Factors Affecting the Winter Distribution of Birds in Forests at the Eastern Edge of Europe
Abstract
Simple Summary
Abstract
1. Introduction
2. Materials and Methods
2.1. Study Area
2.2. Bird Data
2.3. Data Analysis
2.3.1. Relationship between Species Richness, Total Density, and Shannon Index with Environmental Variables
2.3.2. Relationship between Bird Species and Environmental Variables
3. Results
3.1. General Information on Bird Species
3.2. Early Winter
3.3. Late Winter
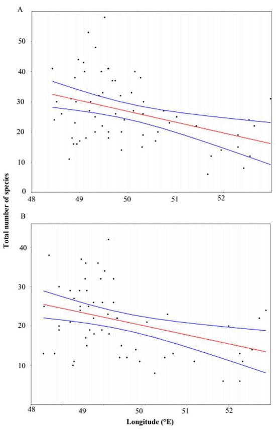
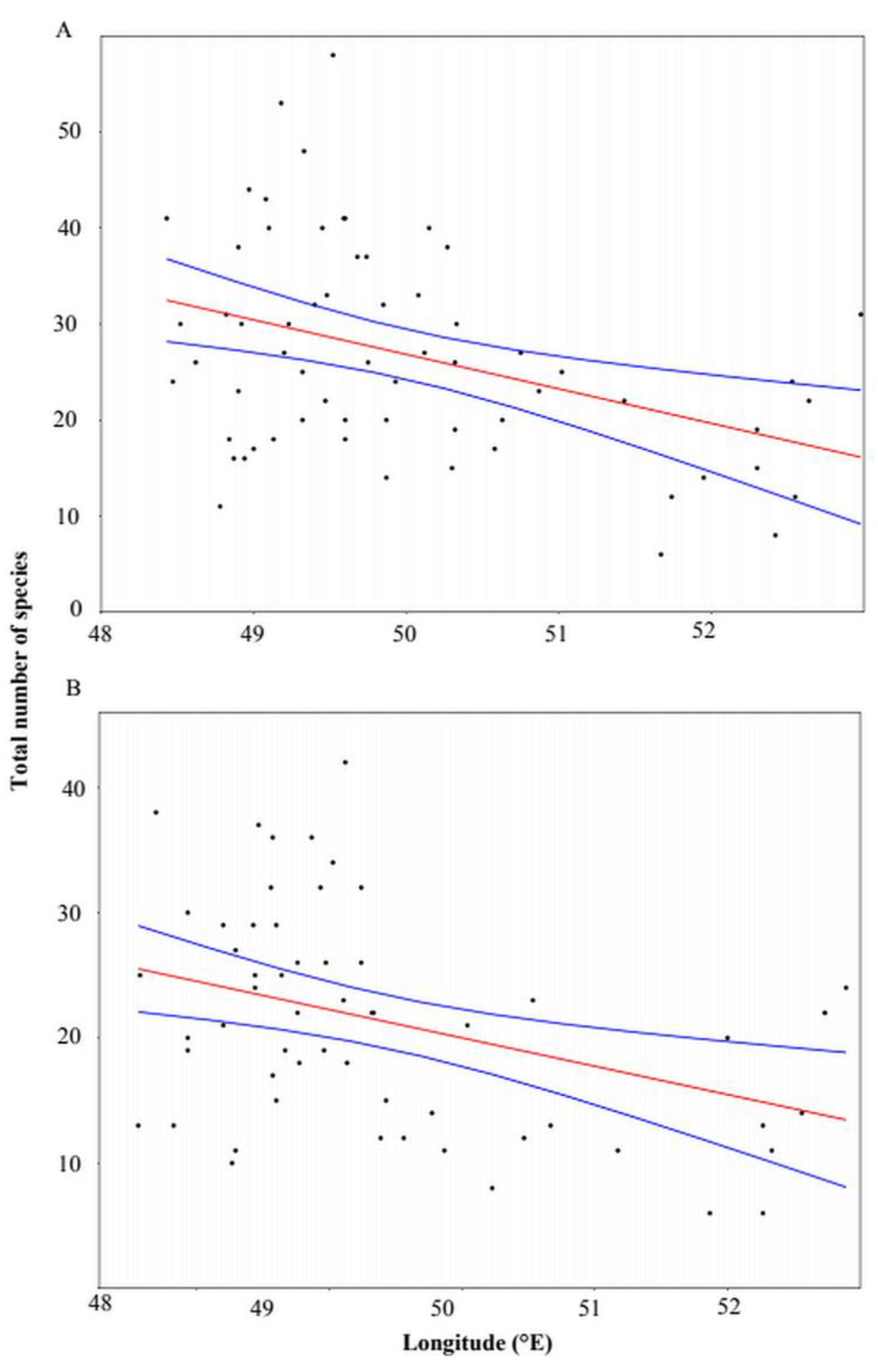
3.4. Relationships of Species Richness, Total Density, and Shannon Index with Environmental Variables
3.4.1. Early Winter
3.4.2. Late Winter
3.5. Relationship between Bird Assemblages and Environmental Variables
3.5.1. Early Winter
3.5.2. Late Winter
3.6. Factors Explaining the Occurrence of Bird Species
3.6.1. Early Winter
3.6.2. Late Winter
4. Discussion
5. Conclusions
Author Contributions
Funding
Institutional Review Board Statement
Informed Consent Statement
Data Availability Statement
Acknowledgments
Conflicts of Interest
Appendix A. Weather Details for the Study Winters
| November | December | January | February | March | |
|---|---|---|---|---|---|
| 2018/9 | −2.37 | −8.07 | −10.27 | −7.02 | −0.82 |
| 2019/20 | −1.77 | −4.08 | −2.93 | −3.23 | 2.92 |
| 2020/1 | −2.33 | −4.09 | −9.89 | −14.69 | −4.29 |
| 2021/2 | −0.39 | −10.69 | −9.89 | −3.14 | −4.19 |
| 2022/3 | −1.64 | −8.10 | −11.60 | −7.60 | 1.65 |
| November | December | January | February | March | |
|---|---|---|---|---|---|
| 2018/9 | 8 | 25 | 27 | 25 | 20 |
| 2019/20 | 7 | 15 | 25 | 22 | 6 |
| 2020/1 | 14 | 20 | 29 | 19 | 18 |
| 2021/2 | 19 | 26 | 27 | 21 | 14 |
| 2022/3 | 18 | 23 | 20 | 27 | 13 |
References
- Woodworth, B.K.; Wheelwright, N.T.; Newman, A.E.; Schaub, M.; Norris, D.R. Winter temperatures limit population growth rate of a migratory songbird. Nat. Commun. 2017, 8, 14812. [Google Scholar] [CrossRef] [PubMed]
- Meehl, G.A.; Stocker, T.F.; Collins, W.D.; Friedlingstein, P.; Gaye, A.T.; Gregory, J.M.; Kitoh, A.; Knutti, R.; Murphy, J.M.; Noda, A.; et al. Global Climate Projections. In Climate Change 2007: The Physical Science Basis. Contribution of Working Group I to the Fourth Assessment Report of the Intergovernmental Panel on Climate Change; Solomon, S., Qin, D., Manning, M., Chen, Z., Marquis, M., Averyt, K.B., Tignor, M., Miller, H.L., Eds.; Cambridge University Press: Cambridge, UK, 2007; pp. 747–846. [Google Scholar]
- Askeyev, O.; Askeyev, A.; Askeyev, I. Recent climate change has increased forest winter bird densities in East Europe. Ecol. Res. 2018, 33, 445–456. [Google Scholar] [CrossRef]
- Jokimäki, J.; Suhonen, J.; Inki, K.; Jokinen, S. Biogeographical comparison of winter bird assemblages in urban environments in Finland. J. Biogeogr. 1996, 23, 379–386. [Google Scholar] [CrossRef]
- Jokimäki, J.; Suhonen, J. Distribution and habitat selection of wintering birds in urban environments. Landsc. Urban Plan. 1998, 39, 253–263. [Google Scholar] [CrossRef]
- Siriwardena, G.M.; Calbrade, N.A.; Vickery, J.A.; Sutherland, W.J. The effect of the spatial distribution of winter seed food resources on their use by farmland birds. J. Appl. Ecol. 2006, 43, 628–639. [Google Scholar] [CrossRef]
- Gillings, S.; Wilson, A.M.; Conway, G.J.; Vickery, J.A.; Fuller, R.J. Distribution and abundance of birds and their habitats within the lowland farmland of Britain in winter. Bird Study 2008, 55, 8–22. [Google Scholar] [CrossRef]
- Baker, D.J.; Freeman, S.N.; Grice, P.V.; Siriwardena, G.M. Landscape-scale responses of birds to agri-environment management: A test of the English Environmental Stewardship scheme. J. Appl. Ecol. 2012, 49, 871–882. [Google Scholar] [CrossRef]
- Jokimäki, J.; Kaisanlahti-Jokimäki, M. Residential areas support overwintering possibilities of most bird species. Ann. Zool. Fenn. 2012, 49, 240–256. [Google Scholar] [CrossRef]
- Tryjanowski, P.; Sparks, T.; Biadun, W.; Brause, T. Winter bird assemblages in rural and urban environments: A national survey. PLoS ONE 2015, 10, e0130299. [Google Scholar] [CrossRef] [PubMed]
- Ciach, M.; Fröhlich, A. Habitat type, food resources, noise and light pollution explain the species composition, abundance and stability of a winter bird assemblage in an urban environment. Urban Ecosyst. 2017, 20, 547–559. [Google Scholar] [CrossRef]
- Suhonen, J.; Jokimäki, J. Temporally stable species occupancy frequency distribution and abundance–occupancy relationship patterns in urban wintering bird assemblages. Front. Ecol. Evol. 2019, 7, 129. [Google Scholar] [CrossRef]
- Both, C.; van Asch, M.; Bijlsma, R.; van den Burg, A.; Visser, M. Climate change and unequal phenological changes across four trophic levels: Constraints or adaptations? J. Anim. Ecol. 2009, 78, 73–83. [Google Scholar] [CrossRef] [PubMed]
- Lindström, A.; Green, M.; Paulson, G.; Smith, H.G.; Devictor, V. Rapid changes in bird community composition at multiple spatial scales in response to recent climate change. Ecography 2013, 36, 313–322. [Google Scholar] [CrossRef]
- Gruza, G.V.; Bardin, M.Y.; Rankova, E.Y.; Rocheva, E.V.; Platova, T.V.; Samokhina, O.F.; Egorov, V.I.; Paramonov, S.G.; Latyshev, B.A.; Radionov, V.F.; et al. A Report on Climate Features on the Territory of the Russian Federation in 2015; Russian Federal Service for Hydrometeorology and Environmental Monitoring (ROSHYDROMET): Moscow, Russia, 2016.
- Askeyev, A.O.; Askeyev, O.V.; Askeyev, I.V.; Sparks, T.H. Woodpecker populations in winter in the interior of the European continent are highly dependent on climate change and its consequences. J. Ornithol. 2022, 163, 481–493. [Google Scholar] [CrossRef]
- IPCC Climate Change and Land: An IPCC Special Report on Climate Change, Desertification, Land Degradation, Sustainable Land Management, Food Security, and Greenhouse Gas Fluxes in Terrestrial Ecosystems; Intergovernmental Panel on Climate Change: Geneva, Switzerland, 2019.
- Roshydromet. A Report on Climate Features on the Territory of the Russian Federation in 2018; Report of Russian Federal Service for Hydrometeorology and Environmental Monitoring: Moscow, Russia, 2019. (In Russian)
- Askeyev, A.; Askeyev, O.; Askeyev, I. Owls as bioindicators: Their spatial and temporal aspects in Eastern Europe. Eur. J. Ecol. 2019, 5, 8–15. [Google Scholar] [CrossRef]
- Lehikoinen, A.; Virkkala, R. North by north-west: Climate change and directions of density shifts in birds. Glob. Chang. Biol. 2016, 22, 1121–1129. [Google Scholar] [CrossRef] [PubMed]
- Hisano, M.; Searle, E.B.; Chen, H.Y. Biodiversity as a solution to mitigate climate change impacts on the functioning of forest ecosystems. Biol. Rev. 2018, 93, 439–456. [Google Scholar] [CrossRef] [PubMed]
- Seidl, R.; Honkaniemi, J.; Aakala, T.; Aleinikov, A.; Angelstam, P.; Bouchard, M.; Boulanger, Y.; Burton, P.J.; De Grandpré, L.; Gauthier, S.; et al. Globally consistent climate sensitivity of natural disturbances across boreal and temperate forest ecosystems. Ecography 2020, 43, 967–978. [Google Scholar] [CrossRef]
- Hagemeijer, W.J.; Blair, M.J. The EBCC Atlas of European Breeding Birds: Their Distribution and Abundance; T & AD Poyser: London, UK, 1997. [Google Scholar]
- Newton, I. The Migration Ecology of Birds; Academic Press: London, UK, 2008. [Google Scholar]
- Jiguet, F.; Gregory, R.D.; Devictor, V.; Green, R.E.; Vorisek, P.; Van Strien, A.; Couvet, D. Population trends of European common birds are predicted by characteristics of their climatic niche. Glob. Chang. Biol. 2010, 16, 497–505. [Google Scholar] [CrossRef]
- Hogstad, O. Rank-related response in foraging site selection and vigilance behaviour of a small passerine to different winter weather conditions. Ornis Fenn. 2015, 92, 53–62. [Google Scholar] [CrossRef]
- Hofmeister, J.; Hošek, J.; Brabec, M.; Kočvara, R. Spatial distribution of bird communities in small forest fragments in central Europe in relation to distance to the forest edge, fragment size and type of forest. For. Ecol. Manag. 2017, 401, 255–263. [Google Scholar] [CrossRef]
- Formozov, A.N. Animals, Birds and Their Relationship with the Environment; Nauka: Moscow, Russia, 1976. (In Russian) [Google Scholar]
- Bonan, G.B.; Levis, S.; Sitch, S.; Vertenstein, M.; Oleson, K.W. A dynamic global vegetation model for use with climate models: Concepts and description of simulated vegetation dynamics. Glob. Chang. Biol. 2003, 9, 1543–1566. [Google Scholar] [CrossRef]
- Bosco, L.; Xu, Y.; Deshpande, P.; Lehikoinen, A. Range shifts of overwintering birds depend on habitat type, snow conditions and habitat specialization. Oecologia 2022, 199, 725–736. [Google Scholar] [CrossRef] [PubMed]
- Askeyev, A.; Askeyev, O.; Askeyev, I.; Sparks, T. The role of climate change and food supply on winter populations of seed-eating birds. Eur. J. Ecol. 2023, 9, 58–69. [Google Scholar] [CrossRef]
- Askeyev, I.; Askeyev, O. The Avifauna of the Republic of Tatarstan (Abstract of the Current State); Olitekh: Kazan, Russia, 1999. (In Russian) [Google Scholar]
- Minnikhanov, R.N. (Ed.) Atlas of the Republic of Tatarstan; Cartography: Moscow, Russia, 2005. (In Russian) [Google Scholar]
- Ravkin, Y.S. On the procedure of bird census in forest landscapes. In the Nature of Tick-Borne Encephalitis Foci in Altai; Nauka: Novosibirsk, Russia, 1967; pp. 66–75. (In Russian) [Google Scholar]
- Newton, I. Speciation and Biogeography of Birds; Academic Press: London, UK, 2003. [Google Scholar]
- Gill, F.; Donsker, D.; Rasmussen, P. (Eds.) IOC World Bird List (v14.1). Available online: https://www.worldbirdnames.org/new/ (accessed on 9 June 2024).
- Kapper, V. Business Crop in Forestry in USSR; Nauka: Moscow, Russia, 1926. (In Russian) [Google Scholar]
- Swets, J.A. Measuring the accuracy of diagnostic systems. Science 1988, 240, 1285–1293. [Google Scholar] [CrossRef] [PubMed]
- Askeyev, A.; Askeyev, O.; Yanybaev, N.; Askeyev, I.; Monakhov, S.; Marić, S.; Hulsman, K. River fish assemblages along an elevation gradient in the eastern extremity of Europe. Environ. Biol. Fishes 2017, 100, 585–596. [Google Scholar] [CrossRef]
- Newton, I. Population Limitation in Birds; Academic Press: London, UK, 1998. [Google Scholar]
- Siriwardena, G.M.; Stevens, D.K.; Anderson, G.Q.; Vickery, J.A.; Calbrade, N.A.; Dodd, S. The effect of supplementary winter seed food on breeding populations of farmland birds: Evidence from two large-scale experiments. J. Appl. Ecol. 2007, 44, 920–932. [Google Scholar] [CrossRef]
- Suhonen, J.; Jokimäki, J. Fruit removal from rowanberry (Sorbus aucuparia) trees at urban and rural areas in Finland: A multi-scale study. Landsc. Urban Plan. 2015, 137, 13–19. [Google Scholar] [CrossRef]
- Suhonen, J.; Jokimäki, J.; Lassila, R.; Kaisanlahti-Jokimäki, M.L.; Carbó-Ramírez, P. Effects of roads on fruit crop and removal rate from rowanberry trees (Sorbus aucuparia) by birds in urban areas of Finland. Urban For. Urban Green. 2017, 27, 148–154. [Google Scholar] [CrossRef]
- Fayt, P. Population Ecology of the Three-Toed Woodpecker under Varying Food Supplies. Ph.D. Thesis, University of Joensuu, Joensuu, Finland, 2003. [Google Scholar]
- Hardenbol, A.; Pakkala, T.; Kouki, J. Persistence of a keystone microhabitat in boreal forests: Cavities of Eurasian Three-toed Woodpeckers (Picoides tridactylus). For. Ecol. Manag. 2019, 450, 117530. [Google Scholar] [CrossRef]
- Korpimäki, E.; Hakkarainen, H. The Boreal Owl Ecology, Behaviour and Conservation of a Forest-Dwelling Predator; Cambridge University Press: Cambridge, UK, 2012. [Google Scholar]
- Lehikoinen, A.; Väisänen, R.A.; Hokkanen, T. Siemen-ja marjalintujen runsaus Suomessa erilaisina puiden satotalvina 1957–2009. Linnut-vuosikirja 2010, 2009, 90–99. [Google Scholar]
- Kanerva, A.M.; Hokkanen, T.; Lehikoinen, A.; Norrdahl, K.; Suhonen, J. The impact of tree crops and temperature on the timing of frugivorous bird migration. Oecologia 2020, 193, 1021–1026. [Google Scholar] [CrossRef] [PubMed]
- Green, M.; Haas, F.; Lindström, Å. Övervakning av Fåglarnas Populationsutveckling: Årsrapport för 2015; Biologiska Institutionen, Lunds Universitet: Lund, Sweden, 2016. [Google Scholar]
- Lehikoinen, A.; Foppen, R.P.B.; Heldbjerg, H.; Lindström, Å.; van Manen, W.; Piirainen, S.; van Turnhout, C.A.M.; Butchart, S.H.M. Large-scale climatic drivers of regional winter bird population trends. Divers. Distrib. 2016, 22, 1163–1173. [Google Scholar] [CrossRef]
- Eskildsen, D.P.; Vikstrøm, T.; Jørgensen, M.F. Overvågning af de Almindelige Fuglearter i Danmark 1975–2020; Årsrapport for Punkttællingsprogrammet; Dansk Ornitologisk Forening: Copenhagen, Denmark, 2021. [Google Scholar]
- Fraixedas, S.; Lehikoinen, A.; Linden, A. Impacts of climate and land-use change on wintering bird populations in Finland. J. Avian. Biol. 2015, 46, 63–72. [Google Scholar] [CrossRef]
- Cramp, S. (Ed.) Handbook of the Birds of Europe, the Middle East and North Africa: The Birds of the Western Palearctic; Oxford University Press: Oxford, UK, 1977–1994. [Google Scholar]






| No. | Species Name and Code | Early Winter | Late Winter | ||
|---|---|---|---|---|---|
| Occurrence % | Density /km2 | Occurrence % | Density /km2 | ||
| 1 | Ardea cinerea—Grey Heron | 0 | 0 | 1.7 | 0.01 ± 0.01 |
| 2 | Accipiter gentilis—Eurasian Goshawk (Acge) | 25.4 | 0.21 ± 0.07 | 25.9 | 0.16 ± 0.06 |
| 3 | Accipiter nisus—Eurasian Sparrowhawk (Acni) | 22.2 | 0.12 ± 0.03 | 10.3 | 0.08 ± 0.04 |
| 4 | Buteo lagopus—Rough-legged Buzzard (Bula) | 44.4 | 0.88 ± 0.19 | 13.8 | 0.08 ± 0.04 |
| 5 | Aquila chrysaetos—Golden Eagle | 6.3 | 0.02 ± 0.01 | 5.2 | 0.01 ± 0.01 |
| 6 | Aquila heliaca—Eastern Imperial Eagle | 3.2 | 0.02 ± 0.01 | 0 | 0 |
| 7 | Haliaetus albicilla—White-tailed Eagle (Haal) | 31.8 | 0.28 ± 0.08 | 37.9 | 0.31 ± 0.11 |
| 8 | Falco columbarius—Merlin | 7.9 | 0.09 ± 0.05 | 3.4 | 0.01 ± 0.01 |
| 9 | Falco peregrinus—Peregrine Falcon | 6.3 | 0.02 ± 0.01 | 3.4 | 0.01 ± 0.01 |
| 10 | Lyrurus tetrix—Black Grouse (Lyte) | 38.1 | 0.46 ± 0.13 | 18.9 | 0.27 ± 0.12 |
| 11 | Tetrao urogallus—Western Capercaillie | 6.3 | 0.05 ± 0.03 | 3.4 | 0.06 ± 0.05 |
| 12 | Tetrastes bonasia—Hazel Grouse (Tebo) | 25.4 | 0.86 ± 0.30 | 12.1 | 0.45 ± 0.25 |
| 13 | Perdix perdix—Grey Partridge (Pepe) | 20.6 | 1.15 ± 0.48 | 24.1 | 5.21 ± 2.27 |
| 14 | Scolopax rusticola—Eurasian Woodcock | 7.9 | 0.13 ± 0.07 | 0 | 0 |
| 15 | Larus cachinnans—Caspian Gull | 3.3 | 0.21 ± 0.19 | 1.7 | 0.01 ± 0.01 |
| 16 | Columba oenas—Stock Dove (Cooe) | 15.9 | 0.08 ± 0.03 | 6.9 | 0.07 ± 0.05 |
| 17 | Columba palumbus—Common Wood Pigeon | 3.2 | 0.04 ± 0.03 | 0 | 0 |
| 18 | Bubo bubo—Eurasian Eagle-Owl | 1.6 | 0.01 ± 0.01 | 0 | 0 |
| 19 | Asio otus—Long-eared Owl | 1.6 | 0.01 ± 0.01 | 1.7 | 0.14 ± 0.14 |
| 20 | Aegolius funereus—Boreal Owl (Aefu) | 9.5 | 0.04 ± 0.02 | 10.3 | 0.05 ± 0.03 |
| 21 | Glaucidium passerinum—Eurasian Pygmy Owl (Glpa) | 15.9 | 0.10 ± 0.04 | 10.3 | 0.08 ± 0.04 |
| 22 | Athene noctua—Little Owl | 3.2 | 0.01 ± 0.01 | 1.7 | 0.01 ± 0.01 |
| 23 | Surnia ulula—Northern Hawk-owl | 4.8 | 0.06 ± 0.04 | 0 | 0 |
| 24 | Strix aluco—Tawny Owl | 4.8 | 0.03 ± 0.02 | 0 | 0 |
| 25 | Strix uralensis—Ural Owl | 34.9 | 0.29 ± 0.09 | 25.9 | 0.22 ± 0.08 |
| 26 | Dendrocopos leucotos—White-backed Woodpecker (Dele) | 61.9 | 2.26 ± 0.41 | 63.8 | 1.68 ± 0.29 |
| 27 | Dendrocopos major—Great Spotted Woodpecker (Dema) | 84.1 | 16.20 ± 1.89 | 81.0 | 13.12 ± 1.59 |
| 28 | Dendrocoptes medius—Middle Spotted Woodpecker (Deme) | 9.5 | 0.14 ± 0.09 | 8.6 | 0.15 ± 0.11 |
| 29 | Dryocopus martius—Black Woodpecker (Drma) | 60.3 | 1.16 ± 0.19 | 65.5 | 1.81 ± 0.38 |
| 30 | Dryobates minor—Lesser Spotted Woodpecker (Drmi) | 60.3 | 1.86 ± 0.41 | 44.8 | 1.01 ± 0.18 |
| 31 | Picoides tridactylus—Eurasian Three-toed Woodpecker (Pitr) | 25.4 | 1.11 ± 0.32 | 18.9 | 0.47 ± 0.21 |
| 32 | Picus canus—Grey-headed Woodpecker (Pica) | 23.8 | 0.35 ± 0.17 | 37.9 | 0.35 ± 0.08 |
| 33 | Picus viridis—Green Woodpecker (Pivi) | 15.9 | 0.12 ± 0.04 | 12.1 | 0.06 ± 0.02 |
| 34 | Eremophila alpestris—Horned Lark | 7.9 | 0.22 ± 0.13 | 5.2 | 0.02 ± 0.01 |
| 35 | Motacilla alba—White Wagtail | 3.2 | 0.03 ± 0.02 | 0 | 0 |
| 36 | Lanius excubitor—Great Grey Shrike | 20.6 | 0.20 ± 0.09 | 8.6 | 0.33 ± 0.18 |
| 37 | Corvus cornix—Hooded Crow (Coco) | 68.3 | 2.32 ± 0.62 | 81.0 | 3.35 ± 0.89 |
| 38 | Corvus corax—Common Raven (Cocr) | 92.1 | 3.91 ± 0.45 | 84.4 | 2.59 ± 0.34 |
| 39 | Corvus monedula—Jackdaw (Como) | 36.5 | 0.91 ± 0.41 | 37.9 | 0.61 ± 0.21 |
| 40 | Garrulus glandarius—European Jay (Gagl) | 79.4 | 4.87 ± 0.68 | 67.2 | 2.89 ± 0.49 |
| 41 | Nucifraga caryocatactes—Eurasian (Spotted) Nutcracker (Nuca) | 33.3 | 0.66 ± 0.22 | 18.9 | 0.29 ± 0.11 |
| 42 | Perisoreus infaustus—Siberian Jay | 4.8 | 0.15 ± 0.10 | 0 | 0 |
| 43 | Pica pica—Eurasian Magpie (Pipi) | 61.9 | 4.13 ± 0.87 | 68.9 | 6.38 ± 1.19 |
| 44 | Prunella montanella—Siberian Accentor | 7.9 | 0.21 ± 0.13 | 0 | 0 |
| 45 | Prunella modularis—Dunnock | 6.3 | 0.16 ± 0.12 | 0 | 0 |
| 46 | Bombycilla garullus—Waxwing (Boga) | 57.1 | 12.48 ± 2.48 | 51.7 | 16.68 ± 4.01 |
| 47 | Regulus regulus—Goldcrest (Rere) | 66.7 | 41.01 ± 6.21 | 53.4 | 14.73 ± 2.63 |
| 48 | Phylloscopus collybita—Common Chiffchaff | 3.2 | 0.03 ± 0.02 | 0 | 0 |
| 49 | Erithacus rubecula—European Robin (Erru) | 33.3 | 1.20 ± 0.35 | 3.4 | 0.05 ± 0.04 |
| 50 | Phoenicurus ochruros—Black Redstart | 7.9 | 0.17 ± 0.08 | 1.7 | 0.02 ± 0.02 |
| 51 | Turdus merula—Common Blackbird (Tume) | 9.5 | 0.29 ± 0.14 | 1.7 | 0.02 ± 0.02 |
| 52 | Turdus philomelos—Song Thrush (Tuph) | 15.9 | 0.78 ± 0.36 | 1.7 | 0.01 ± 0.01 |
| 53 | Turdus pilaris—Fieldfare (Tupi) | 55.6 | 7.21 ± 2.13 | 34.0 | 6.02 ± 1.93 |
| 54 | Turdus viscivorus—Mistle Thrush (Tuvi) | 15.9 | 0.56 ± 0.21 | 5.1 | 0.08 ± 0.05 |
| 55 | Turdus iliacus—Redwing (Tuil) | 22.2 | 0.79 ± 0.35 | 1.7 | 0.03 ± 0.03 |
| 56 | Aegithalos caudatus—Long-tailed Tit (Aeca) | 92.1 | 56.60 ± 5.84 | 70.7 | 27.71 ± 3.92 |
| 57 | Cyanistes caeruleus—Blue Tit (Cyca) | 84.1 | 31.31 ± 3.60 | 79.3 | 17.42 ± 4.38 |
| 58 | Cyanistes cyanus—Azure Tit (Cycy) | 9.5 | 0.24 ± 0.14 | 10.3 | 0.31 ± 0.16 |
| 59 | Lophophanes cristatus—Crested Tit (Locr) | 9.5 | 2.46 ± 1.14 | 13.8 | 3.19 ± 1.29 |
| 60 | Parus major—Great Tit (Pama) | 87.3 | 28.81 ± 4.39 | 74.1 | 21.31 ± 6.07 |
| 61 | Periparus ater—Coal Tit (Peat) | 65.1 | 52.30 ± 8.27 | 56.9 | 16.81 ± 2.73 |
| 62 | Poecile montanus—Willow Tit (Pomo) | 88.9 | 61.80 ± 7.20 | 84.4 | 33.91 ± 4.41 |
| 63 | Poecile palustris—Marsh Tit (Popa) | 57.1 | 17.29 ± 3.19 | 62.1 | 11.32 ± 1.94 |
| 64 | Sitta eutopaea—Eurasian Nuthatch (Sieu) | 92.1 | 34.42 ± 3.21 | 81.0 | 15.00 ± 2.63 |
| 65 | Certhia familiaris—Eurasian Treecreeper (Cefa) | 85.7 | 23.91 ± 3.02 | 75.9 | 8.91 ± 1.25 |
| 66 | Passer montanus—Eurasian Tree Sparrow (Pamo) | 19.1 | 1.15 ± 0.44 | 20.7 | 2.04 ± 0.79 |
| 67 | Troglodytes troglodytes—Eurasian Wren (Trtr) | 19.1 | 0.61 ± 0.25 | 1.7 | 0.02 ± 0.02 |
| 68 | Acanthis flammea—Common Redpoll (Acfl) | 80.9 | 36.22 ± 5.39 | 77.6 | 37.71 ± 7.16 |
| 69 | Carduelis carduelis—European Goldfinch (Caca) | 61.9 | 9.80 ± 1.99 | 48.3 | 13.73 ± 3.51 |
| 70 | Chloris chloris—European Greenfinch (Chch) | 33.3 | 0.96 ± 0.32 | 32.8 | 1.79 ± 0.68 |
| 71 | Spinus spinus—Eurasian Siskin (Spsp) | 66.7 | 19.12 ± 3.05 | 48.3 | 10.54 ± 2.30 |
| 72 | Carpodacus sibiricus—Siberian Long-tailed Rosefinch | 7.9 | 0.17 ± 0.10 | 6.9 | 0.19 ± 0.13 |
| 73 | Pinicola enucleator—Pine Grosbeak (Pien) | 19.1 | 0.44 ± 0.23 | 5.2 | 0.05 ± 0.03 |
| 74 | Loxia curvirostra—Red Crossbill (Locu) | 52.4 | 14.70 ± 4.14 | 48.3 | 11.02 ± 3.67 |
| 75 | Loxia leucoptera—Two-barred Crossbill (Lole) | 14.3 | 0.98 ± 0.38 | 6.9 | 0.21 ± 0.15 |
| 76 | Loxia pytyopsittacys—Parrot Crossbill | 0 | 0 | 1.7 | 0.01 ± 0.01 |
| 77 | Pyrrhula pyrrhula—Common Bullfinch (Pypy) | 92.1 | 27.70 ± 3.01 | 89.7 | 15.51 ± 2.89 |
| 78 | Coccothraustes coccothraustes—Hawfinch | 7.9 | 0.05 ± 0.02 | 8.6 | 0.39 ± 0.27 |
| 79 | Fringilla montifringilla—Brambling | 7.9 | 2.76 ± 1.38 | 1.7 | 0.05 ± 0.05 |
| 80 | Fringilla coelebs—Eurasian Chaffinch | 7.9 | 1.83 ± 1.31 | 5.2 | 0.07 ± 0.04 |
| 81 | Linaria cannabina—Common Linnet (Lica) | 22.2 | 0.64 ± 0.25 | 18.9 | 1.75 ± 1.23 |
| 82 | Emberiza citrinella—Yellowhammer (Emci) | 46.0 | 4.17 ± 1.36 | 12.1 | 0.66 ± 0.36 |
| 83 | Emberiza rustica—Rustic Bunting | 7.9 | 0.26 ± 0.12 | 1.7 | 0.02 ± 0.02 |
| Constant | Elev | Lat | Long | Con | Row | AIC | |
|---|---|---|---|---|---|---|---|
| (a) Early winter | |||||||
| Species richness | 1.9 | −0.4 | −3.3 | 0.7 | 1.6 | 479.7 | |
| Total bird density | 8.5 | 2.1 | −3.2 | 4.1 | 2.6 | 849.3 | |
| Shannon index (H′) | 3.2 | −0.2 | −0.9 | 214.4 | |||
| (b) Late winter | |||||||
| Species richness | 1.1 | −0.6 | −1.6 | 414.9 | |||
| Total bird density | 7.6 | −3.0 | 5.2 | 753.9 | |||
| Shannon index (H′) | 3.1 | −0.2 | −0.3 | 0.3 | 211.2 |
| Species Name | Constant | Elev | Lat | Long | Con | Row | AIC | AUC |
|---|---|---|---|---|---|---|---|---|
| Goshawk | 1.4 | −0.3 | −1.1 | 0.6 | 60.1 | 0.818 | ||
| Sparrowhawk | 3.1 | −0.7 | 0.4 | 67.2 | 0.795 | |||
| Rough-legged Buzzard | 3.5 | −0.8 | 72.4 | 0.701 | ||||
| White-tailed Eagle | 1.1 | −0.2 | 71.4 | 0.704 | ||||
| Black Grouse | No model | |||||||
| Hazel Grouse | −2.9 | 2.4 | 0.4 | 59.9 | 0.831 | |||
| Grey Partridge | 2.2 | −2.9 | −0.4 | 56.1 | 0.831 | |||
| Stock Dove | −0.6 | −0.4 | 51.9 | 0.715 | ||||
| Boreal Owl | 1.7 | 3.2 | −1.5 | 0.5 | 33.5 | 0.924 | ||
| Eurasian Pygmy Owl | 4.1 | −1.1 | 0.2 | 48.6 | 0.851 | |||
| Ural Owl | No model | |||||||
| White-backed Woodpecker | 2.5 | −3.3 | −1.3 | 59.9 | 0.870 | |||
| Great Spotted Woodpecker | −0.7 | 3.3 | 0.2 | 36.7 | 0.911 | |||
| Middle Spotted Woodpecker | −0.9 | −0.1 | 35.9 | 0.797 | ||||
| Black Woodpecker | 2.9 | −0.9 | −0.6 | 0.3 | 70.5 | 0.756 | ||
| Lesser Spotted Woodpecker | 3.4 | −0.7 | 81.0 | 0.702 | ||||
| Three-toed Woodpecker | 2.0 | 3.4 | 0.5 | 46.5 | 0.923 | |||
| Grey-headed Woodpecker | 1.5 | −0.4 | 0.2 | 58.3 | 0.830 | |||
| Green Woodpecker | 4.6 | −1.6 | 51.2 | 0.726 | ||||
| Hooded Crow | 1.5 | −3.1 | 1.3 | 68.5 | 0.800 | |||
| Common Raven | −1.3 | 2.4 | 36.0 | 0.724 | ||||
| Jackdaw | −2.6 | −0.2 | −0.4 | −0.4 | 0.8 | 71.7 | 0.841 | |
| European Jay | 3.4 | −0.7 | 0.3 | 62.4 | 0.711 | |||
| Eurasian Nutcracker | −1.4 | 2.5 | 0.3 | 61.7 | 0.848 | |||
| Eurasian Magpie | 3.4 | −0.4 | 59.0 | 0.892 | ||||
| Waxwing | −1.5 | 2.1 | 62.2 | 0.858 | ||||
| Goldcrest | −4.4 | 3.5 | 0.2 | 42.7 | 0.946 | |||
| European |Robin | 2.6 | −0.6 | 0.3 | 74.7 | 0.727 | |||
| Song Thrush | −1.8 | 0.8 | 51.8 | 0.798 | ||||
| Fieldfare | −0.7 | 0.9 | 80.7 | 0.701 | ||||
| Mistle Thrush | −2.8 | 0.9 | 54.0 | 0.796 | ||||
| Redwing | 2.9 | 0.7 | 68.5 | 0.724 | ||||
| Common Blackbird | −1.9 | 1.3 | 39.9 | 0.842 | ||||
| Long-tailed Tit | 3.3 | −0.6 | 40.2 | 0.728 | ||||
| Blue Tit | 1.4 | −2.5 | 53.4 | 0.728 | ||||
| Azure Tit | 2.0 | −0.2 | −3.5 | 25.6 | 0.962 | |||
| Crested Tit | 3.3 | 5.8 | −5.4 | 0.7 | 21.3 | 0.983 | ||
| Great Tit | 2.2 | −0.2 | 63.9 | 0.733 | ||||
| Coal Tit | −1.6 | 3.8 | 0.4 | 51.4 | 0.901 | |||
| Willow Tit | −0.2 | 0.2 | 36.6 | 0.903 | ||||
| Marsh Tit | 4.0 | −0.2 | −1.3 | 57.7 | 0.891 | |||
| Eurasian Nuthatch | 3.7 | −0.7 | 35.1 | 0.824 | ||||
| Eurasian Treecreeper | 3.4 | −0.6 | 50.7 | 0.741 | ||||
| Eurasian Tree Sparrow | −0.8 | −0.2 | −0.7 | 50.6 | 0.846 | |||
| Eurasian Wren | 4.6 | −0.2 | −1.5 | 55.1 | 0.820 | |||
| Common Redpoll | −1.4 | −0.2 | 61.1 | 0.704 | ||||
| Goldfinch | 3.6 | −0.8 | −0.7 | −0.3 | 71.6 | 0.811 | ||
| Greenfinch | 2.4 | −0.5 | 80.9 | 0.701 | ||||
| Siskin | −4.2 | 1.3 | −0.5 | 0.3 | 79.5 | 0.706 | ||
| Pine Grosbeak | 3.9 | 2.1 | 0.3 | 0.6 | 56.7 | 0.822 | ||
| Red Crossbill | 4.9 | 3.4 | 0.6 | 68.2 | 0.836 | |||
| Two-barred Crossbill | 4.8 | 0.7 | 38.4 | 0.910 | ||||
| Common Bullfinch | 1.1 | 1.0 | 55.4 | 0.766 | ||||
| Common Linnet | 1.5 | −0.1 | −0.5 | 60.2 | 0.795 | |||
| Yellowhammer | 0.9 | −0.3 | 79.4 | 0.731 | ||||
| Species Name | Constant | Elev | Lat | Long | Con | Row | AIC | AUC |
|---|---|---|---|---|---|---|---|---|
| Goshawk | 2.2 | −0.4 | 62.0 | 0.784 | ||||
| Sparrowhawk | 3.2 | −2.9 | 0.4 | 36.9 | 0.821 | |||
| Rough-legged Buzzard | 0.7 | −0.3 | 47.3 | 0.670 | ||||
| White-tailed Eagle | 2.0 | −0.4 | 73.0 | 0.702 | ||||
| Black Grouse | 1.4 | −0.3 | 55.1 | 0.701 | ||||
| Hazel Grouse | −5.9 | 4.5 | 0.5 | 28.1 | 0.933 | |||
| Grey Partridge | 2.3 | −4.1 | 57.1 | 0.767 | ||||
| Boreal Owl | 2.3 | 4.1 | 0.4 | 34.7 | 0.933 | |||
| Eurasian pygmy Owl | 5.8 | −1.3 | 0.3 | 37.1 | 0.824 | |||
| Ural Owl | No model | |||||||
| White-backed Woodpecker | 2.6 | −0.3 | 75.7 | 0.701 | ||||
| Great Spotted Woodpecker | 2.6 | 0.4 | 52.5 | 0.777 | ||||
| Black Woodpecker | 2.2 | 0.1 | 69.3 | 0.657 | ||||
| Lesser Spotted Woodpecker | 1.3 | −0.1 | 78.9 | 0.634 | ||||
| Three-toed Woodpecker | 3.1 | 5.4 | 0.7 | 37.1 | 0.915 | |||
| Grey-headed Woodpecker | 3.5 | −0.2 | −0.7 | 39.9 | 0.787 | |||
| Green Woodpecker | 5.8 | −1.2 | 43.4 | 0.691 | ||||
| Hooded Crow | 1.6 | −2.9 | 0.8 | 56.2 | 0.770 | |||
| Common Raven | 0.5 | 2.3 | 0.3 | 45.5 | 0.789 | |||
| Jackdaw | 1.6 | −0.1 | −2.9 | −0.2 | 0.9 | 64.4 | 0.852 | |
| European Jay | −1.0 | 0.2 | 73.4 | 0.661 | ||||
| Eurasian Nutcracker | −2.1 | 3.4 | 0.3 | 0.5 | 38.4 | 0.927 | ||
| Eurasian Magpie | 3.6 | −0.3 | −0.2 | 65.6 | 0.782 | |||
| Waxwing | 0.7 | −0.1 | 1.2 | 67.7 | 0.812 | |||
| Goldcrest | −4.0 | 1.0 | 39.5 | 0.949 | ||||
| Fieldfare | −2.2 | 0.9 | 78.7 | 0.782 | ||||
| Long-tailed Tit | No model | |||||||
| Blue Tit | 2.1 | −3.1 | −0.7 | −0.2 | 54.2 | 0.841 | ||
| Azure Tit | 3.7 | −0.8 | −0.4 | 30.0 | 0.920 | |||
| Crested Tit | 3.2 | −4.2 | 0.4 | 21.0 | 0.973 | |||
| Great Tit | 2.4 | −0.1 | 67.7 | 0.654 | ||||
| Coal Tit | −2.7 | 1.9 | 40.4 | 0.938 | ||||
| Willow Tit | 0.5 | 0.6 | 45.5 | 0.785 | ||||
| Marsh Tit | −3.6 | −1.1 | 60.3 | 0.719 | ||||
| Eurasian Nuthatch | 2.9 | −0.6 | 57.8 | 0.760 | ||||
| Eurasian Treecreeper | 0.3 | 0.3 | 62.9 | 0.706 | ||||
| Eurasian Tree Sparrow | 1.5 | −0.2 | −2.6 | −0.3 | 52.0 | 0.821 | ||
| Common Redpoll | 2.5 | −0.5 | 62.9 | 0.654 | ||||
| Goldfinch | 1.8 | −2.8 | −0.5 | 79.5 | 0.721 | |||
| Greenfinch | 1.5 | −0.1 | 0.2 | 72.8 | 0.700 | |||
| Siskin | 1.5 | 2.7 | 0.3 | 78.0 | 0.714 | |||
| Red Crossbill | −1.2 | 0.3 | 64.1 | 0.779 | ||||
| Common Bullfinch | 3.2 | −0.1 | −5.7 | 0.4 | 37.7 | 0.846 | ||
| Common Linnet | 5.1 | −1.1 | −0.3 | 54.8 | 0.758 | |||
| Yellowhammer | −2.5 | −0.6 | 69.9 | 0.629 | ||||
Disclaimer/Publisher’s Note: The statements, opinions and data contained in all publications are solely those of the individual author(s) and contributor(s) and not of MDPI and/or the editor(s). MDPI and/or the editor(s) disclaim responsibility for any injury to people or property resulting from any ideas, methods, instructions or products referred to in the content. |
© 2024 by the authors. Licensee MDPI, Basel, Switzerland. This article is an open access article distributed under the terms and conditions of the Creative Commons Attribution (CC BY) license (https://creativecommons.org/licenses/by/4.0/).
Share and Cite
Askeyev, A.; Askeyev, O.; Askeyev, I.; Sparks, T. Factors Affecting the Winter Distribution of Birds in Forests at the Eastern Edge of Europe. Birds 2024, 5, 308-327. https://doi.org/10.3390/birds5020020
Askeyev A, Askeyev O, Askeyev I, Sparks T. Factors Affecting the Winter Distribution of Birds in Forests at the Eastern Edge of Europe. Birds. 2024; 5(2):308-327. https://doi.org/10.3390/birds5020020
Chicago/Turabian StyleAskeyev, Arthur, Oleg Askeyev, Igor Askeyev, and Tim Sparks. 2024. "Factors Affecting the Winter Distribution of Birds in Forests at the Eastern Edge of Europe" Birds 5, no. 2: 308-327. https://doi.org/10.3390/birds5020020
APA StyleAskeyev, A., Askeyev, O., Askeyev, I., & Sparks, T. (2024). Factors Affecting the Winter Distribution of Birds in Forests at the Eastern Edge of Europe. Birds, 5(2), 308-327. https://doi.org/10.3390/birds5020020

