Adding Gusts to a Mobile Wind Tunnel: Experimental Setup and Effect of Simulated Gusts on Horizontal Transport
Abstract
1. Introduction
2. Materials and Methods
2.1. Generation of Gusts and Steady Air Stream
2.1.1. Experimental Setup
2.1.2. Characterization of Wind and Wind Erosivity
2.2. Sediment Source and Sediments
2.3. Eroded Sediment Collection
2.3.1. Horizontal Transport
2.3.2. Vertical Distribution
2.4. Statistical Analysis
3. Results and Discussion
3.1. Generation of Gusts and Steady Air Stream
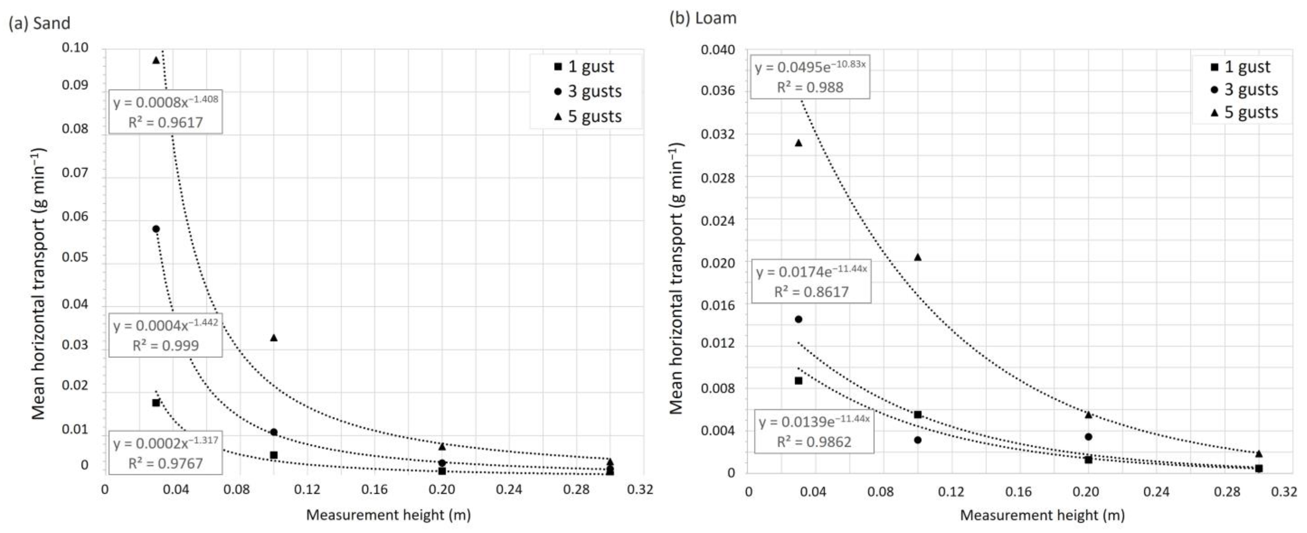
3.2. Horizontal Transport
3.3. Vertical Distribution of Eroded Sediment
4. Conclusions
Funding
Data Availability Statement
Conflicts of Interest
References
- Sherman, D.J. Understanding Wind-Blown Sand: Six Vexations. Geomorphology 2020, 366, 107193. [Google Scholar] [CrossRef]
- Stout, J.E.; Zobeck, T.M. The Wolfforth Field Experiment: A Wind Erosion Study. Soil Sci. 1996, 161, 616–632. [Google Scholar] [CrossRef]
- Anderson, R.S.; Haff, P.K. Wind Modification and Bed Response during Saltation of Sand in Air. In Proceedings of the Aeolian Grain Transport 1; Barndorff-Nielsen, O.E., Willetts, B.B., Eds.; Springer: Vienna, Austria, 1991; pp. 21–51. [Google Scholar]
- Andreotti, B. A Two-Species Model of Aeolian Sand Transport. J. Fluid Mech. 2004, 510, 47–70. [Google Scholar] [CrossRef]
- Li, B.; McKenna Neuman, C. A Wind Tunnel Study of Aeolian Sediment Transport Response to Unsteady Winds. Geomorphology 2014, 214, 261–269. [Google Scholar] [CrossRef]
- Wyngaard, J.C. Atmospheric Turbulence. Annu. Rev. Fluid Mech. 1992, 24, 205–234. [Google Scholar] [CrossRef]
- Mohr, S.; Kunz, M.; Richter, A.; Ruck, B. Statistical Characteristics of Convective Wind Gusts in Germany. Nat. Hazards Earth Syst. Sci. 2017, 17, 957–969. [Google Scholar] [CrossRef]
- WMO. Guide to Instruments and Methods of Observation; WMO: Geneva, Switzerland, 2018. [Google Scholar]
- Suomi, I.; Lüpkes, C.; Hartmann, J.; Vihma, T.; Gryning, S.-E.; Fortelius, C. Gust Factor Based on Research Aircraft Measurements: A New Methodology Applied to the Arctic Marine Boundary Layer. Q. J. R. Meteorol. Soc. 2016, 142, 2985–3000. [Google Scholar] [CrossRef]
- Bagnold, R.A. The Physics of Blown Sand and Desert Dunes; William Morrow: New York, NY, USA, 1941. [Google Scholar]
- Shao, Y. Physics and Modelling of Wind Erosion; Springer: Berlin/Heidelberg, Germany, 2008; Volume 37. [Google Scholar]
- Klose, M.; Shao, Y. Large-Eddy Simulation of Turbulent Dust Emission. Aeolian Res. 2013, 8, 49–58. [Google Scholar] [CrossRef]
- Baas, A.C.W.; Sherman, D.J. Formation and Behavior of Aeolian Streamers. J. Geophys. Res. Earth Surf. 2005, 110. [Google Scholar] [CrossRef]
- Davidson-Arnott, R.G.D.; MacQuarrie, K.; Aagaard, T. The Effect of Wind Gusts, Moisture Content and Fetch Length on Sand Transport on a Beach. Geomorphology 2005, 68, 115–129. [Google Scholar] [CrossRef]
- Jackson, D.W.T.; McCloskey, J. Preliminary Results from a Field Investigation of Aeolian Sand Transport Using High Resolution Wind and Transport Measurements. Geophys. Res. Lett. 1997, 24, 163–166. [Google Scholar] [CrossRef]
- De Oro, L.A.; Buschiazzo, D.E. Threshold Wind Velocity as an Index of Soil Susceptibility to Wind Erosion under Variable Climatic Conditions. Land Degrad. Dev. 2009, 20, 14–21. [Google Scholar] [CrossRef]
- Lee, J.A. A Field Experiment on the Role of Small Scale Wind Gustiness in Aeolian Sand Transport. Earth Surf. Process. Landf. 1987, 12, 331–335. [Google Scholar] [CrossRef]
- Pfeifer, S.; Schönfeldt, H.-J. The Response of Saltation to Wind Speed Fluctuations. Earth Surf. Process. Landf. 2012, 37, 1056–1064. [Google Scholar] [CrossRef]
- Siegmund, N.; Panebianco, J.E.; Avecilla, F.; Iturri, L.A.; Sommer, M.; Buschiazzo, D.E.; Funk, R. From Gustiness to Dustiness—The Impact of Wind Gusts on Particulate Matter Emissions in Field Experiments in La Pampa, Argentina. Atmosphere 2022, 13, 1173. [Google Scholar] [CrossRef]
- Bisal, F.; Nielsen, K. Movement of Soil Particles in Saltation. Can. J. Soil Sci. 1962, 42, 81–86. [Google Scholar] [CrossRef]
- Lyles, L.; Krauss, R.K. Threshold Velocities and Initial Particle Motion as Influenced by Air Turbulence. Trans. ASAE 1971, 14, 563–566. [Google Scholar] [CrossRef]
- Martin, R.L.; Kok, J.F. Wind-Invariant Saltation Heights Imply Linear Scaling of Aeolian Saltation Flux with Shear Stress. Sci. Adv. 2017, 3, e1602569. [Google Scholar] [CrossRef] [PubMed]
- Anderson, R.S.; Haff, P.K. Simulation of Eolian Saltation. Science 1988, 241, 820–823. [Google Scholar] [CrossRef]
- Shao, Y.; Lu, H. A Simple Expression for Wind Erosion Threshold Friction Velocity. Geophys. Res. 2000, 105, 22437–22443. [Google Scholar] [CrossRef]
- Stout, J.E. Effect of Averaging Time on the Apparent Threshold for Aeolian Transport. J. Arid Environ. 1998, 39, 395–401. [Google Scholar] [CrossRef]
- Funk, R.; Völker, L.; Deumlich, D. Landscape Structure Model Based Estimation of the Wind Erosion Risk in Brandenburg, Germany. Aeolian Res. 2023, 62, 100878. [Google Scholar] [CrossRef]
- DWD. Wetter Und Klima—Deutscher Wetterdienst–Glossar–B–Bö. Available online: https://www.dwd.de/DE/service/lexikon/Functions/glossar.html?lv3=100488&lv2=100310 (accessed on 13 December 2023).
- Stout, J.E.; Zobeck, T.M. Intermittent Saltation. Sedimentology 1997, 44, 959–970. [Google Scholar] [CrossRef]
- Sterk, G.; Jacobs, A.F.G.; Van Boxel, J.H. The Effect of Turbulent Flow Structures on Saltation Sand Transport in the Atmospheric Boundary Layer. Earth Surf. Process. Landf. 1998, 23, 877–887. [Google Scholar] [CrossRef]
- Marzen, M.; Iserloh, T.; De Lima, J.L.M.P.; Ries, J.B. The Effect of Rain, Wind-Driven Rain and Wind on Particle Transport under Controlled Laboratory Conditions. Catena 2016, 145, 47–55. [Google Scholar] [CrossRef]
- Marzen, M.; Kirchhoff, M.; Marzolff, I.; Aït Hssaine, A.; Ries, J.B. Relative Quantification of Wind Erosion in Argan Woodlands in the Souss Basin, Morocco. Earth Surf. Process. Landf. 2020, 45, 3808–3823. [Google Scholar] [CrossRef]
- Marzen, M.; Kirchhoff, M.; Aït Hssaine, A.; Ries, J.B. Wind Tunnel Tests Reveal Aeolian Relocation Processes Related to Land Cover and Surface Characteristics in the Souss Basin, Morocco. Land 2023, 12, 40. [Google Scholar] [CrossRef]
- Fister, W.; Iserloh, T.; Ries, J.B.; Schmidt, R.-G. A Portable Wind and Rainfall Simulator for in Situ Soil Erosion Measurements. Catena 2012, 91, 72–84. [Google Scholar] [CrossRef]
- Wirtz, S.; Iserloh, T.; Marzen, M.; Fister, W. Chapter 8 Experimental FIeld Methods to Quantify Soil Erosion by Water and Wind-Driven Rain. In Field Measurement Methods in Soil Science; Wessel-Bothe, S., Weihermüller, L., Eds.; Gebr. Borntraeger Science Publishers: Königsberg, Germany, 2020; pp. 165–190. ISBN 978-3-443-01109-3. [Google Scholar]
- Iserloh, T.; Fister, W.; Marzen, M.; Seeger, M.; Kuhn, N.J.; Ries, J.B. The Role of Wind-Driven Rain for Soil Erosion—An Experimental Approach. Z. Geomorphol. Suppl. 2013, 57, 193–201. [Google Scholar] [CrossRef]
- Marzen, M.; Iserloh, T.; De Lima, J.L.M.P.; Fister, W.; Ries, J.B. Impact of Severe Rain Storms on Soil Erosion: Experimental Evaluation of Wind-Driven Rain and Its Implications for Natural Hazard Management. Sci. Total Environ. 2017, 590–591, 502–513. [Google Scholar] [CrossRef] [PubMed]
- Fryrear, D.W.; Saleh, A.; Bilbro, J.D.; Schomberg, H.M.; Stout, J.E.; Zobeck, T.M. Revised Wind Erosion Equation (RWEQ); Technical Bulletin 1 1998; USDA, Agricultural Research Service: Washington, DC, USA, 1998. [Google Scholar]
- Owen, P.R. Saltation of Uniform Grains in Air. J. Fluid Mech. 1964, 20, 225–242. [Google Scholar] [CrossRef]
- Köhn, M. Korngrößenanalyse Vermittels Pipettenanalyse. Tonind.-Ztg. 1929, 53, 729–731. [Google Scholar]
- Wilson, S.J.; Cooke, R.U. Wind Erosion. In Soil Erosion; Kirkby, M.J., Morgan, R.P.C., Eds.; Wiley: Chichester, UK, 1980; pp. 217–251. [Google Scholar]
- Goossens, D. Dry Aeolian Dust Accumulation in Rocky Deserts: A Medium-Term Field Experiment Based on Short-Term Wind Tunnel Simulations. Earth Surf. Process. Landf. 2000, 25, 41–57. [Google Scholar] [CrossRef]
- Goossens, D.; Nolet, C.; Etyemezian, V.; Duarte-Campos, L.; Bakker, G.; Riksen, M. Field Testing, Comparison, and Discussion of Five Aeolian Sand Transport Measuring Devices Operating on Different Measuring Principles. Aeolian Res. 2018, 32, 1–13. [Google Scholar] [CrossRef]
- IBM Corp. IBM SPSS Statistics for Windows, version 27.0; Released 2020; IBM Corp.: Armonk, NY, USA, 2020. [Google Scholar]
- Zingg, A.W. A Portable Wind Tunnel and Dust Collector Developed to Evaluate the Erodibility of Field Surfaces. Agron. J. 1951, 43, 189–191. [Google Scholar] [CrossRef]
- Raupach, M.R.; Leys, J.F. Aerodynamics of a Portable Wind Erosion Tunnel for Measuring Soil Erodibility by Wind. Soil Res. 1990, 28, 177–191. [Google Scholar] [CrossRef]
- Greeley, R.; Iversen, J.D. Wind as a Geological Process: On Earth, Mars, Venus and Titan; CUP Archive: Cambridge, UK, 1987; ISBN 978-0-521-35962-7. [Google Scholar]
- Gregory, J.M.; Wilson, G.R.; Singh, U.B.; Darwish, M.M. TEAM: Integrated, Process-Based Wind-Erosion Model. Environ. Model. Softw. 2004, 19, 205–215. [Google Scholar] [CrossRef]
- Butterfield, G.R. Transitional Behaviour of Saltation: Wind Tunnel Observations of Unsteady Winds. J. Arid Environ. 1998, 39, 377–394. [Google Scholar] [CrossRef]
- Butterfield, G.R. Grain Transport Rates in Steady and Unsteady Turbulent Airflows. In Proceedings of the Aeolian Grain Transport 1; Barndorff-Nielsen, O.E., Willetts, B.B., Eds.; Springer: Vienna, Austria, 1991; pp. 97–122. [Google Scholar]
- Spies, P.-J.; McEwan, I.K.; Butterfield, G.R. One-Dimensional Transitional Behaviour in Saltation. Earth Surf. Process. Landf. 2000, 25, 505–518. [Google Scholar] [CrossRef]






| No. Gusts | Test Duration (s) | Gust Duration (s) * | Umax (m s−1) | Umean (m s−1) | Gust Factor | Transport Capacity Q (Dimensionless) | |
|---|---|---|---|---|---|---|---|
| Sand | Loam | ||||||
| 0 | 600 | - | 7.5 | 6.4 | 1.2 | 78,465.1 | 25,717.5 |
| 1 | 22 | 10.0 | 7.8 | 1.8 | 4.3 | 980.4 | 169.7 |
| 3 | 33 | 7.1 | 9.1 | 3.1 | 2.9 | 2024.6 | 980.4 |
| 5 | 40 | 5.5 | 8.4 | 3.2 | 2.6 | 1709.9 | 718.4 |
| No. of Gusts | Sand | Loam | ||||
|---|---|---|---|---|---|---|
| Mean Total | Mean Rate | Difference to Preceding Sequence | Mean Total | Mean Rate | Difference to Preceding Sequence | |
| (g) | (g min−1) | (Factor) | (g) | (g min−1) | (Factor) | |
| 0 | 1.010 | 0.100 | 0.023 | 0.002 | ||
| 1 | 1.340 | 3.650 | ×36.5 | 0.639 | 1.740 | ×870.0 |
| 3 | 5.070 | 9.210 | ×2.5 | 1.268 | 2.310 | ×1.3 |
| 5 | 8.110 | 12.170 | ×1.3 | 2.415 | 3.620 | ×1.6 |
| Horizontal Transport (g min−1) | Sum of Squares | df | Mean Square | F | Sig. | |
|---|---|---|---|---|---|---|
| Sand | Between Groups | 441.710 | 3 | 147.237 | 54.646 | <0.001 |
| Within Groups | 43.110 | 16 | 2.694 | |||
| Total | 484.819 | 19 | ||||
| Loam | Between Groups | 33.781 | 3 | 11.260 | 21.892 | <0.001 |
| Within Groups | 8.230 | 16 | 0.514 | |||
| Total | 42.011 | 19 | ||||
| Pearson Correlation | No. of Gusts | Transport Capacity | d50 | Umax | Umean | Gust Factor | |
|---|---|---|---|---|---|---|---|
| Horizontal | Cor.coefficient | 0.693 ** | −0.456 ** | 0.515 ** | 0.412 ** | 0.427 ** | 0.316 * |
| transport | Sig. (2-tailed) | <0.001 | 0.003 | <0.001 | 0.008 | 0.006 | 0.047 |
| Number | 40 | 40 | 40 | 40 | 40 | 40 | |
Disclaimer/Publisher’s Note: The statements, opinions and data contained in all publications are solely those of the individual author(s) and contributor(s) and not of MDPI and/or the editor(s). MDPI and/or the editor(s) disclaim responsibility for any injury to people or property resulting from any ideas, methods, instructions or products referred to in the content. |
© 2024 by the author. Licensee MDPI, Basel, Switzerland. This article is an open access article distributed under the terms and conditions of the Creative Commons Attribution (CC BY) license (https://creativecommons.org/licenses/by/4.0/).
Share and Cite
Marzen, M. Adding Gusts to a Mobile Wind Tunnel: Experimental Setup and Effect of Simulated Gusts on Horizontal Transport. Geographies 2024, 4, 203-215. https://doi.org/10.3390/geographies4020013
Marzen M. Adding Gusts to a Mobile Wind Tunnel: Experimental Setup and Effect of Simulated Gusts on Horizontal Transport. Geographies. 2024; 4(2):203-215. https://doi.org/10.3390/geographies4020013
Chicago/Turabian StyleMarzen, Miriam. 2024. "Adding Gusts to a Mobile Wind Tunnel: Experimental Setup and Effect of Simulated Gusts on Horizontal Transport" Geographies 4, no. 2: 203-215. https://doi.org/10.3390/geographies4020013
APA StyleMarzen, M. (2024). Adding Gusts to a Mobile Wind Tunnel: Experimental Setup and Effect of Simulated Gusts on Horizontal Transport. Geographies, 4(2), 203-215. https://doi.org/10.3390/geographies4020013
