lasing Efficiency: Theoretical Rationalization of Photophysical and Photochemical Properties. J. Org. Chem. 2008, 73, 2146–2154. [Google Scholar] [CrossRef] [PubMed]
  4. Ulrich, G.; Ziessel, R.; Harriman, A. The Chemistry of Fluorescent Bodipy Dyes: Versatility Unsurpassed. Angew. Chem. Int. Ed. 2008, 47, 1184–1201. [Google Scholar] [CrossRef]
  5. Bañuelos, J. BODIPY Dye, the Most Versatile Fluorophore Ever? Chem. Rec. 2016, 16, 335–348. [Google Scholar] [CrossRef]
  6. Poddar, M.; Misra, R. Recent Advances of BODIPY Based Derivatives for Optoelectronic Applications. Coord. Chem. Rev. 2020, 421, 213462. [Google Scholar] [CrossRef]
  7. Hendricks, J.A.; Keliher, E.J.; Wan, D.; Hilderbrand, S.A.; Weissleder, R.; Mazitschek, R. Synthesis of [18F]BODIPY: Bifunctional Reporter for Hybrid Optical/Positron Emission Tomography Imaging. Angew. Chem. Int. Ed. 2012, 51, 4603–4606. [Google Scholar] [CrossRef]
  8. Yu, C.; Wu, Q.; Wang, J.; Wei, Y.; Hao, E.; Jiao, L. Red to Near-Infrared Isoindole BODIPY Fluorophores: Synthesis, Crystal Structures, and Spectroscopic and Electrochemical Properties. J. Org. Chem. 2016, 81, 3761–3770. [Google Scholar] [CrossRef]
  9. Zhao, N.; Williams, T.M.; Zhou, Z.; Fronczek, F.R.; Sibrian-Vazquez, M.; Jois, S.D.; Vicente, M.G.H. Synthesis of BODIPY-Peptide Conjugates for Fluorescence Labeling of EGFR Overexpressing Cells. Bioconjug. Chem. 2017, 28, 1566–1579. [Google Scholar] [CrossRef]
  10. Zhao, N.; Xuan, S.; Zhou, Z.; Fronczek, F.R.; Smith, K.M.; Vicente, M.G.H. Synthesis and Spectroscopic and Cellular Properties of Near-IR [a]Phenanthrene-Fused 4,4-Difluoro-4-Bora-3a,4a-Diaza-s-Indacenes. J. Org. Chem. 2017, 82, 9744–9750. [Google Scholar] [CrossRef]
  11. Erbas-Cakmak, S.; Akkaya, E.U. Toward Singlet Oxygen Delivery at a Measured Rate: A Self-Reporting Photosensitizer. Org. Lett. 2014, 16, 2946–2949. [Google Scholar] [CrossRef] [PubMed]
  12. Gibbs, J.H.; Zhou, Z.; Kessel, D.; Fronczek, F.R.; Pakhomova, S.; Vicente, M.G.H. Synthesis, Spectroscopic, and in Vitro Investigations of 2,6-Diiodo-BODIPYs with PDT and Bioimaging Applications. J. Photochem. Photobiol. B 2015, 145, 35–47. [Google Scholar] [CrossRef] [PubMed]
  13. Mao, Z.; Kim, J.H.; Lee, J.; Xiong, H.; Zhang, F.; Kim, J.S. Engineering of BODIPY-Based Theranostics for Cancer Therapy. Coord. Chem. Rev. 2023, 476, 214908. [Google Scholar] [CrossRef]
  14. Amendoeira, A.F.; Luz, A.; Valente, R.; Roma-Rodrigues, C.; Ali, H.; Van Lier, J.E.; Marques, F.; Baptista, P.V.; Fernandes, A.R. Cell Uptake of Steroid-BODIPY Conjugates and Their Internalization Mechanisms: Cancer Theranostic Dyes. Int. J. Mol. Sci. 2023, 24, 3600. [Google Scholar] [CrossRef]
  15. Kaufman, N.E.M.; Meng, Q.; Griffin, K.E.; Singh, S.S.; Dahal, A.; Zhou, Z.; Fronczek, F.R.; Mathis, J.M.; Jois, S.D.; Vicente, M.G.H. Synthesis, Characterization, and Evaluation of Near-IR Boron Dipyrromethene Bioconjugates for Labeling of Adenocarcinomas by Selectively Targeting the Epidermal Growth Factor Receptor. J. Med. Chem. 2019, 62, 3323–3335. [Google Scholar] [CrossRef]
  16. Xu, K.; Zhao, J.; Cui, X.; Ma, J. Photoswitching of Triplet–Triplet Annihilation Upconversion Showing Large Emission Shifts Using a Photochromic Fluorescent Dithienylethene-Bodipy Triad as a Triplet Acceptor/Emitter. Chem. Commun. 2015, 51, 1803–1806. [Google Scholar] [CrossRef]
  17. Ma, J.; Cui, X.; Wang, F.; Wu, X.; Zhao, J.; Li, X. Photoswitching of the Triplet Excited State of DiiodoBodipy-Dithienylethene Triads and Application in Photo-Controllable Triplet–Triplet Annihilation Upconversion. J. Org. Chem. 2014, 79, 10855–10866. [Google Scholar] [CrossRef]
  18. Ray, C.; Schad, C.; Moreno, F.; Maroto, B.L.; Bañuelos, J.; Arbeloa, T.; García-Moreno, I.; Villafuerte, C.; Muller, G.; De La Moya, S. BCl3-Activated Synthesis of COO-BODIPY Laser Dyes: General Scope and High Yields under Mild Conditions. J. Org. Chem. 2020, 85, 4594–4601. [Google Scholar] [CrossRef]
  19. Waddell, P.G.; Liu, X.; Zhao, T.; Cole, J.M. Rationalizing the Photophysical Properties of BODIPY Laser Dyes via Aromaticity and Electron-Donor-Based Structural Perturbations. Dyes Pigments 2015, 116, 74–81. [Google Scholar] [CrossRef]
  20. Ortiz, M.J.; Garcia-Moreno, I.; Agarrabeitia, A.R.; Duran-Sampedro, G.; Costela, A.; Sastre, R.; Arbeloa, F.L.; Prieto, J.B.; Arbeloa, I.L. Red-Edge-Wavelength Finely-Tunable Laser Action from New BODIPY Dyes. Phys. Chem. Chem. Phys. 2010, 12, 7804–7811. [Google Scholar] [CrossRef]
  21. Gómez-Durán, C.F.A.; Esnal, I.; Valois-Escamilla, I.; Urías-Benavides, A.; Bañuelos, J.; López Arbeloa, I.; García-Moreno, I.; Peña-Cabrera, E. Near-IR BODIPY Dyes à La Carte—Programmed Orthogonal Functionalization of Rationally Designed Building Blocks. Chem.–Eur. J. 2016, 22, 1048–1061. [Google Scholar] [CrossRef] [PubMed]
  22. Humbert-Droz, M.; Piguet, C.; Wesolowski, T.A. Fluorescence Quantum Yield Rationalized by the Magnitude of the Charge Transfer in π-Conjugated Terpyridine Derivatives. Phys. Chem. Chem. Phys. 2016, 18, 29387–29394. [Google Scholar] [CrossRef] [PubMed]
  23. LaMaster, D.J.; Kaufman, N.E.M.; Bruner, A.S.; Vicente, M.G.H. Structure Based Modulation of Electron Dynamics in Meso-(4-Pyridyl)-BODIPYs: A Computational and Synthetic Approach. J. Phys. Chem. A 2018, 122, 6372–6380. [Google Scholar] [CrossRef] [PubMed]
  24. Zhou, Z.; Maki, T. Ratiometric Fluorescence Acid Probes Based on a Tetrad Structure Including a Single BODIPY Chromophore. J. Org. Chem. 2021, 86, 17560–17566. [Google Scholar] [CrossRef]
  25. Ndung’u, C.; LaMaster, D.J.; Dhingra, S.; Mitchell, N.H.; Bobadova-Parvanova, P.; Fronczek, F.R.; Elgrishi, N.; Vicente, M.d.G.H. A Comparison of the Photophysical, Electrochemical and Cytotoxic Properties of Meso-(2-, 3- and 4-Pyridyl)-BODIPYs and Their Derivatives. Sensors 2022, 22, 5121. [Google Scholar] [CrossRef]
  26. Ndung’U, C.; Bobadova-Parvanova, P.; LaMaster, D.J.; Goliber, D.; Fronczek, F.R.; Vicente, M.d.G.H. 8(Meso)-Pyridyl-BODIPYs: Effects of 2,6-Substitution with Electron-Withdrawing Nitro, Chloro, and Methoxycarbonyl Groups. Molecules 2023, 28, 4581. [Google Scholar] [CrossRef]
  27. Yanai, T.; Tew, D.P.; Handy, N.C. A New Hybrid Exchange–Correlation Functional Using the Coulomb-Attenuating Method (CAM-B3LYP). Chem. Phys. Lett. 2004, 393, 51–57. [Google Scholar] [CrossRef]
  28. Bauernschmitt, R.; Ahlrichs, R. Treatment of Electronic Excitations within the Adiabatic Approximation of Time Dependent Density Functional Theory. Chem. Phys. Lett. 1996, 256, 454–464. [Google Scholar] [CrossRef]
  29. Frisch, M.J.; Trucks, G.W.; Schlegel, H.B.; Scuseria, G.E.; Robb, M.A.; Cheeseman, J.R.; Scalmani, G.; Barone, V.; Mennucci, B.; Petersson, G.A.; et al. Gaussian 09, Revision D.01; Gaussian, Inc.: Wallingford, CT, USA, 2009.
  30. Silva-Junior, M.R.; Schreiber, M.; Sauer, S.P.A.; Thiel, W. Benchmarks for Electronically Excited States: Time-Dependent Density Functional Theory and Density Functional Theory Based Multireference Configuration Interaction. J. Chem. Phys. 2008, 129, 104103. [Google Scholar] [CrossRef]
  31. Laurent, A.D.; Jacquemin, D. TD-DFT Benchmarks: A Review. Int. J. Quantum Chem. 2013, 113, 2019–2039. [Google Scholar] [CrossRef]
  32. Nguyen, A.L.; Bobadova-Parvanova, P.; Hopfinger, M.; Fronczek, F.R.; Smith, K.M.; Vicente, M.G.H. Synthesis and Reactivity of 4,4-Dialkoxy-BODIPYs: An Experimental and Computational Study. Inorg. Chem. 2015, 54, 3228–3236. [Google Scholar] [CrossRef] [PubMed]
  33. Goliber, D.; Hernandez, E.; Lamaster, D.; Vicente, M.; Bobadova, P. Computational Modeling of a Series of 8(meso)-pyridyl-BODIPYs. 2024. Available online: https://scimeetings.acs.org/exhibit/Poster-Board-1616-Computational-modeling/3990974 (accessed on 20 September 2024).
  34. Goliber, D.; Hernandez, E.; Bobadova, P. Substituent Effects on the Photophysical Properties of a Series of meso-Pyridyl-BODIPYs: A Computational Analysis of the Experimental Data. 2024. Available online: https://graduatedivision.ucmerced.edu/sites/graduatedivision.ucmerced.edu/files/page/documents/22nd_mercury_program_2024_4.pdf (accessed on 20 September 2024).
Figure 1. Potential functionalization sites in BODIPYs. In the present study, we focus on 8(meso)-pyridyl substitution and 2- and 2,6-substitution with electron-withdrawing groups (Cl, NO2, CO2Me, CF3).
Figure 1. Potential functionalization sites in BODIPYs. In the present study, we focus on 8(meso)-pyridyl substitution and 2- and 2,6-substitution with electron-withdrawing groups (Cl, NO2, CO2Me, CF3).
Physchem 04 00034 g001
Figure 2. Experimentally synthesized meso-(2-, 3-, and 4-pyridyl)-BODIPYs: nPy, nPyCl2, nPyNO2, nPyNO2Cl, and nPy(CO2Me)2, where n = 2, 3, 4.
Figure 2. Experimentally synthesized meso-(2-, 3-, and 4-pyridyl)-BODIPYs: nPy, nPyCl2, nPyNO2, nPyNO2Cl, and nPy(CO2Me)2, where n = 2, 3, 4.
Physchem 04 00034 g002
Figure 3. Frontier molecular orbitals of 2,6-unsubstituted, di-chlorinated and di-nitrated meso-(2-, 3-and 4-pyridyl)-BODIPYs. The frontier orbitals of the complete 2,6-di-substituted series are given in Figure S1, Supplementary Materials. Orbital energies in eV.
Figure 3. Frontier molecular orbitals of 2,6-unsubstituted, di-chlorinated and di-nitrated meso-(2-, 3-and 4-pyridyl)-BODIPYs. The frontier orbitals of the complete 2,6-di-substituted series are given in Figure S1, Supplementary Materials. Orbital energies in eV.
Physchem 04 00034 g003
Figure 4. Side view of the dipole moments of 2,6-unsubstituted, 2,6-dichlorinated, and 2,6-dinitrated meso-(2-, 3-, and 4-pyridyl)-BODIPYs compared with the meso-phenyl-BODIPY analog. All dipole moments lie in the pseudo mirror plane of symmetry (the plane of the 2D representation in this figure). The meso-2-pyridyl-BODIPYs are consistently most polar regardless of the 2,6-substituent.
Figure 4. Side view of the dipole moments of 2,6-unsubstituted, 2,6-dichlorinated, and 2,6-dinitrated meso-(2-, 3-, and 4-pyridyl)-BODIPYs compared with the meso-phenyl-BODIPY analog. All dipole moments lie in the pseudo mirror plane of symmetry (the plane of the 2D representation in this figure). The meso-2-pyridyl-BODIPYs are consistently most polar regardless of the 2,6-substituent.
Physchem 04 00034 g004
Figure 5. Energies required for rotation (a), maximum emission wavelengths, λ e m   (b), and oscillator strengths (c) for the S1 excited states of 2Py, 3Py, and 4Py as a function of the angle of meso-pyridyl rotation. Parts of this figure were presented at the ACS National Meeting, New Orleans, LA, USA, 17–21 March 2024 [33], 22nd MERCURY Conference, Merced, CA, USA, 14–19 July 2024 [34], and 75th SERMACS, Atlanta, GA, USA, 23–26 October 2024.
Figure 5. Energies required for rotation (a), maximum emission wavelengths, λ e m   (b), and oscillator strengths (c) for the S1 excited states of 2Py, 3Py, and 4Py as a function of the angle of meso-pyridyl rotation. Parts of this figure were presented at the ACS National Meeting, New Orleans, LA, USA, 17–21 March 2024 [33], 22nd MERCURY Conference, Merced, CA, USA, 14–19 July 2024 [34], and 75th SERMACS, Atlanta, GA, USA, 23–26 October 2024.
Physchem 04 00034 g005
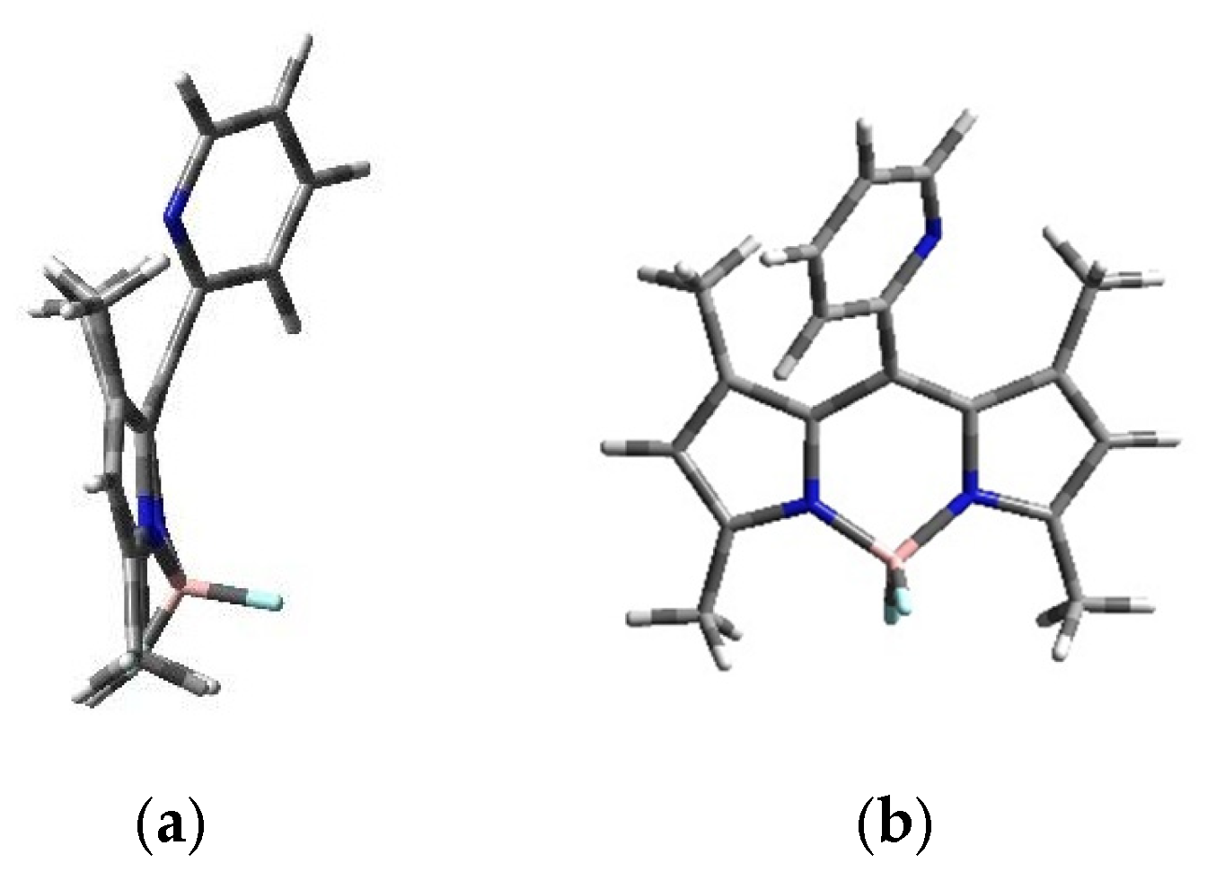
Figure 6. Side view (a) and front view (b) of the lowest-energy structure for the S1 excited state of 2Py when the meso-dihedral angle, θ , is kept fixed at 40 ° .
Figure 6. Side view (a) and front view (b) of the lowest-energy structure for the S1 excited state of 2Py when the meso-dihedral angle, θ , is kept fixed at 40 ° .
Physchem 04 00034 g006
Figure 7. Frontier orbitals of the S1 excited states of unsubstituted meso-(2-, 3- and 4-pyridyl)-BODIPYs at different meso-dihedral angles of the pyridyl ring with respect to the BODIPY core, θ . Orbital energies in eV. Parts of this figure were presented at the ACS National Meeting, New Orleans, LA, USA, 17–21 March 2024 [33], 22nd MERCURY Conference, Merced, CA, USA, 14–19 July 2024 [34], and 75th SERMACS, Atlanta, GA, USA, 23–26 October 2024.
Figure 7. Frontier orbitals of the S1 excited states of unsubstituted meso-(2-, 3- and 4-pyridyl)-BODIPYs at different meso-dihedral angles of the pyridyl ring with respect to the BODIPY core, θ . Orbital energies in eV. Parts of this figure were presented at the ACS National Meeting, New Orleans, LA, USA, 17–21 March 2024 [33], 22nd MERCURY Conference, Merced, CA, USA, 14–19 July 2024 [34], and 75th SERMACS, Atlanta, GA, USA, 23–26 October 2024.
Physchem 04 00034 g007
Table 2. Calculated ground-state HOMO and LUMO energies, band gap ( E g , 0 ), dipole moment ( μ 0 ), and the scalar ( Δ μ = μ 1 μ 0 ) and absolute value of the vector change ( Δ μ = μ 1 μ 0 ) of the dipole moment upon excitation for the series of meso-pyridyl-BODIPYs studied. The subscript 0 refers to the ground state and the subscript 1 refers to the first singlet excited state.
Table 2. Calculated ground-state HOMO and LUMO energies, band gap ( E g , 0 ), dipole moment ( μ 0 ), and the scalar ( Δ μ = μ 1 μ 0 ) and absolute value of the vector change ( Δ μ = μ 1 μ 0 ) of the dipole moment upon excitation for the series of meso-pyridyl-BODIPYs studied. The subscript 0 refers to the ground state and the subscript 1 refers to the first singlet excited state.
BODIPY H O M O 0 (eV) L U M O 0 (eV) E g , 0
(eV)
μ 0
(D)
Δ μ
(D)
Δ μ
(D)
Phe−6.79−1.625.175.030.070.07
2Py−6.77−1.625.146.050.030.05
3Py−6.92−1.785.143.940.020.08
4Py−6.96−1.825.152.130.020.07
PheCl−6.94−1.825.125.610.130.29
2PyCl−6.91−1.825.106.53−0.080.10
3PyCl−7.06−1.975.094.53−0.040.22
4PyCl−7.10−2.015.103.140.080.16
PheCl2−7.07−2.015.075.230.200.27
2PyCl2−7.05−2.005.056.220.160.58
3PyCl2−7.19−2.155.044.020.280.53
4PyCl2−7.23−2.195.042.300.140.14
PheNO2−7.46−2.215.259.04−0.330.45
2PyNO2−7.44−2.225.219.51−0.580.87
3PyNO2−7.58−2.375.218.02−0.600.71
4PyNO2−7.62−2.405.227.54−0.410.46
Phe(NO2)2−8.01−2.805.216.090.170.17
2Py(NO2)2−7.98−2.815.177.080.140.41
3Py(NO2)2−8.13−2.965.174.910.150.28
4Py(NO2)2−8.17−3.005.183.110.110.11
PheCO2Me−7.03−1.835.213.980.020.39
2PyCO2Me−7.01−1.835.184.86−0.300.71
3PyCO2Me−7.16−1.995.173.02−0.380.61
4PyCO2Me−7.20−2.025.181.92−0.070.35
Phe(CO2Me)2−7.24−2.025.221.920.110.11
2Py(CO2Me)2−7.21−2.025.193.000.160.42
3Py(CO2Me)2−7.36−2.185.181.890.040.31
4Py(CO2Me)2−7.40−2.215.191.05−0.030.03
PheCF3−7.20−1.975.246.78−0.040.18
2PyCF3−7.18−1.975.217.56−0.360.71
2PyCF3−7.33−2.135.215.85−0.320.53
2PyCF3−7.37−2.165.214.87−0.110.18
Phe(CF3)2−7.57−2.315.265.430.140.14
2Py(CF3)2−7.54−2.315.246.460.030.61
3Py(CF3)2−7.69−2.465.234.300.130.47
4Py(CF3)2−7.73−2.495.242.500.110.11
Disclaimer/Publisher’s Note: The statements, opinions and data contained in all publications are solely those of the individual author(s) and contributor(s) and not of MDPI and/or the editor(s). MDPI and/or the editor(s) disclaim responsibility for any injury to people or property resulting from any ideas, methods, instructions or products referred to in the content.

Share and Cite

MDPI and ACS Style

Bobadova-Parvanova, P.; Goliber, D.; Hernandez, E.; LaMaster, D.; Vicente, M.d.G.H. Substituent Effects on the Photophysical Properties of a Series of 8(meso)-Pyridyl-BODIPYs: A Computational Analysis of the Experimental Data. Physchem 2024, 4, 483-494. https://doi.org/10.3390/physchem4040034

AMA Style

Bobadova-Parvanova P, Goliber D, Hernandez E, LaMaster D, Vicente MdGH. Substituent Effects on the Photophysical Properties of a Series of 8(meso)-Pyridyl-BODIPYs: A Computational Analysis of the Experimental Data. Physchem. 2024; 4(4):483-494. https://doi.org/10.3390/physchem4040034

Chicago/Turabian Style

Bobadova-Parvanova, Petia, Dylan Goliber, Elijuah Hernandez, Daniel LaMaster, and Maria da Graça H. Vicente. 2024. "Substituent Effects on the Photophysical Properties of a Series of 8(meso)-Pyridyl-BODIPYs: A Computational Analysis of the Experimental Data" Physchem 4, no. 4: 483-494. https://doi.org/10.3390/physchem4040034

APA Style

Bobadova-Parvanova, P., Goliber, D., Hernandez, E., LaMaster, D., & Vicente, M. d. G. H. (2024). Substituent Effects on the Photophysical Properties of a Series of 8(meso)-Pyridyl-BODIPYs: A Computational Analysis of the Experimental Data. Physchem, 4(4), 483-494. https://doi.org/10.3390/physchem4040034

Article Metrics

Back to TopTop