Copolymerization of Ethylene and Methyl Acrylate by Dibenzocycloheptyl-Substituted Aryliminopyridyl Ni(II) Catalysts
Abstract
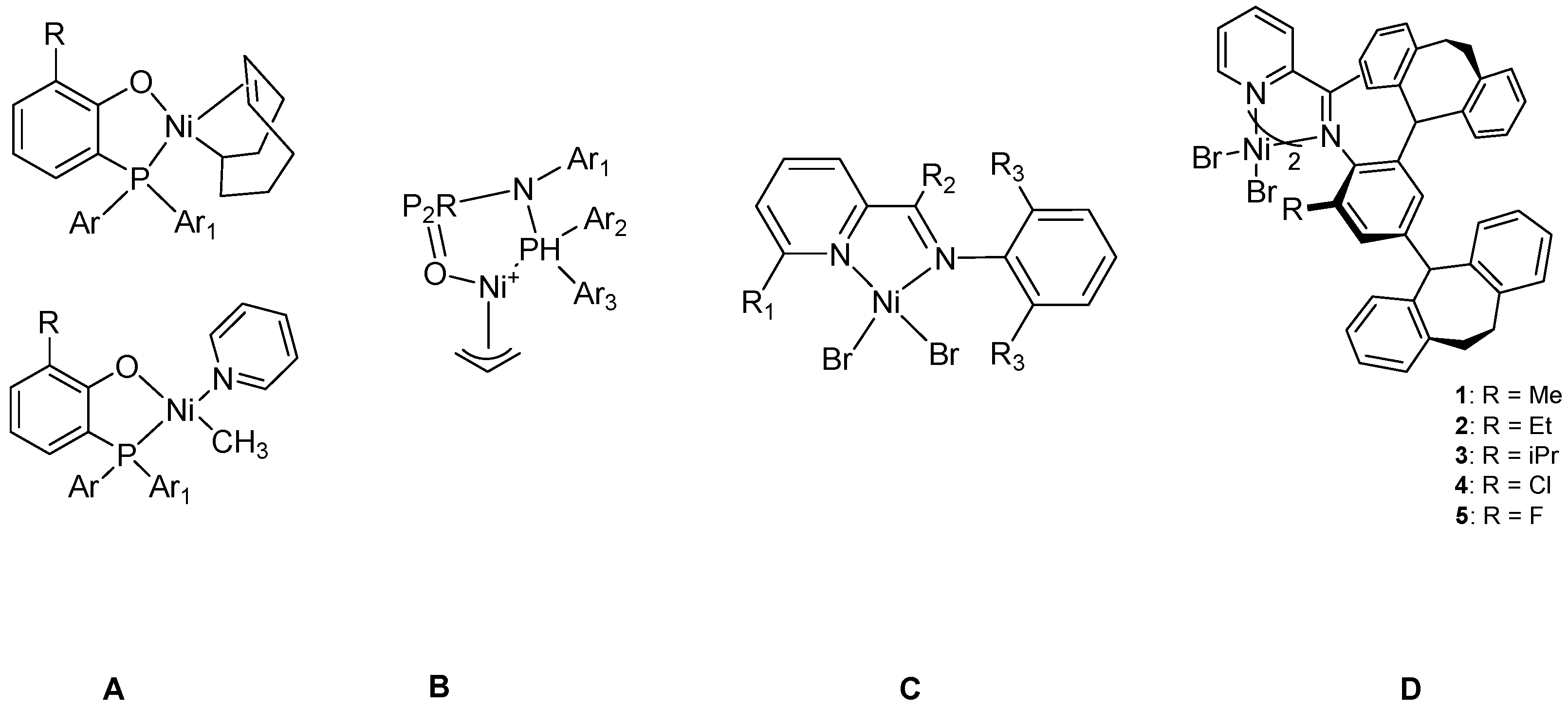
1. Introduction
2. Materials and Methods
2.1. General Conditions
2.2. Characterization Methods
2.2.1. Nuclear Magnetic Resonance Spectroscopy (NMR)
2.2.2. Differential Scanning Calorimetry (DSC)
2.2.3. Size-Exclusion Chromatography (SEC)
2.3. General Procedure for Ethylene/Methyl Acrylate Copolymerization Reactions at 6 atm
2.4. General Procedure for Ethylene/Methyl Acrylate Copolymerization Reactions at Higher Pressures
3. Results and Discussion
4. Conclusions
Supplementary Materials
Author Contributions
Funding
Institutional Review Board Statement
Informed Consent Statement
Data Availability Statement
Acknowledgments
Conflicts of Interest
References
- Claverie, J.P.; Schaper, F. Ziegler-Natta catalysis: 50 years after the Nobel Prize. MRS Bull. 2013, 38, 213–218. [Google Scholar] [CrossRef]
- Keyes, A.; Basbug Alhan, H.E.; Ordonez, E.; Ha, U.; Beezer, D.B.; Dau, H.; Liu, Y.-S.; Tsogtgerel, E.; Jones, G.R.; Harth, E. Olefins and Vinyl Polar Monomers: Bridging the Gap for Next Generation Materials. Angew. Chem. Int. Ed. 2019, 58, 12370–12391. [Google Scholar] [CrossRef] [PubMed]
- Kumawat, J.; Gupta, V.K. Fundamental aspects of heterogeneous Ziegler–Natta olefin polymerization catalysis: An experimental and computational overview. Polym. Chem. 2020, 11, 6107–6128. [Google Scholar] [CrossRef]
- Brintzinger, H.H.; Fischer, D.; Mülhaupt, R.; Rieger, B.; Waymouth, R.M. Stereospecific olefin polymerization with chiral metallocene catalysts. Angew. Chem. Int. Ed. 1995, 34, 1143–1170. [Google Scholar] [CrossRef]
- Johnson, L.K.; Killian, C.M.; Brookhart, M. New Pd(II)- and Ni(II)-Based Catalysts for Polymerization of Ethylene and α-Olefins. J. Am. Chem. Soc. 1995, 117, 6414–6415. [Google Scholar] [CrossRef]
- Ittel, S.D.; Johnson, L.K.; Brookhart, M. Late-Metal Catalysts for Ethylene Homo- and Copolymerization. Chem. Rev. 2000, 100, 1169–1203. [Google Scholar] [CrossRef]
- Johnson, L.K.; Mecking, S.; Brookhart, M. Copolymerization of Ethylene and Propylene with Functionalized Vinyl Monomers by Palladium(II) Catalysts. J. Am. Chem. Soc. 1996, 118, 267–268. [Google Scholar] [CrossRef]
- Drent, E.; van Dijk, R.; van Ginkel, R.; van Oort, B.; Pugh, R.I. Palladium catalysed copolymerisation of ethene with alkylacrylates: Polar comonomer built into the linear polymer chain. Chem. Commun. 2002, 7, 744–745. [Google Scholar] [CrossRef]
- Popeney, C.S.; Camacho, D.H.; Guan, Z. Efficient Incorporation of Polar Comonomers in Copolymerizations with Ethylene Using a Cyclophane-Based Pd(II) alpha-Diimine Catalyst. J. Am. Chem. Soc. 2007, 129, 10062–10063. [Google Scholar] [CrossRef]
- Takano, S.; Takeuchi, D.; Osakada, K.; Akamatsu, N.; Shishido, A. Dipalladium Catalyst for Olefin Polymerization: Introduction of Acrylate Units into the Main Chain of Branched Polyethylene. Angew. Chem. Int. Ed. 2014, 53, 9246–9250. [Google Scholar] [CrossRef]
- Dai, S.; Sui, X.; Chen, C. Highly Robust Palladium(II) α-Diimine Catalysts for Slow-Chain-Walking Polymerization of Ethylene and Copolymerization with Methyl Acrylate. Angew. Chem. Int. Ed. 2015, 54, 9948–9953. [Google Scholar] [CrossRef]
- Allen, K.E.; Campos, J.; Daugulis, O.; Brookhart, M. Living Polymerization of Ethylene and Copolymerization of Ethylene/Methyl Acrylate Using “Sandwich” Diimine Palladium Catalysts. ACS Catal. 2015, 5, 456–464. [Google Scholar] [CrossRef]
- Rosar, V.; Montini, T.; Balducci, G.; Zangrando, E.; Fornasiero, P.; Milani, B. Palladium-Catalyzed Ethylene/Methyl Acrylate Co-Oligomerization:The Effect of a New Nonsymmetrical α-Diimine with the 1,4-Diazabutadiene Skeleton. ChemCatChem 2017, 9, 3402–3411. [Google Scholar] [CrossRef]
- Nakano, R.; Nozaki, K. Copolymerization of Propylene and Polar Monomers Using Pd/IzQO Catalysts. J. Am. Chem. Soc. 2015, 137, 10934–10937. [Google Scholar] [CrossRef] [PubMed]
- Zhang, W.; Waddell, P.M.; Tiedemann, M.A.; Padilla, C.E.; Mei, J.; Chen, L.; Carrow, B.P. Electron-Rich Metal Cations Enable Synthesis of High Molecular Weight, Linear Functional Polyethylenes. J. Am. Chem. Soc. 2018, 140, 8841–8850. [Google Scholar] [CrossRef]
- Contrella, N.D.; Sampson, J.R.; Jordan, R.F. Copolymerization of Ethylene and Methyl Acrylate by Cationic Palladium Catalysts That Contain Phosphine-Diethyl Phosphonate Ancillary Ligands. Organometallics 2014, 33, 3546–3555. [Google Scholar] [CrossRef]
- Wang, R.; Zhao, M.; Chen, C. Influence of ligand second coordination sphere effects on the olefin (co)polymerization properties of α-diimine Pd(ii) catalysts. Polym. Chem. 2016, 7, 3933–3938. [Google Scholar] [CrossRef]
- Nakamura, A.; Anselment, T.M.J.; Claverie, J.; Goodall, B.; Jordan, R.F.; Mecking, S.; Rieger, B.; Sen, A.; van Leeuwen, P.W.N.M.; Nozaki, K. Ortho-Phosphinobenzenesulfonate: A Superb Ligand for Palladium-Catalyzed Coordination−Insertion Copolymerization of Polar Vinyl Monomers. Acc. Chem. Res. 2013, 46, 1438–1449. [Google Scholar] [CrossRef]
- Guo, L.; Liu, W.; Chen, C. Late transition metal catalyzed α-olefin polymerization and copolymerization with polar monomers. Mater. Chem. Front. 2017, 1, 2487–2494. [Google Scholar] [CrossRef]
- Wang, F.; Chen, C. A continuing legend: The Brookhart-type α-diimine nickel and palladium catalysts. Polym. Chem. 2019, 10, 2354–2369. [Google Scholar] [CrossRef]
- Younkin, T.R.; Connor, E.F.; Henderson, J.I.; Friedrich, S.K.; Grubbs, R.H.; Bansleben, D.A. Neutral, Single Component Nickel (II) Polyolefin Catalysts That Tolerate Heteroatoms. Science 2000, 287, 460–462. [Google Scholar] [CrossRef] [PubMed]
- Chen, Z.; Leatherman, M.D.; Daugulis, O.; Brookhart, M. Nickel-Catalyzed Copolymerization of Ethylene and Vinyltrialkoxysilanes: Catalytic Production of Cross-Linkable Polyethylene and Elucidation of the Chain-Growth Mechanism. J. Am. Chem. Soc. 2017, 139, 16013–16022. [Google Scholar] [CrossRef]
- Chen, Z.; Brookhart, M. Exploring Ethylene/Polar Vinyl Monomer Copolymerizations Using Ni and Pd α-Diimine Catalysts. Acc. Chem. Res. 2018, 51, 1831–1839. [Google Scholar] [CrossRef] [PubMed]
- Xin, B.S.; Sato, N.; Tanna, A.; Oishi, Y.; Konishi, Y.; Shimizu, F. Nickel Catalyzed Copolymerization of Ethylene and Alkyl Acrylates. J. Am. Chem. Soc. 2017, 139, 3611–3614. [Google Scholar] [CrossRef] [PubMed]
- Zhang, Y.; Mu, H.; Pan, L.; Wang, X.; Li, Y. Robust Bulky [P,O] Neutral Nickel Catalysts for Copolymerization of Ethylene with Polar Vinyl Monomers. ACS Catal. 2018, 8, 5963–5976. [Google Scholar] [CrossRef]
- Chen, M.; Chen, C. A Versatile Ligand Platform for Palladium- and Nickel-Catalyzed Ethylene Copolymerization with Polar Monomers. Angew. Chem. Int. Ed. 2018, 57, 3094–3098. [Google Scholar] [CrossRef]
- D’Auria, I.; Saki, Z.; Pellecchia, C. Iminopyridine Ni(II) catalysts affording oily hyperbranched oligoethylenes and/or crystalline polyethylenes depending on the reaction conditions: Possible role of in situ catalyst structure modifications. Macromol 2021, 1, 121–129. [Google Scholar] [CrossRef]
- Saki, Z.; D’Auria, I.; Dall’Anese, A.; Milani, B.; Pellecchia, C. Copolymerization of Ethylene and Methyl Acrylate by Pyridylimino Ni(II) Catalysts Affording Hyperbranched Poly(ethylene-co-methylacrylate)s with Tunable Structures of the Ester Groups. Macromolecules 2020, 53, 9294–9305. [Google Scholar] [CrossRef]
- Sun, W.-H.; Song, S.; Li, B.; Redshaw, C.; Hao, X.; Li, Y.-S.; Wang, F. Ethylene polymerization by 2-iminopyridylnickel halide complexes: Synthesis, characterization and catalytic influence of the benzhydryl group. Dalton Trans. 2012, 41, 11999–12010. [Google Scholar] [CrossRef]
- Yue, E.; Zhang, L.; Xing, Q.; Cao, X.-P.; Hao, X.; Redshaw, C.; Sun, W.-H.; Sun, W.-H. 2-(1-(2-Benzhydrylnaphthylimino)ethyl)-pyridylnickel halides: Synthesis, characterization and ethylene polymerization behavior. Dalton Trans. 2014, 43, 423–431. [Google Scholar] [CrossRef]
- Zada, M.; Vignesh, A.; Guo, L.; Zhang, R.; Zhang, W.; Ma, Y.; Sun, Y.; Sun, W.-H. Sterically and Electronically Modified Aryliminopyridyl-Nickel Bromide Precatalysts for an Access to Branched Polyethylene with Vinyl/Vinylene End Groups. ACS Omega 2020, 5, 10610–10625. [Google Scholar] [CrossRef] [PubMed]
- D’Auria, I.; Milione, S.; Caruso, T.; Balducci, G.; Pellecchia, C. Synthesis of hyperbranched low molecular weight polyethylene oils by an iminopyridine nickel(II) catalyst. Polym. Chem. 2017, 8, 6443–6454. [Google Scholar] [CrossRef]
- Alberoni, C.; D’Alterio, M.C.; Balducci, G.; Immirzi, B.; Polentarutti, M.; Pellecchia, C.; Milani, B. Tunable “In-Chain” and “At the End of the Branches” Methyl Acrylate Incorporation in the Polyolefin Skeleton through Pd(II) Catalysis. ACS Catal. 2022, 12, 3430–3443. [Google Scholar] [CrossRef]







| Run | Complex | Yield (g) | MA b (mol %) | Mn c (KDa) | Mn d (KDa) | Mw d (kDa) | PDI d | Branches/ 1000 C’s c |
|---|---|---|---|---|---|---|---|---|
| 1 | 1 | 0.20 | 0.5 | 3.5 | 1.7 | 2.4 | 1.5 | 47 |
| 2 | 2 | 1.50 | 1 | 3.3 | 3.0 | 5.2 | 1.8 | 63 |
| 3 | 3 | 1.00 | 2 | 4.0 | 2.7 | 4.8 | 1.8 | 55 |
| 4 | 4 | 0.07 | 1.7 | 3.0 | n.d. e | n.d. e | n.d. e | 64 |
| 5 | 5 | 0.05 | 2.5 | 1.4 | n.d. e | n.d. e | n.d. e | 24 |
| Run | Complex | P (atm) | Yield (g) | MA b (mol%) | Mn c (KDa) | Mn d (KDa) | Mw d (KDa) | PDI | Branches/ 1000 C’s c |
|---|---|---|---|---|---|---|---|---|---|
| 6 | 1 | 10 | 0.4 | 0.7 | 4.4 | 2.0 | 2.9 | 1.5 | 46 |
| 7 | 1 | 20 | 0.7 | 0.9 | 1.6 | 1.9 | 2.6 | 1.4 | 29 |
| 8 | 1 | 30 | 1.3 | 0.4 | 1.7 | 2.0 | 2.9 | 1.4 | 31 |
| 9 | 1 | 40 | 0.9 | 0.4 | 2.1 | 1.6 | 2.5 | 1.6 | 31 |
| 10 | 2 | 10 | 0.4 | 0.8 | 2.4 | 2.1 | 4.6 | 1.5 | 45 |
| 11 | 2 | 30 | 1.0 | 0.4 | 2.4 | 2.0 | 3.0 | 1.5 | 36 |
| 12 | 2 | 40 | 1.2 | 0.3 | 1.5 | 2.2 | 3.0 | 1.3 | 26 |
Publisher’s Note: MDPI stays neutral with regard to jurisdictional claims in published maps and institutional affiliations. |
© 2022 by the authors. Licensee MDPI, Basel, Switzerland. This article is an open access article distributed under the terms and conditions of the Creative Commons Attribution (CC BY) license (https://creativecommons.org/licenses/by/4.0/).
Share and Cite
D’Auria, I.; Saki, Z.; Liu, M.; Sun, W.-H.; Pellecchia, C. Copolymerization of Ethylene and Methyl Acrylate by Dibenzocycloheptyl-Substituted Aryliminopyridyl Ni(II) Catalysts. Macromol 2022, 2, 500-508. https://doi.org/10.3390/macromol2040031
D’Auria I, Saki Z, Liu M, Sun W-H, Pellecchia C. Copolymerization of Ethylene and Methyl Acrylate by Dibenzocycloheptyl-Substituted Aryliminopyridyl Ni(II) Catalysts. Macromol. 2022; 2(4):500-508. https://doi.org/10.3390/macromol2040031
Chicago/Turabian StyleD’Auria, Ilaria, Zeinab Saki, Ming Liu, Wen-Hua Sun, and Claudio Pellecchia. 2022. "Copolymerization of Ethylene and Methyl Acrylate by Dibenzocycloheptyl-Substituted Aryliminopyridyl Ni(II) Catalysts" Macromol 2, no. 4: 500-508. https://doi.org/10.3390/macromol2040031
APA StyleD’Auria, I., Saki, Z., Liu, M., Sun, W.-H., & Pellecchia, C. (2022). Copolymerization of Ethylene and Methyl Acrylate by Dibenzocycloheptyl-Substituted Aryliminopyridyl Ni(II) Catalysts. Macromol, 2(4), 500-508. https://doi.org/10.3390/macromol2040031

