The Solar Influence on Tropical Cyclones Occurring over the Bay of Bengal and Arabian Sea †
Abstract
:1. Introduction
2. Materials and Methods
2.1. Data
2.2. Genesis and Frequency Distribution of Cyclonic Storms
2.3. The Annual Variation in Cyclone Frequency for Different Categories
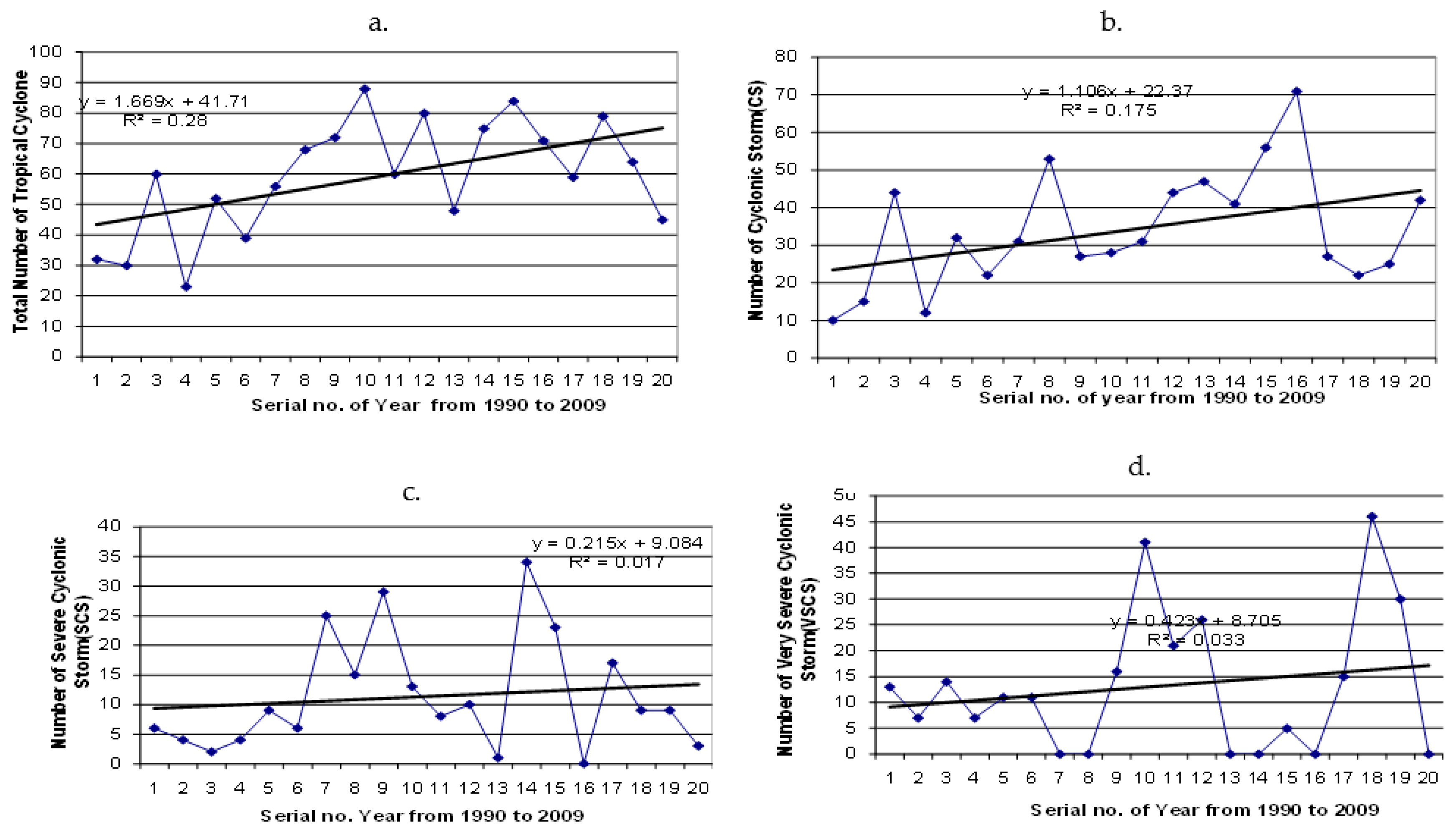
3. Results
Funding
Institutional Review Board Statement
Informed Consent Statement
Data Availability Statement
Conflicts of Interest
References
- Li, Z.; Yu, W.; Li, T.; Murty, V.S.N.; Tangang, F. Bimodal character of cyclone climatology in the Bay of Bengal modulated by monsoon seasonal cycle. J. Clim. 2013, 26, 1033–1046. [Google Scholar] [CrossRef]
- Girishkumar, M.; Ravichandran, M. The influences of ENSO on tropical cyclone activity in the Bay of Bengal during October–December. J. Geophys. Res. Oceans 2012, 117, C2. [Google Scholar] [CrossRef]
- Balaguru, K.; Chang, P.; Saravanan, R.; Leung, L.R.; Xu, Z.; Li, M.; Hsieh, J.-S. Ocean barrierayers’ effect on tropical cyclone intensification. Proc. Natl. Acad. Sci. USA 2012, 109, 14343–14347. [Google Scholar] [CrossRef] [PubMed]
- Singh, O.; Khan, T.M.A.; Rahman, M.S. Has the frequency of intense tropical cyclones increased in the north Indian Ocean? Curr. Sci. 2001, 80, 575–580. [Google Scholar]
- Webster, P.J. Myanmar’s deadly daffodil. Nat. Geosci. 2008, 1, 488–490. [Google Scholar] [CrossRef]
- Islam, T.; Peterson, R.E. Climatology of landfalling tropical cyclones in Bangladesh 1877–2003. Nat. Hazards 2009, 48, 115–135. [Google Scholar] [CrossRef]
- Mc Phaden, M.J.; Foltz, G.R.; Lee, T.; Murty, V.S.N.; Ravichandran, M.; Vecchi, G.A.; Vialard, J.; Wiggert, J.D.; Yu, L. Ocean-atmosphere interactions during cyclone nargis. EOS Trans. Am. Geophys. Union 2009, 90, 53–54. [Google Scholar] [CrossRef]
- Singh, O. Indian Ocean dipole mode and tropical cyclone frequency. Curr. Sci. 2008, 94, 29–31. [Google Scholar]
- Kikuchi, K.; Wang, B. Formation of tropical cyclones in the northern Indian Ocean associated with two types of tropical intraseasonal oscillation modes. J. Meteorol. Soc. Jpn. Ser. II 2010, 88, 475–496. [Google Scholar] [CrossRef]
- Knutson, T.; Landsea, C.; Emanuel, K. Tropical Cyclones and Climate Change: A Review. Glob. Perspect. Trop. Cyclones Sci. Mitig. 2010, 243, 243–284. [Google Scholar]
- Webster, P.J.; Holland, G.J.; Curry, J.A.; Chang, H.-R. Changes in tropical cyclone number, duration, and intensity in a warming environment. Science 2005, 309, 1844–1846. [Google Scholar] [CrossRef] [PubMed]
- Niyas, N.; Srivastava, A.; Hatwar, H. Variability and Trend in the Cyclonic Storms over North Indian Ocean; National Climate Centre, Office of the Additional Director General of Meteorology (Research), India Meteorological Department: New Delhi, India, 2009. [Google Scholar]
- Kim, J.-H.; Kim, K.-B.; Chang, H.-Y. Solar influence on tropical cyclone in western North Pacific Ocean. J. Astron. Space Sci. 2017, 34, 257–270. [Google Scholar] [CrossRef]
- Kim, J.-H.; Chang, H.-Y. Statistical properties of geomagnetic activity indices and solar wind parameters. J. Astron. Space Sci. 2014, 31, 149–157. [Google Scholar] [CrossRef]
- Lee, S.; Yi, Y. Abnormal winter melting of the Arctic sea ice cap observed by the spaceborne passive microwave sensors. J. Astron. Space Sci. 2016, 33, 305–311. [Google Scholar] [CrossRef]
- Na, S.-H.; Cho, J.; Kim, T.-H.; Seo, K.; Youm, K.; Yoo, S.-M.; Choi, B.; Yoon, H. Changes in the Earth’s Spin Rotation due to the Atmospheric Effects and Reduction in Glaciers. J. Astron. Space Sci. 2016, 33, 295–304. [Google Scholar] [CrossRef]
- Svensmark, H.; Friis-Christensen, E. Variation of cosmic ray flux and global cloud coverage—A missing link in solar-climate relationships. J. Atmos. Sol.-Terr. Phys. 1997, 59, 1225–1232. [Google Scholar] [CrossRef]
- Reid, G.C. Solar variability and the Earth’s climate: Introduction and overview. Space Sci. Rev. 2000, 94, 1–11. [Google Scholar] [CrossRef]
- Tinsley, B.A. Influence of solar wind on the global electric circuit, and inferred effects on cloud microphysics, temperature, and dynamics in the troposphere. Space Sci. Rev. 2000, 94, 231–258. [Google Scholar] [CrossRef]
- Roldugin, V.; Tinsley, B. Atmospheric transparency changes associated with solar wind-induced atmospheric electricity variations. J. Atmos. Sol.-Terr. Phys. 2004, 66, 1143–1149. [Google Scholar] [CrossRef]
- Scafetta, N.; West, B. Phenomenological solar signature in 400 years of reconstructed Northern Hemisphere temperature record. Geophys. Res. Lett. 2006, 33, 17. [Google Scholar] [CrossRef]
- Sikka, D. Some aspects of the life history, structure and movement of monsoon depressions. In Monsoon Dynamics; Springer: Berlin/Heidelberg, Germany, 1978; pp. 1501–1529. [Google Scholar]





| Sr. No. | Types of Disturbances | Associated Wind Speed | |
|---|---|---|---|
| 1. | Low-pressure area | <17 knots | <32 km/h |
| 2. | Depression | 17–27 knots | 32–50 km/h |
| 3. | Deep depression | 28–33 knots | 51–59 km/h |
| 4. | Cyclonic storm | 34–47 knots | 60–90 km/h |
| 5. | Severe cyclonic storm | 48–63 knots | 90–119 km/h |
| 6. | Very severe cyclonic storm | 64–119 knots | 119–220 km/h |
| 7. | Super cyclonic storm | >119 knots | >220 km/h |
| Months | BOB | ARS | Months | BOB | ARS |
|---|---|---|---|---|---|
| Jan | 23 | 0 | July | 0 | 0 |
| Feb | 12 | 0 | August | 0 | 0 |
| March | 11 | 0 | September | 43 | 18 |
| April | 99 | 0 | October | 105 | 40 |
| May | 153 | 132 | November | 262 | 68 |
| June | 18 | 84 | December | 114 | 27 |
| Region | Season | No. per Year |
|---|---|---|
| BOB | Pre-monsoon | 15 |
| Monsoon | 3 | |
| Post-monsoon | 24 | |
| ARS | Pre-monsoon | 6.6 |
| Monsoon | 5 | |
| Post-monsoon | 6.7 |
| Category | Average No. | Rate/Gradient | Cor. Coeff | Figure no. |
|---|---|---|---|---|
| CSs | 34 | 1.1 | 0.42 | Figure 1b |
| SCSs | 11.35 | 0.22 | 0.13 | Figure 1c |
| VSCSs | 13.15 | 0.42 | 0.18 | Figure 1d |
| SuCSs | 0.75 | ---- | ---- | --- |
| Total CSs | 59.25 | 1.67 | 0.53 | Figure 1 |
| SSN | CS | SCS | VSCS | SuCS | Total | ||
|---|---|---|---|---|---|---|---|
| Solar maximum | 1991 | 146 | 15 | 4 | 7 | 4 | 30 |
| 2002 | 104 | 47 | 1 | 0 | 0 | 48 | |
| Total | 250 | 62 | 5 | 7 | 4 | 78 | |
| Average | 125 | 31 | 3 | 3.5 | 2 | 39 | |
| Solar minimum | 1996 | 8.6 | 31 | 25 | 0 | 0 | 56 |
| 2008 | 2.9 | 25 | 9 | 30 | 0 | 64 | |
| Total | 11.5 | 56 | 34 | 30 | 0 | 120 | |
| Average | 5.75 | 28 | 17 | 15 | 0 | 60 | |
Disclaimer/Publisher’s Note: The statements, opinions and data contained in all publications are solely those of the individual author(s) and contributor(s) and not of MDPI and/or the editor(s). MDPI and/or the editor(s) disclaim responsibility for any injury to people or property resulting from any ideas, methods, instructions or products referred to in the content. |
© 2023 by the author. Licensee MDPI, Basel, Switzerland. This article is an open access article distributed under the terms and conditions of the Creative Commons Attribution (CC BY) license (https://creativecommons.org/licenses/by/4.0/).
Share and Cite
Dhruba, B. The Solar Influence on Tropical Cyclones Occurring over the Bay of Bengal and Arabian Sea. Environ. Sci. Proc. 2023, 27, 37. https://doi.org/10.3390/ecas2023-15123
Dhruba B. The Solar Influence on Tropical Cyclones Occurring over the Bay of Bengal and Arabian Sea. Environmental Sciences Proceedings. 2023; 27(1):37. https://doi.org/10.3390/ecas2023-15123
Chicago/Turabian StyleDhruba, Banerjee. 2023. "The Solar Influence on Tropical Cyclones Occurring over the Bay of Bengal and Arabian Sea" Environmental Sciences Proceedings 27, no. 1: 37. https://doi.org/10.3390/ecas2023-15123
APA StyleDhruba, B. (2023). The Solar Influence on Tropical Cyclones Occurring over the Bay of Bengal and Arabian Sea. Environmental Sciences Proceedings, 27(1), 37. https://doi.org/10.3390/ecas2023-15123

