Nutritional Profiles of Plants Consumed by Military Macaw During the Breeding and Non-Breeding Seasons in the Alto Balsas Basin, Mexico
Simple Summary
Abstract
1. Introduction
2. Materials and Methods
2.1. Study Area
2.2. Selection of the Tree Species Included in the Military Macaw’s Diet
2.3. Collection of Plant Material
2.4. Nutritional Content
2.5. Association Between Nutrients and Macaw Annual Biological Cycle
2.6. Statistical Analysis
3. Results
3.1. Relative Importance of Food Resources in the Diet of the Military Macaw
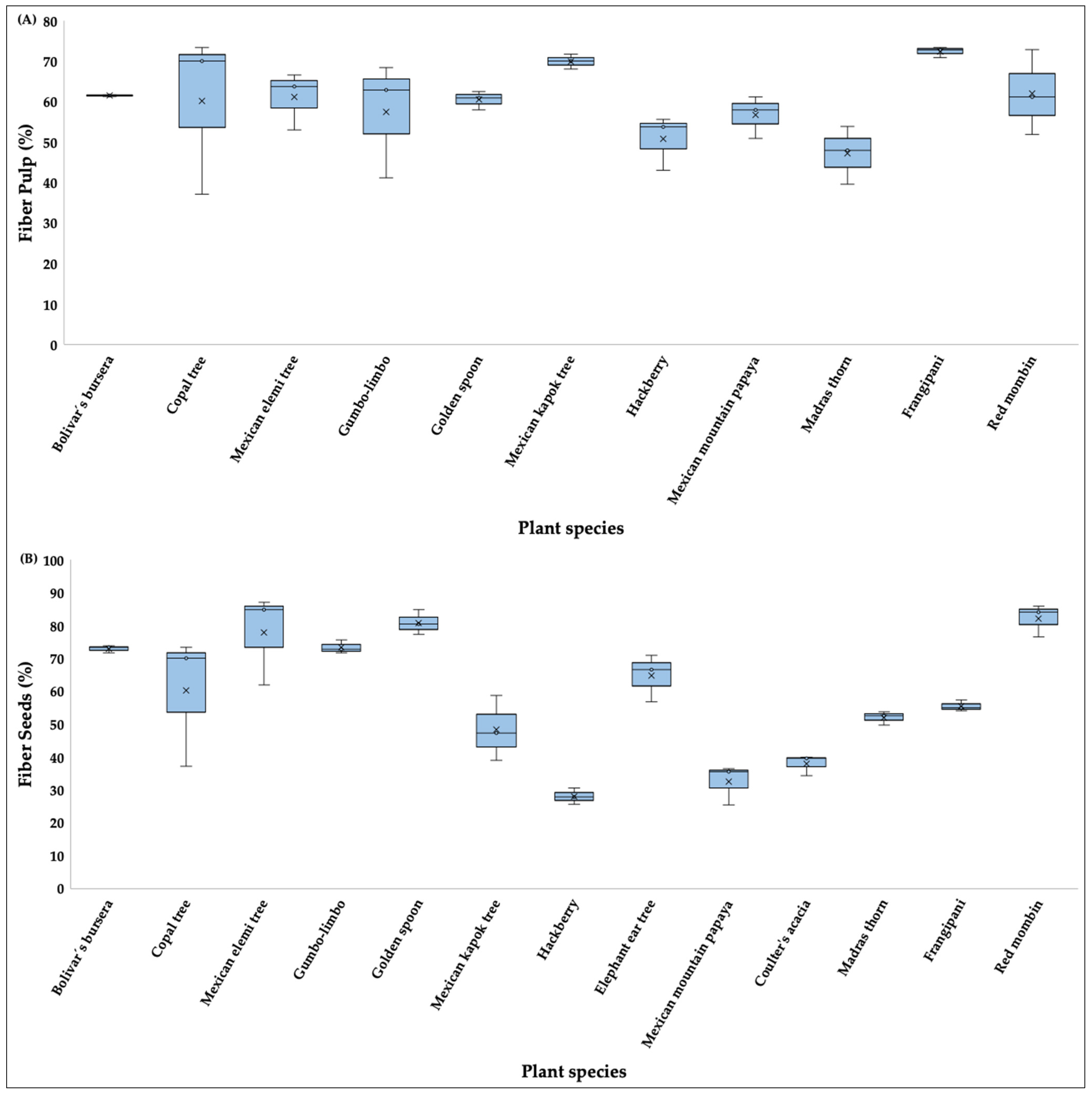
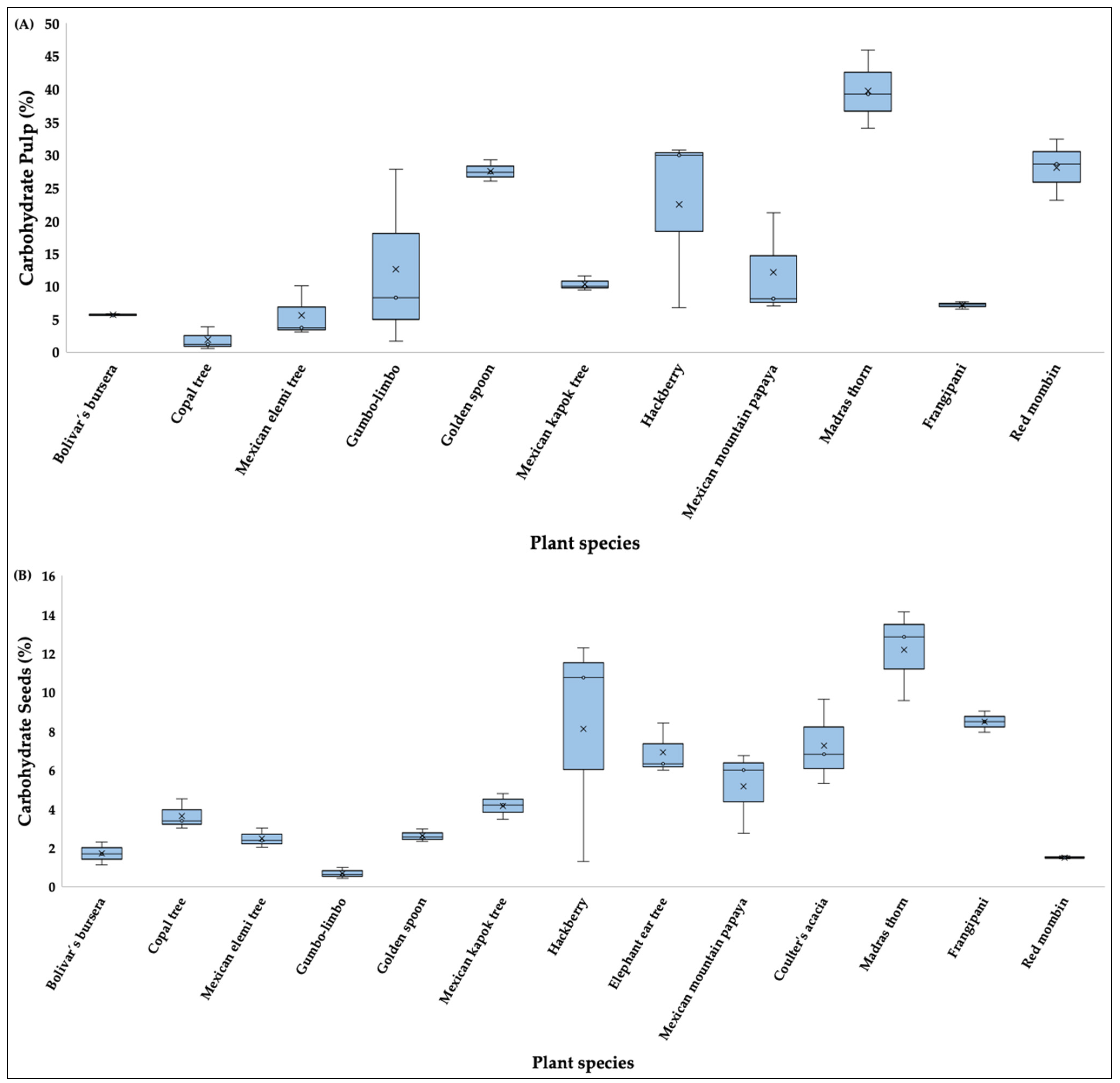
3.2. Nutritional Content of Fruits (Pulp and Seeds)
3.3. Association Between Nutrients and Annual Biological Cycle
4. Discussion
4.1. Nutritional Content in the Non-Breeding Season
4.2. Nutritional Content During the Breeding Season
5. Conclusions
Supplementary Materials
Author Contributions
Funding
Institutional Review Board Statement
Data Availability Statement
Acknowledgments
Conflicts of Interest
Appendix A
| Family | Plant Specie | Common English Name | Tissue Consumed | Relative Importance | Seasonal Use | Evidence Source |
|---|---|---|---|---|---|---|
| Anacardiaceae | Cyrtocarpa procera | American plum | Fruits and leaves | Supplementary | B | L, I |
| Spondias purpurea | Red mombin | Fruits | Supplementary | B | I, O | |
| Apocyanacea | Plumeria rubra | Frangipani | Fruits, seeds and latex | Occasional | B | L, I |
| Burseraceae | Bursera bolivarii | Bolivar’s bursera | Fruits and seeds | Dominant | NB | L, I |
| Bursera copallifera | Copal tree | Fruits and seeds | Dominant | BT | L, O | |
| Bursera morelensis | Mexican elemi tree | Fruits and seeds | Supplementary | BT | L, I, O | |
| Bursera simaruba | Gumbo-limbo | Fruits and seeds | Supplementary | NB | L, O | |
| Bursera submoniliformis | Chinese Copal | Fruits and seeds | Supplementary | B | L, I | |
| Cannabacea | Celtis caudata | Hackberry | Seeds | Dominant | NB | L, I, O |
| Caricaeae | Jacaratia mexicana | Mexican mountain papaya | Fruits | Supplementary | B | O |
| Euphorbiaceae | Enterolobium cyclocarpum | Elephant ear tree | Seeds | Supplementary | B | O |
| Fabaceae | Lysiloma divaricatum | Mauto tree | Seeds | Dominant | B | L, I |
| Lysiloma microphyla | Feather bush | Seeds | Supplementary | B | L, I | |
| Mariosousa coulteri | Coulter’s acacia | Seeds | Occasional | B | O | |
| Phitecellobium dulce | Madras thorn | Fruits and seeds | Supplementary | NB | L, I | |
| Malpighiaceae | Byrsonima crassifolia | Golden spoon | Fruits | Supplementary | B | L, I |
| Malvaceae | Ceiba aesculifolia | Mexican kapok tree | Seeds | Dominant | B | L, I |
| Pseudobombax ellipticum | Red silk cotton | Fruits and seeds | Dominant | NB | L, I |
References
- Grajal, A. The Neotropics (Americas). In Parrots. Status Survey and Conservation Action Plan 2000–2004, 1st ed.; Snyder, N.P., MaGowan, J.G., Grajal, A., Eds.; IUCN: Gland, Switzerland, 2000; Volume 2004, pp. 98–151. [Google Scholar]
- Cantú-Guzmán, J.C.; Sánchez-Saldaña, M.E. Guía de Identificación de Psitácidos Mexicanos, 1st ed.; Teyeliz, A.C., Ed.; Defenders of Wildlife: Washington, DC, USA, 2007; p. 31. [Google Scholar]
- Rivera-Ortiz, F.A.; Oyama, K.; Ríos-Muñoz, C.A.; Solórzano, S.; Navarro-Sigüenza, A.G.; Arizmendi, M.A. Habitat characterization and modeling of the potential distribution of the Military Macaw (Ara militaris) in Mexico. Rev. Mex. Biodivers. 2013, 84, 1200–1215. [Google Scholar] [CrossRef]
- IUCN. Red List of Threatened Species. Available online: https://www.iucnredlist.org/ (accessed on 24 June 2025).
- Norma Oficial Mexicana 059 SEMARNAT. Protección Ambiental—Especies Nativas de México de Flora y Fauna Silvestres—Categorías de Riesgo y Especificaciones para su Inclusión, Exclusión o Cambio. Lista de Especies en Riesgo. México. Available online: https://www.gob.mx/profepa/documentos/norma-oficial-mexicana-nom-059-semarnat-2010 (accessed on 24 June 2025).
- Forshaw, J.M. Parrots of the World, 1st ed.; Princeton University Press: Princeton, NJ, USA, 2010; p. 336. [Google Scholar]
- Collar, N.J.; Juniper, A.T. Dimensions and causes of the parrot conservation crisis. In New World Parrots in Crisis: Solutions from Conservation Biology, 1st ed.; Beissinger, S.R., Snyder, N.F.R., Eds.; Smithsonian Institution: Washington, DC, USA, 1992; Volume 56, pp. 1–24. [Google Scholar]
- Vázquez-Reyes, L.D.; Jiménez-Arcos, V.H.; Ramírez-Bastida, P.; Rodríguez-Malacara, J.T.; Contreras-González, A.M.; Sanabria-Urban, O.S.; Rivera-Ortiz, F.A. First record of a breeding site of Ara militaris mexicanus (Ridgway, 1915), Military Macaw (Psittacidae), in the Alto Balsas Poblano Region, Mexico. Check List 2024, 20, 996–1003. [Google Scholar] [CrossRef]
- Peterson, R.; Chalif, E. A Field Guide to Mexican Birds and Adjacent Central America, 1st ed.; Houghton Mifflin Company: Boston, MA, USA, 1989; p. 473. [Google Scholar]
- Howell, S.N.G.; Webb, S. A Guide to the Birds of Mexico and Northern Central America, 1st ed.; Oxford University: Oxford, UK, 1995; p. 337. [Google Scholar]
- Iñigo, E.E. Las Guacamayas verde y escarlata en México. Biodiversitas 1999, 25, 7–11. [Google Scholar]
- Jiménez-Arcos, V.H.; Santa Cruz-Padilla, S.A.; Escalona-López, A.; Arizmendi, M.C.; Vázquez-Reyes, L.D. Ampliación de la distribución y presencia de una colonia reproductiva de guacamaya verde (Ara militaris) en el alto Balsas de Guerrero, México. Rev. Mex. Biodivers. 2012, 83, 864–867. [Google Scholar] [CrossRef]
- Sequi, N. Prospección de la Guacamaya Verde en el Alto Balsas. Programa de Conservación de Especies en Riesgo, Informe Final; Comisión Nacional de Áreas Protegidas: Naucalpan de Juárez, Mexico, 2015; p. 35. [Google Scholar]
- Sequi, N. Conservación del Hábitat de la Guacamaya verde en el Alto Balsas. Programa de Conservación de Especies en Riesgo, Informe Final; Comisión Nacional de Áreas Protegidas: Naucalpan de Juárez, Mexico, 2016; p. 38. [Google Scholar]
- Loza-Salas, C.A. Patrones de Abundancia, uso de Hábitat y Alimentación de la Guacamaya Verde (Ara militaris) en la Presa Cajón de Peña, Jalisco, México. Master’s Thesis, Universidad Nacional Autónoma de México, Ciudad de México, Mexico, 1997. [Google Scholar]
- Morales-Pérez, L. Evaluación de la Abundancia Poblacional y Recursos Alimenticios para Tres Géneros de Psitácidos en Hábitats Conservados y Perturbados de la Costa de Jalisco, México. Master’s Thesis, Universidad Nacional Autónoma de México, Ciudad de México, Mexico, 2005. [Google Scholar]
- Contreras-González, A.M.; Rivera-Ortiz, F.A.; Soberanes-González, C.; Valiente-Banuet, A.; Arizmendi, M.C. Feeding ecology of Military Macaw (Ara militaris) in a semiarid region of central Mexico. Wilson J. Ornithol. 2009, 121, 384–391. [Google Scholar] [CrossRef]
- Juárez, M.; Marateo, G.; Grilli, P.G.; Pagano, L.; Rumi, M.; Silva-Croome, M. Estado del conocimiento y nuevos aportes sobre la historia natural del guacamayo verde (Ara militaris). Hornero 2012, 27, 5–16. [Google Scholar] [CrossRef]
- De la Parra-Martínez, S.M.; Muñoz-Lacy, L.G.; Salinas-Melgoza, A.; Renton, K. Optimal diet strategy of a large-bodied psittacine: Food resource abundance and nutritional content enable facultative dietary specialization by the Military Macaw. Avian Res. 2019, 10, 38. [Google Scholar] [CrossRef]
- Koutsos, E.A.; Matson, K.D.; Klasing, K.C. Nutrition of the birds in the order Psittaciformes: A review. J. Avian Med. Surg. 2001, 15, 257–275. [Google Scholar] [CrossRef]
- Renton, K.; Salinas-Melgoza, A.; De Labra Hernández, M.A.; De la Parra-Martínez, S.M. Resource requirements of parrots: Nest-site selectivity and dietary plasticity of Psittaciformes. J. Ornithol. 2015, 156, 73–90. [Google Scholar] [CrossRef]
- Puebla-Olivares, F.; Salcedo-Hernández, J.; Figueroa-Esquivel, E. El habillo (Hura polyandra) en la dieta de la guacamaya verde (Ara militaris). Huitzil 2018, 19, 157–167. [Google Scholar] [CrossRef]
- Cornejo, J.; Dierenfeld, E.S.; Renton, K.; Bailey, C.A.; Stahala, C.; Cruz-Nieto, J.; Brightsmith, D.J. Nutrition of free-living Neotropical psittacine nestlings and implications for hand-feeding formulas. J. Anim. Physiol. Anim. Nutr. 2022, 106, 1174–1188. [Google Scholar] [CrossRef]
- Murphy, M.E. Nutrition and metabolism. In Avian Energetics and Nutritional Ecology, 1st ed.; Carey, C., Ed.; Springer: Boston, MA, USA, 1996; Volume 1, pp. 31–60. [Google Scholar]
- Scott, S.; Kronfeld, D. Veterinary nutrition of large Psittacines. Semin. Avian Exot. Pet Med. 1998, 7, 128–134. [Google Scholar] [CrossRef]
- Piñeiro, C.J.S.; Bert, E. Principios en la alimentación de psitácidas. RedVet 2011, 12, 1–3. [Google Scholar]
- Body, D.R.; Powlesland, R.G. Lipid composition of a clutch of kakapo (Strigops habroptilus) (Aves: Cacatuidae) eggs. N. Z. J. Zool. 1990, 17, 341–346. [Google Scholar] [CrossRef]
- Carrillo, O.R.; Cinta, C.C.; Bonilla, C. Uso de hábitat interanual de la Guacamaya Verde (Ara militaris) en manglar de una zona de conservación ecológica estero El Salado, en el occidente de México. Mesoamericana 2013, 17, 45–55. [Google Scholar]
- Rivera-Ortiz, F.A.; Contreras-González, A.M.; Soberanes-González, C.A.; Valiente-Banuet, A.; Arizmendi, M.C. Seasonal abundance and breeding chronology of the Military Macaw (Ara militaris) in a semi-arid region of central Mexico. Neotrop. Ornithol. 2008, 19, 255–263. [Google Scholar]
- Nunes, M.F.C.; Galetti, M. Use of forest fragments by blue-winged macaws (Primolius maracana) within a fragmented landscape. Biodiver. Conserv. 2007, 16, 953–967. [Google Scholar] [CrossRef]
- Brightsmith, D.J. Parrot nesting in southeastern Peru: Seasonal patterns and keystone trees. Wilson Bull. 2005, 117, 296–305. [Google Scholar] [CrossRef]
- Gordillo, M.M.; Ávalos, S.V.; Soto, J.C. Flora de Papalutla, Guerrero y de sus alrededores. An. Inst. Biol. 1997, 68, 107–133. [Google Scholar]
- Vázquez-Reyes, L.D.; Jiménez-Arcos, V.H.; SantaCruz-Padilla, S.A.; García-Aguilera, R.; Aguirre-Romero, A.; Arizmendi, M.D.C.; Navarro-Sigüenza, A.G. Aves del Alto Balsas de Guerrero: Diversidad e identidad ecológica de una región prioritaria para la conservación. Rev. Mex. Biodivers. 2018, 89, 873–897. [Google Scholar] [CrossRef]
- Comisión Nacional del Agua. Available online: https://smn.conagua.gob.mx/es/climatologia/informacion-climatologica/normales-climatologicas-por-estado?estado=gro (accessed on 24 June 2025).
- Nava, R.F.; Jiménez, C.R.; Sánchez, M.D.L.L.A. Listado florístico de la cuenca del río Balsas, México. Polibotánica 1998, 9, 1–151. [Google Scholar]
- Comisión Nacional del Agua. Available online: https://smn.conagua.gob.mx/es/climatologia/informacion-climatologica/normales-climatologicas-por-estado?estado=pue (accessed on 24 June 2025).
- González, M.; Peñaloza, I. Biomoléculas. Métodos de Análisis, 1st ed.; Universidad Nacional Autónoma de México: Tlalnepantla, Mexico, 2000; pp. 142–156. [Google Scholar]
- Izaki, I. Influence of no protein nitrogen on estimation of protein from total nitrogen in fleshy fruit. J. Chem. Ecol. 1993, 19, 2605–2615. [Google Scholar] [CrossRef]
- Levey, D.J.; Bissell, H.A.; O’keefe, S.F. Conversion of nitrogen to protein and amino acids in wild fruits. J. Chem. Ecol. 2000, 26, 1749–1763. [Google Scholar] [CrossRef]
- Osborne, D.R. Análisis de los Nutrientes de los Alimentos, 1st ed.; Editorial Acribia: Zaragoza, Spain, 1986; pp. 136–138. [Google Scholar]
- Bonet, S.G.R.; Aguilera, L.C.; Villalba, J.B.; Villalba, D.; Rotela, L.A.; Franco, R.B. Caracterización fisicoquímica de la pulpa y almendra de Acrocomia aculeata. Investig. Agrar. 2020, 22, 46–52. [Google Scholar] [CrossRef]
- Sokal, R.R.; Rohlf, F.J. Biostatistics, 2nd ed.; W.H. Freeman: New York, NY, USA, 1987; p. 364. [Google Scholar]
- Zar, H.J. Biostatistical Analysis, 4th ed.; Prentice Hall: Upper Saddle River, NJ, USA, 1999; p. 663. [Google Scholar]
- Hammer, Ø.; Harper, D.; Ryan, P. Past: Paleontological statistics software package for education and data analysis. Palaeontol. Electron. 2001, 4, 1–9. [Google Scholar]
- Matuzak, G.D.; Bezy, M.B.; Brightsmith, D.J. Foraging ecology of parrots in a modified landscape: Seasonal trends and introduced species. Wilson J. Ornithol. 2008, 120, 353–365. [Google Scholar] [CrossRef]
- Brightsmith, D.J.; McDonald, D.; Matsafuji, D.; Bailey, C.A. Nutritional content of the diets of free-living scarlet macaw chicks in southeastern Peru. J. Avian Med. Surg. 2010, 24, 9–23. [Google Scholar] [CrossRef]
- Gilardi, J.D.; Toft, C.A. Parrots eat nutritious foods despite toxins. PLoS ONE 2012, 76, e38293. [Google Scholar] [CrossRef]
- Brightsmith, D.J.; Cáceres, A. Parrots consume sodium-rich palms in the sodium-deprived landscape of the Western Amazon Basin. Biotropica 2017, 49, 921–931. [Google Scholar] [CrossRef]
- Martin, T.E. Food as a limit on breeding birds: A life-history perspective. Annu. Rev. Ecol. Evol. Syst. 1987, 18, 453–487. [Google Scholar] [CrossRef]
- Renton, K. Diet of adult and nestling Scarlet Macaws in Southwest Belize, Central America. Biotropica 2006, 38, 280–283. [Google Scholar] [CrossRef]
- Díaz, S.; Kitzberger, T.; Peris, S. Food resources and reproductive output of the Austral Parakeet (Enicognathus ferrugineus) in forests of northern Patagonia. Emu Austral Ornithol. 2012, 112, 234–243. [Google Scholar] [CrossRef]
- Brightsmith, D.J.; Hobson, E.A.; Martinez, G. Food availability and breeding season as predictors of geophagy in Amazonian parrots. Ibis 2018, 160, 112–129. [Google Scholar] [CrossRef]
- Wyndham, E. Environment and food of the budgerigar Melopsittacus undulatus. Aust. J. Ecol. 1980, 5, 47–61. [Google Scholar] [CrossRef]
- Symes, C.T.; Perrin, M.R. Feeding biology of the greyheaded parrot, Poicephalus fuscicollis suahelicus (Reichenow), in Northern Province, South Africa. Emu Austral Ornithol. 2003, 103, 49–58. [Google Scholar] [CrossRef]
- Santos, A.A.; Ragusa-Netto, J. Plant food resources exploited by Blue-and-Yellow Macaws (Ara ararauna, Linnaeus 1758) at an urban area in Central Brazil. Braz. J. Biol. 2014, 74, 429–437. [Google Scholar] [CrossRef]
- Selman, R.G.; Perrin, M.R.; Hunter, M.L.; Dean, W.R.J. The feeding ecology of Rüppell’s Parrot, Poicephalus rueppellii, in the Waterberg, Namibia. Ostrich 2002, 73, 127–134. [Google Scholar] [CrossRef]
- Ragusa-Netto, J.; Fecchio, A. Plant food resources and the diet of a parrot community in a gallery forest of the southern Pantanal (Brazil). Braz. J. Biol. 2006, 66, 1021–1032. [Google Scholar] [CrossRef]
- Abramson, J. Nutritional requirements. In The Large Macaws: Their Care, Breeding and Conservation, 1st ed.; Abramson, J., Speer, B.L., Thomsen, J.B., Eds.; Raintree Publications: Fort Bragg, CA, USA, 1995; Volume 1, pp. 111–146. [Google Scholar]
- Pepper, J.W. The Behavioral Ecology of the Glossy Black-Cockatoo Calyptorhynchus lathami halmaturinus. Ph.D. Thesis, University of Michigan, Ann Arbor, MI, USA, 1996. [Google Scholar]
- Pepper, J.W.; Male, T.D.; Roberts, G.E. Foraging ecology of the South Australian glossy black-cockatoo (Calyptorhynchus lathami halmaturinus). Austral Ecol. 2000, 25, 16–24. [Google Scholar] [CrossRef]
- Carey, C. Avian Energetics and Nutritional Ecology, 1st ed.; Chapman and Hall: New York, NY, USA, 1996; p. 542. [Google Scholar]
- Harper, E.J.; Skinner, N.D. Clinical nutrition of small psittacines and passerines. Semin. Avian Exot. Pet Med. 1998, 7, 116–127. [Google Scholar] [CrossRef]
- Fidgett, A.L. Nutritional Aspects of Breeding in Birds. Ph.D. Thesis, University of Glasgow, Glasgow, UK, 2002. [Google Scholar]
- Reynolds, S.J.; Schoech, S.J.; Bowman, R. Nutritional quality of prebreeding diet influences breeding performance of the Florida scrub-jay. Oecologia 2003, 134, 308–316. [Google Scholar] [CrossRef]
- Vleck, C.M.; Brown, J.L. Testosterone and social and reproductive behaviour in Aphelocoma jays. Anim. Behav. 1999, 58, 943–951. [Google Scholar] [CrossRef]
- Goymann, W.; Moore, I.T.; Scheuerlein, A.; Hirschenhauser, K.; Grafen, A.; Wingfield, J.C. Testosterone in tropical birds: Effects of environmental and social factors. Am. Nat. 2004, 164, 327–334. [Google Scholar] [CrossRef]
- Lahaye, S.E.; Eens, M.; Darras, V.M.; Pinxten, R. Testosterone stimulates the expression of male-typical socio-sexual and song behaviors in female budgerigars (Melopsittacus undulatus): An experimental study. Gen. Comp. Endocrinol. 2012, 178, 82–88. [Google Scholar] [CrossRef]
- Millam, J.R. Neonatal handling, behavior and reproduction in Orange-winged amazons and Cockatiels. Int. Zoo Yearb. 2000, 37, 220–231. [Google Scholar] [CrossRef]
- Pereira, R.J.; Christofoletti, M.D.; Blank, M.H.; Duarte, J.M.B. Urofecal steroid profiles of captive Blue-fronted parrots (Amazona aestiva) with different reproductive outcomes. Gen. Com. Endocrinol. 2018, 260, 1–8. [Google Scholar] [CrossRef]
- Wilson, P.R.; Karl, B.J.; Toft, R.J.; Beggs, J.R.; Taylor, R.H. The role of introduced predators and competitors in the decline of kaka (Nestor meridionalis) populations in New Zealand. Biol. Conserv. 1998, 83, 175–185. [Google Scholar] [CrossRef]
- Houston, D.; Mcinnes, K.; Elliott, G.; Eason, D.; Moorhouse, R.; Cockrem, J. The use of a nutritional supplement to improve egg production in the endangered kakapo. Biol. Conserv. 2007, 138, 248–255. [Google Scholar] [CrossRef]
- Hasan, M.K.; Khaliduzzaman, A. Egg formation and embryonic development: An overview. In Informatics in Poultry Production: A Technical Guidebook for Egg and Poultry Education, Research and Industry, 1st ed.; Khaliduzzaman, A., Ed.; Springer: Singapore, 2022; pp. 13–32. [Google Scholar] [CrossRef]
- Péron, F.; Grosset, C. The diet of adult psittacids: Veterinarian and ethological approaches. J. Anim. Physiol. Anim. Nutr. 2014, 98, 403–416. [Google Scholar] [CrossRef]
- Houston, D.C.; Donnan, D.; Jones, P.; Hamilton, I.; Osborne, D. Changes in the muscle condition of female zebra finches Poephila guttata during egg laying and the role of protein storage in bird skeletal muscle. Ibis 1995, 137, 322–328. [Google Scholar] [CrossRef]
- Carciofi, A.C. Estudos sobre nutrição de psitacídeos em vida livre: O exemplo da arara-azul (Anodorhynchus hyacinthinus). In Ecologia e Conservação de Psitacídeos no Brasil, 1st ed.; Galetti, M., Pizo, M.A., Eds.; Mellopsitacus: Belo Horizonte, Brazil, 2002; Volume 1, pp. 63–97. [Google Scholar]
- Cottam, Y.; Merton, D.V.; Hendricks, W. Nutrient composition of the diet of parent-raised kakapo nestlings. Notornis 2006, 53, 90–99. [Google Scholar] [CrossRef]
- Carciofi, A.C.; Sanfilippo, L.F.; De-Oliveira, L.D.; Do Amaral, P.P.; Prada, F. Protein requirements for Blue-fronted Amazon (Amazona aestiva) growth. J. Anim. Physiol. Anim. Nutr. 2008, 92, 363–368. [Google Scholar] [CrossRef]
- Ullrey, D.E.; Allen, M.E.; Baer, D.J. Formulated diets versus seed mixtures for psittacines. J. Nutr. 1991, 121, 193–205. [Google Scholar] [CrossRef] [PubMed]
- González-Alvarado, J.M.; Jiménez-Moreno, E.; Lázaro, R.; Mateos, G.G. Effect of type of cereal, heat processing of the cereal, and inclusion of fiber in the diet on productive performance and digestive traits of broilers. Poult. Sci. 2007, 86, 1705–1715. [Google Scholar] [CrossRef] [PubMed]
- Veloso, R.R., Jr.; Sakomura, N.K.; Kawauchi, I.M.; Malheiros, E.B.; Carciofi, A.C. Effects of food processing and fibre content on the digestibility, energy intake and biochemical parameters of B lue-and-gold macaws (Ara ararauna L.–Aves, Psittacidae). J. Anim. Physiol. Anim. Nutr. 2014, 98, 251–261. [Google Scholar] [CrossRef] [PubMed]







| Common Name | Species | Part Consumed | Evidence Source | Relative Dietary Importance | Main Season of Use | References |
|---|---|---|---|---|---|---|
| Bolivar’s bursera | Bursera bolivarii | Seeds/pulp | L, I | Dominant | Non-breeding | [13,14,17] |
| Copal tree | Bursera copallifera | Seeds/pulp | L, O | Dominant | Breeding and non-breeding | [15,17] |
| Mexican elemi tree | Bursera morelensis | Seeds/pulp | L, I, O | Supplementary | Non-breeding and early breeding | [17] |
| Gumbo-limbo | Bursera simaruba | Seeds/pulp | L, O | Supplementary | Non-breeding | [15] |
| Golden spoon | Byrsonima crassifolia | Pulp | L, I | Supplementary | Chick rearing and fledging | [19] |
| Mexican kapok tree | Ceiba aesculifolia | Seeds | L, I | Dominant | Egg-laying and incubation | [22] |
| Hackberry | Celtis caudata | Seeds | L, I, O | Dominant | Non-breeding | [17] |
| Elephant ear tree | Enterolobium cyclocarpum | Seeds | O | Supplementary | Breeding | Field observations (this study) |
| Mexican mountain papaya | Jacaratia mexicana | Seeds/pulp | O | Supplementary | Courtship and early breeding | Field observations (this study) |
| Coulter’s acacia | Mariosousa coulteri | Seed | O | Occasional | Fledging | Field observations (this study) |
| Madras thorn | Pithecellobium dulce | Seed/pulp | L, I | Supplementary | Non-breeding | [22] |
| Frangipani | Plumeria rubra | Seed | L, I | Occasional | Egg-laying and early chick feeding | [19] |
| Red mombin | Spondias purpurea | Pulp | I, O | Supplementary | Chick rearing and fledging | Interviews and field observations |
Disclaimer/Publisher’s Note: The statements, opinions and data contained in all publications are solely those of the individual author(s) and contributor(s) and not of MDPI and/or the editor(s). MDPI and/or the editor(s) disclaim responsibility for any injury to people or property resulting from any ideas, methods, instructions or products referred to in the content. |
© 2025 by the authors. Licensee MDPI, Basel, Switzerland. This article is an open access article distributed under the terms and conditions of the Creative Commons Attribution (CC BY) license.
Share and Cite
López-Hernández, V.; Vázquez-Reyes, L.D.; Contreras-González, A.M.; Jiménez-Arcos, V.H.; Rodríguez-Malacara, J.T.; Trejo-Boyso, M.P.; Lara-Moreno, T.; Rodriguez, J.A.; Flores-Ortiz, C.M.; Rivera-Ortiz, F.A. Nutritional Profiles of Plants Consumed by Military Macaw During the Breeding and Non-Breeding Seasons in the Alto Balsas Basin, Mexico. Birds 2026, 7, 2. https://doi.org/10.3390/birds7010002
López-Hernández V, Vázquez-Reyes LD, Contreras-González AM, Jiménez-Arcos VH, Rodríguez-Malacara JT, Trejo-Boyso MP, Lara-Moreno T, Rodriguez JA, Flores-Ortiz CM, Rivera-Ortiz FA. Nutritional Profiles of Plants Consumed by Military Macaw During the Breeding and Non-Breeding Seasons in the Alto Balsas Basin, Mexico. Birds. 2026; 7(1):2. https://doi.org/10.3390/birds7010002
Chicago/Turabian StyleLópez-Hernández, Valeria, Leopoldo D. Vázquez-Reyes, Ana María Contreras-González, Victor H. Jiménez-Arcos, Jorge Tanit Rodríguez-Malacara, Megan P. Trejo-Boyso, Taisha Lara-Moreno, Jose Alfredo Rodriguez, Cesar Mateo Flores-Ortiz, and Francisco Alberto Rivera-Ortiz. 2026. "Nutritional Profiles of Plants Consumed by Military Macaw During the Breeding and Non-Breeding Seasons in the Alto Balsas Basin, Mexico" Birds 7, no. 1: 2. https://doi.org/10.3390/birds7010002
APA StyleLópez-Hernández, V., Vázquez-Reyes, L. D., Contreras-González, A. M., Jiménez-Arcos, V. H., Rodríguez-Malacara, J. T., Trejo-Boyso, M. P., Lara-Moreno, T., Rodriguez, J. A., Flores-Ortiz, C. M., & Rivera-Ortiz, F. A. (2026). Nutritional Profiles of Plants Consumed by Military Macaw During the Breeding and Non-Breeding Seasons in the Alto Balsas Basin, Mexico. Birds, 7(1), 2. https://doi.org/10.3390/birds7010002

