Eucalyptus Genotypes Water Use and Site Interactions on Water Resource Sustainability and Productivity †
Abstract
:1. Introduction
2. Materials and Methods
2.1. Site Characteristics
2.2. Annual Growth and Sapflow Assessments
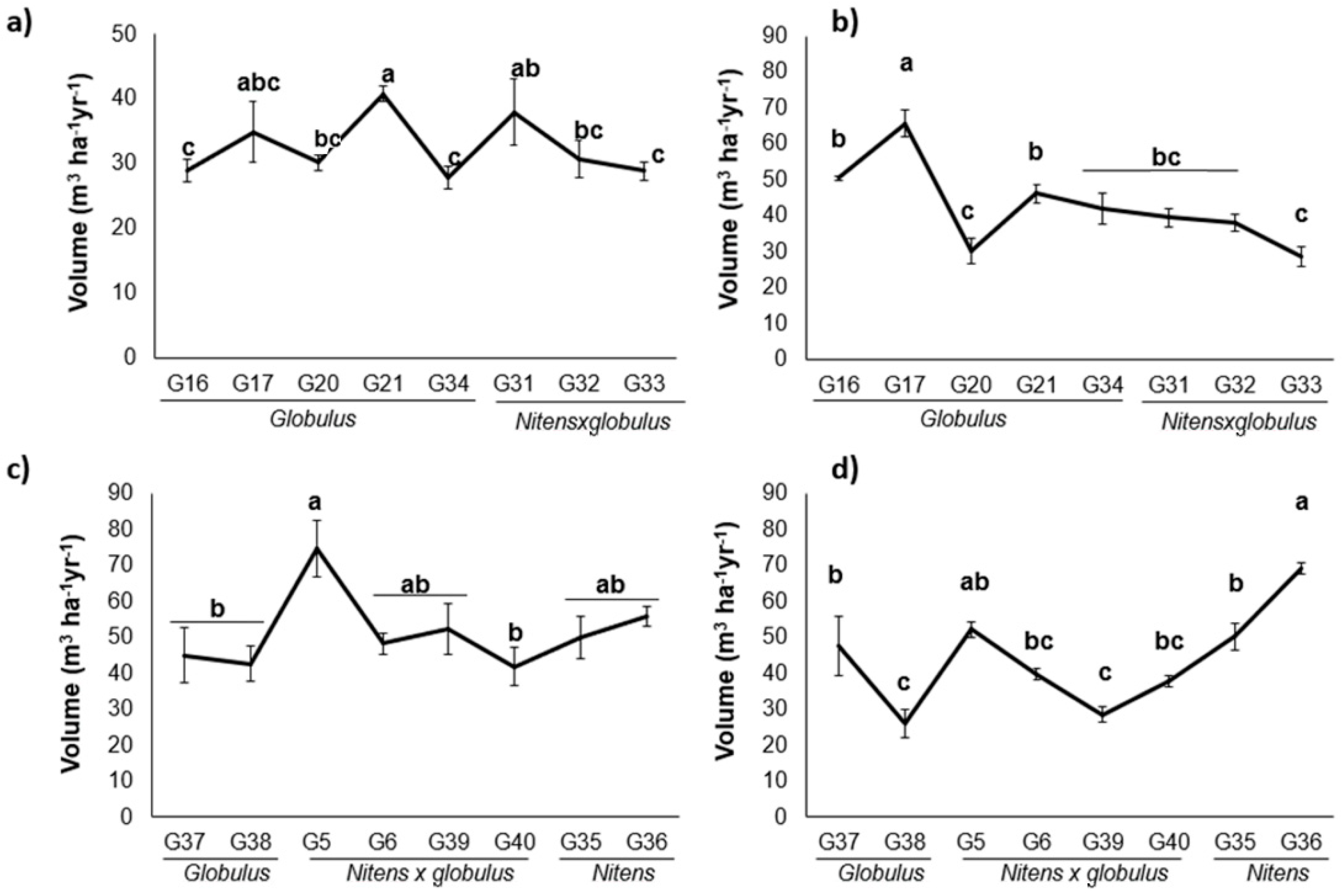
3. Results and Discussion
4. Conclusions
Author Contributions
Funding
Data Availability Statement
Acknowledgments
Conflicts of Interest
References
- de Barros Ferraz, S.F.; Rodrigues, C.B.; Garcia, L.G.; Alvares, C.A.; de Paula Lima, W. Effects of Eucalyptus plantations on streamflow in Brazil: Moving beyond the water use debate. For. Ecol. Manag. 2019, 453, 117571. [Google Scholar] [CrossRef]
- Tupinambá-Simões, F.; Bravo, F.; Guerra-Hernández, J.; Pascual, A. Assessment of drought effects on survival and growth dynamics in eucalypt commercial forestry using remote sensing photogrammetry. A showcase in Mato Grosso, Brazil. For. Ecol. Manag. 2021, 505, 119930. [Google Scholar] [CrossRef]
- Battaglia, M.; Sands, P. Application of sensitivity analysis to a model of Eucalyptus globulus plantation productivity. Ecol. Model. 1998, 111, 237–259. [Google Scholar] [CrossRef]
- Hingston, F.; Galbraith, J.; Dimmock, G. Application of the process-based model BIOMASS to Eucalyptus globulus subsp. globulus plantations on ex-farmland in south western Australia: I. Water use by trees and assessing risk of losses due to drought. For. Ecol. Manag. 1998, 106, 141–156. [Google Scholar] [CrossRef]
- Dye, P.J. Water use efficiency in South African Eucalyptus plantations: A review. South. Afr. For. J. 2000, 189, 17–26. [Google Scholar] [CrossRef]
- Whitehead, D.; Beadle, C.L. Physiological regulation of productivity and water use in Eucalyptus: A review. For. Ecol. Manag. 2004, 193, 113–140. [Google Scholar] [CrossRef]
- Rubilar, R.; Hubbard, R.; Emhart, V.; Mardones, O.; Quiroga, J.J.; Medina, A.; Valenzuela, H.; Espinoza, J.; Burgos, Y.; Bozo, D. Climate and water availability impacts on early growth and growth efficiency of Eucalyptus genotypes: The importance of GxE interactions. For. Ecol. Manag. 2019, 458, 117763. [Google Scholar] [CrossRef]
- Butler, J.B.; Harrison, P.A.; Vaillancourt, R.E.; Steane, D.A.; Tibbits, J.F.; Potts, B.M. Climate Adaptation, Drought Susceptibility, and Genomic-Informed Predictions of Future Climate Refugia for the Australian Forest Tree Eucalyptus globulus. Forests 2022, 13, 575. [Google Scholar] [CrossRef]



Publisher’s Note: MDPI stays neutral with regard to jurisdictional claims in published maps and institutional affiliations. |
© 2022 by the authors. Licensee MDPI, Basel, Switzerland. This article is an open access article distributed under the terms and conditions of the Creative Commons Attribution (CC BY) license (https://creativecommons.org/licenses/by/4.0/).
Share and Cite
Rubilar, R.; Bozo, D.; Valverde, J.; Pincheira, M.; Emhart, V.; Medina, A.; Valenzuela, H. Eucalyptus Genotypes Water Use and Site Interactions on Water Resource Sustainability and Productivity. Environ. Sci. Proc. 2022, 22, 73. https://doi.org/10.3390/IECF2022-13118
Rubilar R, Bozo D, Valverde J, Pincheira M, Emhart V, Medina A, Valenzuela H. Eucalyptus Genotypes Water Use and Site Interactions on Water Resource Sustainability and Productivity. Environmental Sciences Proceedings. 2022; 22(1):73. https://doi.org/10.3390/IECF2022-13118
Chicago/Turabian StyleRubilar, Rafael, Daniel Bozo, Juan Valverde, Matias Pincheira, Veronica Emhart, Alex Medina, and Hector Valenzuela. 2022. "Eucalyptus Genotypes Water Use and Site Interactions on Water Resource Sustainability and Productivity" Environmental Sciences Proceedings 22, no. 1: 73. https://doi.org/10.3390/IECF2022-13118
APA StyleRubilar, R., Bozo, D., Valverde, J., Pincheira, M., Emhart, V., Medina, A., & Valenzuela, H. (2022). Eucalyptus Genotypes Water Use and Site Interactions on Water Resource Sustainability and Productivity. Environmental Sciences Proceedings, 22(1), 73. https://doi.org/10.3390/IECF2022-13118

