De Ritis Ratio Is a Potential Independent Predictor of Recurrence of Single-Organ Cutaneous Small Vessel Vasculitis
Abstract
1. Introduction
2. Materials and Methods
2.1. Patients and Study Setting
2.2. Laboratory Investigations and Scores
2.3. Statistics
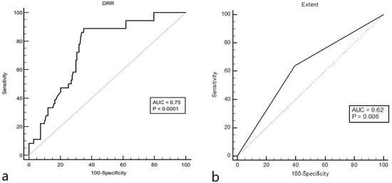
3. Results
4. Discussion
5. Conclusions
Author Contributions
Funding
Institutional Review Board Statement
Informed Consent Statement
Data Availability Statement
Conflicts of Interest
References
- Loricera, J.; Blanco, R.; Ortiz-Sanjuán, F.; Hernández, J.L.; Pina, T.; González-Vela, M.C.; Calvo-Río, V.; Rueda-Gotor, J.; Alvarez, L.; González-López, M.A.; et al. Single-organ cutaneous small-vessel vasculitis according to the 2012 revised International Chapel Hill Consensus Conference Nomenclature of Vasculitides: A study of 60 patients from a series of 766 cutaneous vasculitis cases. Rheumatology 2015, 54, 77–82. [Google Scholar] [CrossRef] [PubMed]
- Baigrie, D.; Goyal, A.; Crane, J.S. Leukocytoclastic Vasculitis. 2023 Aug 8. In StatPearls [Internet]; StatPearls Publishing: Treasure Island, FL, USA, 2023. [Google Scholar] [PubMed]
- Gambichler, T.; Ardabili, L.; Domin, B.; Susok, L.; Abu Rached, N. Predictors of disease severity, length of hospitalization, and recurrence in inpatients with single-organ cutaneous small vessel vasculitis. Eur. J. Dermatol. 2024, 34, 378–383. [Google Scholar] [CrossRef] [PubMed]
- Abu Rached, N.; Reis, M.M.D.S.; Stockfleth, E.; Käpynen, R.; Gambichler, T. Analysis of Calculated Liver Scores for Long-Term Outcome in 423 Cutaneous Melanoma Patients. Cancers 2024, 16, 3217. [Google Scholar] [CrossRef] [PubMed]
- Gambichler, T.; Becker, J.C.; Susok, L.; Käpynen, R.; Abu Rached, N. Model for End-Stage Liver Disease Correlates with Disease Relapse and Death of Patients with Merkel Cell Carcinoma. Cancers 2023, 15, 3195. [Google Scholar] [CrossRef] [PubMed]
- Lee, S.W.; Kim, D.Y.; Ahn, S.H.; Park, Y.B.; Han, K.H.; Park, J.Y. Subclinical but significant liver fibrosis in patients with ANCA-associated vasculitis. Clin. Exp. Rheumatol. 2019, 37 (Suppl. 117), 26–31. [Google Scholar] [PubMed]
- Park, H.J.; Park, J.Y.; Jung, S.M.; Song, J.J.; Park, Y.B.; Lee, S.W. Fibrosis-4 index at diagnosis is associated with all-cause mortality in patients with microscopic polyangiitis and granulomatosis with polyangiitis. BMC Gastroenterol. 2019, 19, 90. [Google Scholar] [CrossRef] [PubMed]
- Giannini, E.; Botta, F.; Fasoli, A.; Cerioni, F.; Risso, D. Liver enzyme alteration: A guide for clinicians. Clevel. Clin. J. Med. 2005, 72, 315–323. [Google Scholar] [CrossRef] [PubMed]
- Pratt, D.S.; Kaplan, M.M. Evaluation of abnormal liver-enzyme results in asymptomatic patients. N. Engl. J. Med. 2000, 342, 1266–1271. [Google Scholar] [CrossRef] [PubMed]
- Zelber-Sagi, S.; Nitzan-Kaluski, D.; Halpern, Z.; Oren, R.; Kessler, N.; Webb, M. The role of the De Ritis ratio in predicting nonalcoholic fatty liver disease severity. J. Hepatol. 2008, 49, 810–817. [Google Scholar]
- Sunderkötter, C.; Sindrilaru, A.; Mrowietz, U. Histopathological findings in leukocytoclastic vasculitis—Lessons learned from direct immunofluorescence. J. Eur. Acad. Dermatol. Venereol. 2003, 17, 511–517. [Google Scholar]
- Pagnoux, C.; Hogan, S.; Jennette, J.C. Prognostic markers in systemic vasculitides: Lessons from histopathologic evaluation. Semin. Arthritis Rheum. 2007, 37, 348–354. [Google Scholar]
- Jennette, J.C.; Falk, R.J.; Bacon, P.A.; Basu, N.; Cid, M.C.; Ferrario, F.; Watts, R.A. 2012 Revised International Chapel Hill Consensus Conference Nomenclature of Vasculitides. Arthritis Rheum. 2013, 65, 1–11. [Google Scholar] [CrossRef] [PubMed]
- Gambichler, T.; Bui, D.; Domin, B.; Ardabili, L.; Devrim, Y.; Abu Rached, N.; Susok, L. Comparison of clinical and laboratory data of adult patients with cutaneous IgA vasculitis and non-IgA vasculitis. Clin. Exp. Dermatol. 2024, 49, 859–865. [Google Scholar] [CrossRef] [PubMed]
- Kwo, P.Y.; Cohen, S.M.; Lim, J.K. ACG Clinical Guideline: Evaluation of Abnormal Liver Chemistries. Am. J. Gastroenterol. 2017, 112, 18–35. [Google Scholar] [CrossRef] [PubMed]
- Glinghammar, B.; Rafter, I.; Lindström, A.K.; Hedberg, J.J.; Andersson, H.B.; Lindblom, P.; Berg, A.L.; Cotgreave, I. Detection of the mitochondrial and catalytically active alanine aminotransferase in human tissues and plasma. Int. J. Mol. Med. 2009, 23, 621–631. [Google Scholar] [CrossRef] [PubMed]
- Lim, A.K. Abnormal liver function tests associated with severe rhabdomyolysis. World J. Gastroenterol. 2020, 26, 1020–1028. [Google Scholar] [CrossRef] [PubMed]

| Parameters | Result |
|---|---|
| Median age (range) | |
| Years | 68 (16–98) |
| Sex | |
| male/female | 104/100 (51–49%) |
| Obesity | |
| no/yes | 144/60 (70.6%/29.4%) |
| Arterial hypertension | |
| no/yes | 113/91 (55.4%/44.6%) |
| Cardiovascular diseases * | |
| no/yes | 147/57 (72.1%/27.9%) |
| Diabetes mellitus | |
| no/yes | 148/30 (83.1%/16.9) |
| Cutaneous extend of SOCV | |
| lower extremity/lower extremity plus other sites | 115/89 (56.4%/43.6%) |
| Recurrence | |
| no/yes | 168/36 (82.4%/17.6%) |
Disclaimer/Publisher’s Note: The statements, opinions and data contained in all publications are solely those of the individual author(s) and contributor(s) and not of MDPI and/or the editor(s). MDPI and/or the editor(s) disclaim responsibility for any injury to people or property resulting from any ideas, methods, instructions or products referred to in the content. |
© 2025 by the authors. Licensee MDPI, Basel, Switzerland. This article is an open access article distributed under the terms and conditions of the Creative Commons Attribution (CC BY) license (https://creativecommons.org/licenses/by/4.0/).
Share and Cite
Gambichler, T.; Ardabili, L.; Domin, B.; Susok, L.; Abu Rached, N. De Ritis Ratio Is a Potential Independent Predictor of Recurrence of Single-Organ Cutaneous Small Vessel Vasculitis. Dermato 2025, 5, 8. https://doi.org/10.3390/dermato5020008
Gambichler T, Ardabili L, Domin B, Susok L, Abu Rached N. De Ritis Ratio Is a Potential Independent Predictor of Recurrence of Single-Organ Cutaneous Small Vessel Vasculitis. Dermato. 2025; 5(2):8. https://doi.org/10.3390/dermato5020008
Chicago/Turabian StyleGambichler, Thilo, Larisa Ardabili, Belanna Domin, Laura Susok, and Nessr Abu Rached. 2025. "De Ritis Ratio Is a Potential Independent Predictor of Recurrence of Single-Organ Cutaneous Small Vessel Vasculitis" Dermato 5, no. 2: 8. https://doi.org/10.3390/dermato5020008
APA StyleGambichler, T., Ardabili, L., Domin, B., Susok, L., & Abu Rached, N. (2025). De Ritis Ratio Is a Potential Independent Predictor of Recurrence of Single-Organ Cutaneous Small Vessel Vasculitis. Dermato, 5(2), 8. https://doi.org/10.3390/dermato5020008
