The Granular Size Concept in Avian Ecology: A Critical Analysis of eBird Data Bias Using the Bird Rank Abundance Distribution
Abstract
:Simple Summary
Abstract
1. Introduction
2. Materials and Methods
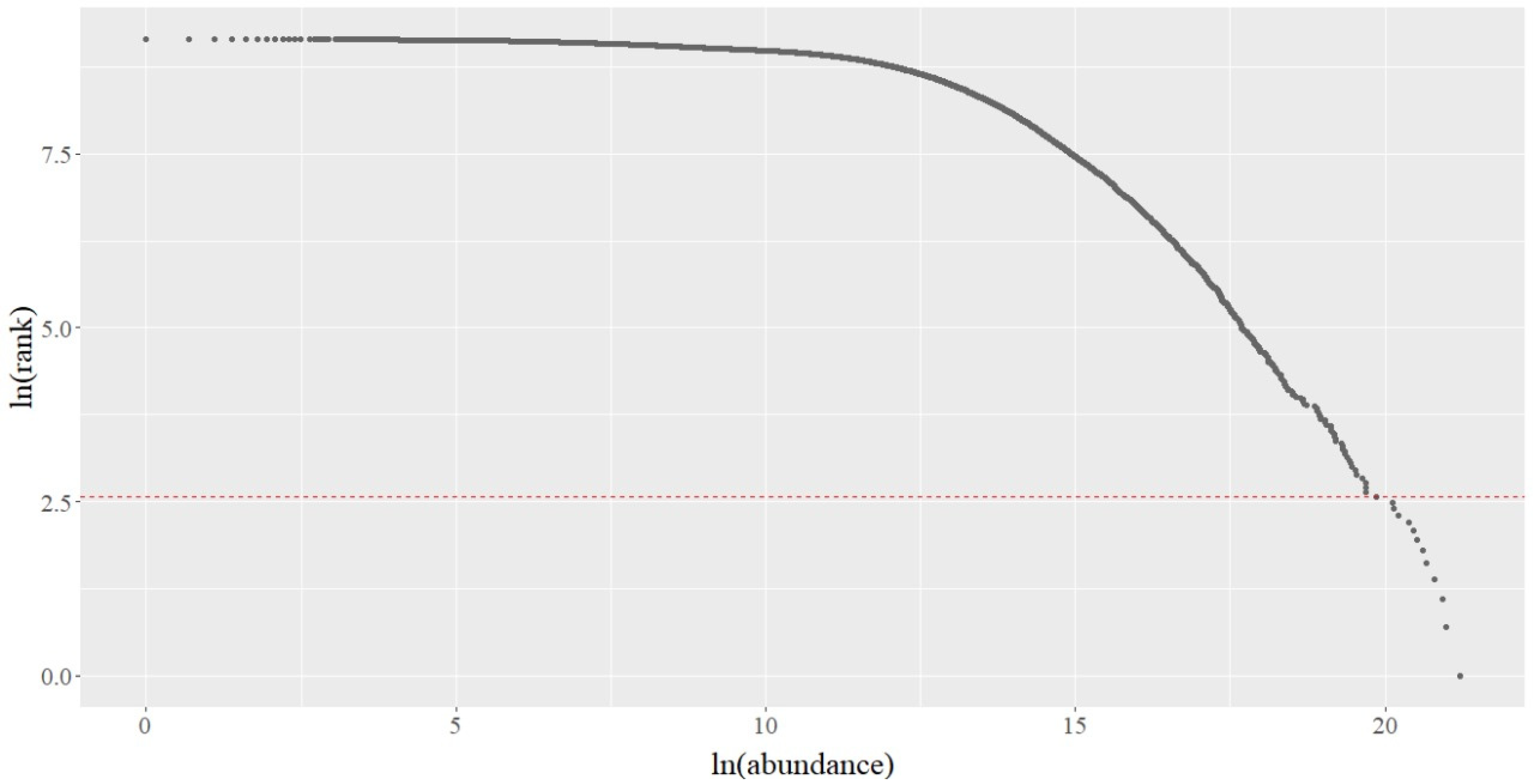
3. Analysis, Results, and Discussion
4. Conclusions
Author Contributions
Funding
Institutional Review Board Statement
Data Availability Statement
Conflicts of Interest
References
- Horns, J.J.; Adler, F.R.; Sekercioglu, C.H. Using opportunistic citizen science data to estimate avian population trends. Biol. Conserv. 2018, 221, 151–159. [Google Scholar] [CrossRef]
- Neate-Clegg, M.H.C.; Horns, J.J.; Adler, F.R.; Aytekin, M.C.K.; Sekercioglu, C.H. Monitoring the world’s bird populations with community science data. Biol. Conserv. 2020, 248, 108653. [Google Scholar] [CrossRef]
- Walker, J.; Taylor, P.D. Using eBird data to model population change of migratory bird species. Avian Conserv. Ecol. 2017, 12, 4. [Google Scholar] [CrossRef]
- Fink, D.; Auer, T.; Johnston, A.; Ruiz-Gutierrez, V.; Hochachka, W.M.; Kelling, S. Modeling avian full annual cycle distribution and population trends with citizen science data. Ecol. Appl. 2020, 30, e02056. [Google Scholar] [CrossRef]
- Johnston, A.; Hochachka, W.M.; Strimas-Mackey, M.E.; Ruiz Gutierrez, V.; Robinson, O.J.; Miller, E.T.; Auer, T.; Kelling, S.T.; Fink, D. Analytical guidelines to increase the value of community science data: An example using eBird data to estimate species distributions. Divers. Distrib. 2021, 27, 1265–1277. [Google Scholar] [CrossRef]
- Sullivan, B.L.; Wood, C.L.; Iliff, M.J.; Bonney, R.E.; Fink, D.; Kelling, S. eBird: A citizen-based bird observation network in the biological sciences. Biol. Conserv. 2009, 142, 2282–2292. [Google Scholar] [CrossRef]
- Walker, J.; Taylor, P.D. Evaluating the efficacy of eBird data for modeling historical population trajectories of North American birds and for monitoring populations of boreal and Arctic breeding species. Avian Conserv. Ecol. 2020, 15, 10. [Google Scholar] [CrossRef]
- Sullivan, B.L.; Aycrigg, J.L.; Barry, J.H.; Bonney, R.E.; Bruns, N.; Cooper, C.B.; Damoulas, T.; Dhondt, A.A.; Dietterich, T.; Farnsworth, A.; et al. The eBird enterprise: An integrated approach to development and application of citizen science. Biol. Conserv. 2014, 169, 31–40. [Google Scholar] [CrossRef]
- Schubert, S.C.; Manica, L.T.; Guaraldo, A.D.C. Revealing the potential of a huge citizen-science platform to study bird migration. Emu 2019, 119, 364–373. [Google Scholar] [CrossRef]
- Tubelis, D.P. Spatiotemporal distribution of photographic records of Brazilian birds available in the WikiAves citizen science database. Birds 2023, 4, 28–45. [Google Scholar] [CrossRef]
- Callaghan, C.T.; Nakagawa, S.; Cornwell, W.K. Global abundance estimates for 9700 bird species. Proc. Natl. Acad. Sci. USA 2021, 118, e2023170118. [Google Scholar] [CrossRef] [PubMed]
- Hochachka, W.M.; Fink, D.; Hutchinson, R.A.; Sheldon, D.; Wong, W.K.; Kelling, S. Data-intensive science applied to broad-scale citizen science. Trends Ecol. Evol. 2012, 27, 130–137. [Google Scholar] [CrossRef] [PubMed]
- Bird, T.J.; Bates, A.E.; Lefcheck, J.S.; Hill, N.A.; Thomson, R.J.; Edgar, G.J.; Stuart-Smith, R.D.; Wotherspoon, S.; Krkosek, M.; Stuart-Smith, J.F.; et al. Statistical solutions for error and bias in global citizen science datasets. Biol. Conserv. 2014, 173, 144–154. [Google Scholar] [CrossRef]
- Kelling, S.; Johnston, A.; Bonn, A.; Fink, D.; Ruiz-Gutierrez, V.; Bonney, R.; Fernandez, M.; Hochachka, W.M.; Julliard, R.; Kraemer, R.; et al. Using semistructured surveys to improve citizen science data for monitoring biodiversity. Bioscience 2019, 69, 170–179. [Google Scholar] [CrossRef] [PubMed]
- Da Silva, S.; Matsushita, R. Power laws govern the abundance distribution of birds by rank. Birds 2023, 4, 171–178. [Google Scholar] [CrossRef]
- Blanco-Arroyo, O.; Ruiz-Buforn, A.; Vidal-Tomas, D.; Alfarano, S. On the determination of the granular size of the economy. Econ. Lett. 2018, 173, 35–38. [Google Scholar] [CrossRef]
- Clauset, A.; Shalizi, C.R.; Newman, M.E. Power-law distributions in empirical data. SIAM Rev. 2009, 51, 661–703. [Google Scholar] [CrossRef]
- Newman, M.E.J. Power laws, Pareto distributions and Zipf’s law. Contemp. Phys. 2005, 46, 323–351. [Google Scholar] [CrossRef]
- Jenkins, S.P. Pareto models, top incomes and recent trends in UK income inequality. Economica 2017, 84, 261–289. [Google Scholar] [CrossRef]
- Gabaix, X. The granular origins of aggregate fluctuations. Econometrica 2011, 79, 733–772. [Google Scholar]
- Esquierro, L.; Da Silva, S. Granular inflation spillovers. J. Econ. Stud. 2023, 50, 1226–1244. [Google Scholar] [CrossRef]
- McGill, B.J.; Etienne, R.S.; Gray, J.S.; Alonso, D.; Anderson, M.J.; Benecha, H.K.; Dornelas, M.; Enquist, B.J.; Green, J.L.; He, F.; et al. Species abundance distributions: Moving beyond single prediction theories to integration within an ecological framework. Ecol. Lett. 2007, 10, 995–1015. [Google Scholar] [CrossRef] [PubMed]
- Schneider, S.; Taylor, G.W.; Kremer, S.C. Deep learning object detection methods for ecological camera trap data. In Proceedings of the 2018 15th Conference on Computer and Robot Vision (CRV), Toronto, ON, Canada, 8–10 May 2018; Volume 1, pp. 1–8. [Google Scholar]
- Zhang, S.; Zhao, Z.; Xu, Z.; Bellisario, K.; Pijanowski, B.C. Automatic bird vocalization identification based on fusion of spectral pattern and texture features. In Proceedings of the 2018 IEEE International Conference on Acoustics, Speech and Signal Processing (ICASSP), Calgary, AB, Canada, 15–20 April 2018. [Google Scholar]



| Rank | The Special 13 | Abundance | Decay Rate |
|---|---|---|---|
| 1 | House Sparrow | 1,618,744,682 | - |
| 2 | European Starling | 1,288,846,040 | −0.2038 |
| 3 | Ring-Billed Gull | 1,229,072,620 | −0.0464 |
| 4 | Barn Swallow | 1,076,122,004 | −0.1244 |
| 5 | Glaucous Gull | 949,879,030 | −0.1173 |
| 6 | Alder Flycatcher | 896,919,155 | −0.0557 |
| 7 | Black-Legged Kittiwake | 815,654,031 | −0.0906 |
| 8 | Horned Lark | 770,962,832 | −0.0548 |
| 9 | Sooty Tern | 711,704,137 | −0.0769 |
| 10 | Savannah Sparrow | 599,661,514 | −0.1574 |
| 11 | American Robin | 561,290,332 | −0.0640 |
| 12 | Blue-Gray Gnatcatcher | 542,518,652 | −0.0334 |
| 13 | Red-Winged Blackbird | 418,284,484 | −0.2290 |
Disclaimer/Publisher’s Note: The statements, opinions and data contained in all publications are solely those of the individual author(s) and contributor(s) and not of MDPI and/or the editor(s). MDPI and/or the editor(s) disclaim responsibility for any injury to people or property resulting from any ideas, methods, instructions or products referred to in the content. |
© 2023 by the authors. Licensee MDPI, Basel, Switzerland. This article is an open access article distributed under the terms and conditions of the Creative Commons Attribution (CC BY) license (https://creativecommons.org/licenses/by/4.0/).
Share and Cite
Da Silva, S.; Matsushita, R.; Esquierro, L. The Granular Size Concept in Avian Ecology: A Critical Analysis of eBird Data Bias Using the Bird Rank Abundance Distribution. Birds 2023, 4, 330-336. https://doi.org/10.3390/birds4040028
Da Silva S, Matsushita R, Esquierro L. The Granular Size Concept in Avian Ecology: A Critical Analysis of eBird Data Bias Using the Bird Rank Abundance Distribution. Birds. 2023; 4(4):330-336. https://doi.org/10.3390/birds4040028
Chicago/Turabian StyleDa Silva, Sergio, Raul Matsushita, and Leon Esquierro. 2023. "The Granular Size Concept in Avian Ecology: A Critical Analysis of eBird Data Bias Using the Bird Rank Abundance Distribution" Birds 4, no. 4: 330-336. https://doi.org/10.3390/birds4040028
APA StyleDa Silva, S., Matsushita, R., & Esquierro, L. (2023). The Granular Size Concept in Avian Ecology: A Critical Analysis of eBird Data Bias Using the Bird Rank Abundance Distribution. Birds, 4(4), 330-336. https://doi.org/10.3390/birds4040028

