Next Article in Journal
Spontaneous Emission Spectrum of a WS2 Monolayer under Strong Coupling Conditions
Previous Article in Journal
Stimulated Raman Adiabatic Passage in a Quantum Emitter Near to a Gold Nanoparticle
 
 
Font Type:
Arial Georgia Verdana
Font Size:
Aa Aa Aa
Line Spacing:
Column Width:
Background:
Proceeding Paper

Nonlinear Optical Rectification in a Polar Molecule-Plasmonic Nanoparticle Structure †

by
Natalia Domenikou
1,
Ioannis Thanopulos
1,
Vassilios Yannopapas
2 and
Emmanuel Paspalakis
1,*
1
Materials Science Department, School of Natural Sciences, University of Patras, 265 04 Patras, Greece
2
Department of Physics, National Technical University of Athens, 157 80 Athens, Greece
*
Author to whom correspondence should be addressed.
Presented at the 2nd International Online-Conference on Nanomaterials, 15–30 November 2020; Available online: https://iocn2020.sciforum.net/.
Mater. Proc. 2021, 4(1), 8; https://doi.org/10.3390/IOCN2020-07873
Published: 11 November 2020
(This article belongs to the Proceedings of The 2nd International Online-Conference on Nanomaterials)

Abstract

:
We theoretically study the nonlinear optical rectification of a Zinc-phthalocyanine molecular complex, modelled as a polar two-level quantum system, interacting with an optical field near a gold nanoparticle. We use the steady-state solution of the density matrix equations for determining the nonlinear optical rectification coefficient in this case. We further use first-principle electronic structure calculations for determining the energies of the molecular states involved and the corresponding transition and permanent electric dipole moments, as well as first-principle classical electromagnetic calculations for calculating the influence of the metallic nanoparticle on the decay rates of the molecular states due to the Purcell effect and on the external electric fields applied on the molecule. We investigate the nonlinear optical rectification coefficient in the absence and the presence of the plasmonic nanoparticle for various parameters, such as the field polarization and the distance between the molecular complex and the plasmonic nanoparticle. We find that the nonlinear coefficient can be significantly enhanced for specific field polarization and at suitable distance between the molecule and the plasmonic nanoparticle. We also find that this process is highly efficient at weak field intensity, zero pure dephasing rate and for small values of the transition dipole moment.

1. Introduction

The study of nonlinear optical properties of quantum systems, like quantum dots and molecules, near plasmonic nanostructures has attracted significant interest in the past decade. Several nonlinear phenomena have been studied in quantum systems next to plasmonic nanostructures, like second [1] and third harmonic generation [2], Kerr nonlinearity [3,4], four-wave mixing [5], optical bistability [6] and nonlinear optical rectification [6,7]. The latter occurs in asymmetric quantum systems and it can be strongly influenced, enhanced or suppressed, depending on the particular plasmonic nanostructure used.
In this work, we theoretically study the nonlinear optical rectification of a polar two-level quantum system (QS), a Zinc-phthalocyanine molecular complex, interacting with an optical field near a gold nanoparticle. Initially, we use the steady-state solution of the density matrix equations for determining the proper form of the nonlinear optical rectification coefficient. We then use ab initio electronic structure calculations for determining the electronic structure of the molecule under study, i.e., the necessary molecular state energies and the corresponding transition and permanent electric dipole moments (PDMs). We also use first-principle classical electromagnetic calculations for calculating the influence of the metallic nanoparticle (MNP) on the decay rates of the molecule due to the Purcell effect and on the electric field applied in the molecule in the presence of the MNP. We then use the above to investigate the form of the corresponding nonlinear optical rectification (NOR) coefficient in the absence and presence of the plasmonic nanoparticle for various parameters, such as the field polarization and the distance between the molecular complex and the plasmonic nanoparticle. We find that the NOR coefficient can be quite enhanced for specific field polarization and for suitable distance between the molecule and the plasmonic nanoparticle. Also, we find that high efficiency of this process is obtained for weak field intensity, zero pure dephasing rate and for small value of the transition dipole moment.

2. Theoretical Model

We consider a hybrid structure composed of a polar two-level QS and an MNP, as the one depicted in Figure 1. The QS models the Zinc-phthalocyanine molecular complex exhibiting unequal PDMs, µ11 and µ22, due to the violation of the inversion symmetry, which introduce new coupling terms and affect the electromagnetic response of the system. The local dielectric function of the gold nanoparticle is taken from spectroscopic data and the hybrid system is embedded in a loss-free environment with unity relative dielectric constant.
The QS described above interacts with an applied electric field with time-dependent form, E ( t ) = E 0 e i ω t + c . c . , where E 0 is the field amplitude as modified by the presence of the MNP. Also, the decay rate of the QS is modified due to the presence of the MNP by the Purcell effect. Here, we consider that the electric field is polarized either radially (z axis) or tangentially (x axis) with respect to the surface of the MNP. In Figure 2a,b, we present the modified electric field factors and the modified decay rates as function of the distance d between the QS and the MNP, correspondingly, calculated with the EM Green’s tensor technique [8]. Significant modification, both enhancement and suppression of the electric field amplitude and the decay rates are shown, depending on the distance d and on the polarization of the field. For the determination of the NOR coefficient, we use the density matrix equations, as derived for coherent field-matter interaction of an asymmetric QS [6,9,10].

3. The Zinc-Phthalocyanine Molecular Complex

We use parameters for the zinc-phthalocyanine molecular complex shown in Figure 1, with carbon (gray), hydrogen (white), oxygen (red), nitrogen (blue), and zinc (light blue) atoms. From ab initio electronic structure calculations [11,12], we obtain that ħ ω 12 = 1.9445 eV; furthermore, the corresponding values of the PDMs and the transition dipole moments, in every direction with respect to the MNP (Figure 1), are presented in Table 1. Thus, for a transition along the z axis of the molecule, we use Γ 0 z ≈ 11.42 MHz, and for a transition along the x axis, we use Γ 0 x ≈ 167.25 kHz.

4. Results and Discussion

In this work we focus on the influence of the MNP to the electromagnetic response of an asymmetric QS interacting with an external electric field. It is however important to mention that since the electric fields, which influence the NOR coefficient, correspond to different field intensities I, saturation effects are present.
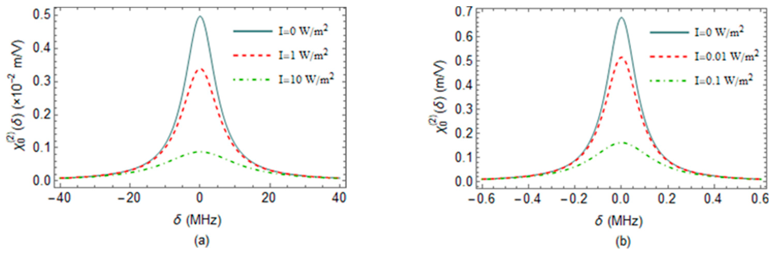
In Figure 3, we observe that the NOR is highly efficient at weak field intensity. In case of non-zero I , the system reaches saturation with small changes of the intensity. Moreover, χ 0 ( 2 ) ( δ ) is stronger when the field is polarized along the x axis than the z axis. Here, δ denotes the detuning, i.e., frequency difference between the applied electric field frequency and ω 12 .
In Figure 4, the optical response of the system changes and we obtain weak nonlinear rectification for radial polarization and high efficiency process for tangential polarization of the field for zero pure dephasing. We note that we choose for (a) d = 50 nm and for (b) d = 31.5 nm since at these values, the minimal value of the decay rate, as shown in Figure 2b, and thus the maximum of χ 0 ( 2 ) ( δ ) is attained for δ = 0 and I = 0 . Next, in panels (c)–(f) of the same figure, we focus on the influence of the distance d from the QS to the surface of the MNP on the NOR coefficient, by increasing I . We observe that χ 0 ( 2 ) ( d ) for I = 0 behaves inversely to the modified spontaneous decay rate, shown in Figure 2b. Also, we observe that for tangential polarization of the field, the maximal NOR coefficient value occurs at shorter distance, as I increases. Lastly, in panels (e) and (f), the NOR efficiency is evidently suppressed, when the pure dephasing rate increases, here denoted by γ d . Moreover, in panel (f), when the external electric field is applied, the maximum value of the NOR coefficient occurs at larger d , in comparison to the case shown in panel (d), due to the variation of γ d .

5. Summary

In summary, here, we theoretically studied the nonlinear optical rectification of a Zinc-phthalocyanine molecular complex, modelled as a polar two-level quantum system, interacting with an optical field near a gold nanoparticle. We used first-principle electronic structure calculations and first-principle classical electromagnetic calculations and investigated the NOR coefficient in the absence and the presence of the plasmonic nanoparticle for various parameters, such as the field polarization and the distance between the molecular complex and the plasmonic nanoparticle. We found that the nonlinear coefficient can be significantly enhanced for specific field polarization and at suitable distance between the molecule and the plasmonic nanoparticle. We also showed that this process is highly efficient at weak field intensity, zero pure dephasing rate and for small values of the transition dipole moment. Our results may have important applications in nanophotonics and current quantum technology.

Author Contributions

Conceptualization, E.P.; methodology, N.D., V.Y., I.T. and E.P.; software, N.D., V.Y. and I.T.; validation, N.D., V.Y., I.T. and E.P.; investigation, N.D., I.T. and E.P.; writing–original draft preparation, N.D., I.T. and E.P.; writing–review and editing, N.D., I.T. and E.P.; visualization, N.D.; supervision, E.P. All authors have read and agreed to the published version of the manuscript.

Conflicts of Interest

The authors declare no conflict of interest.

Abbreviations

The following abbreviations are used in this manuscript:
QSquantum system
MNPmetal nanoparticle
PDMpermanent dipole moment
NORnonlinear optical rectification

References

  1. Singh, M.R. Enhancement of the second-harmonic generation in a quantum dot-metallic nanoparticle hybrid system. Nanotechnology 2013, 24, 125701. [Google Scholar] [CrossRef] [PubMed]
  2. Evangelou, S.; Angelis, C.T. Using the Purcell effect for the modification of third-harmonic generation in a quantum dot near a metallic nanosphere. Opt. Commun. 2019, 447, 36–41. [Google Scholar] [CrossRef]
  3. Evangelou, S.; Yannopapas, V.; Paspalakis, E. Modification of Kerr nonlinearity in a four-level quantum system near a plasmonic nanostructure. J. Mod. Opt. 2014, 61, 1458–1464. [Google Scholar] [CrossRef]
  4. Kosionis, S.G.; Paspalakis, E. Control of Self-Kerr Nonlinearity in a Driven Coupled Semiconductor Quantum Dot—Metal Nanoparticle Structure. J. Phys. Chem. C 2019, 123, 7308–7317. [Google Scholar] [CrossRef]
  5. Paspalakis, E.; Evangelou, S.; Kosionis, S.G.; Terzis, A.F. Strongly modified four-wave mixing in a coupled semiconductor quantum dot-metal nanoparticle system. J. Appl. Phys. 2014, 115, 083106. [Google Scholar] [CrossRef]
  6. Carreño, F.; Antón, M.A.; Paspalakis, E. Nonlinear optical rectification and optical bistability in a coupled asymmetric quantum dot-metal nanoparticle hybrid. J. Appl. Phys. 2018, 124, 113107. [Google Scholar] [CrossRef]
  7. Thanopulos, I.; Paspalakis, E.; Yannopapas, V. Plasmon-induced enhancement of nonlinear optical rectification in organic materials. Phys. Rev. B 2012, 85, 035111. [Google Scholar] [CrossRef]
  8. Carreño, F.; Antón, M.A.; Yannopapas, V.; Paspalakis, E. Resonance fluorescence spectrum of a Λ-type quantum emitter close to a metallic nanoparticle. Phys. Rev. A 2016, 94, 013834. [Google Scholar] [CrossRef]
  9. Paspalakis, E.; Boviatsis, J.; Baskoutas, S. Effects of probe field intensity in nonlinear optical processes in asymmetric semiconductor quantum dots. J. Appl. Phys. 2013, 114, 153107. [Google Scholar] [CrossRef]
  10. Antón, M.A.; Carreño, F.; Calderon, O.G.; Melle, S.; Cabrera, E. Radiation emission from an asymmetric quantum dot coupled to a plasmonic nanostructure. J. Opt. 2016, 18, 025001. [Google Scholar] [CrossRef]
  11. Frisch, M.J.; Trucks, G.W.; Schlegel, H.B.; Scuseria, G.E.; Robb, M.A.; Cheeseman, J.R.; Scalmani, G.; Barone, V.; Petersson, G.A.; Nakatsuji, H.; et al. Gaussian 09 Revision A.2; Gaussian Incorporating: Wallingford, CT, USA, 2016. [Google Scholar]
  12. Antón, M.A.; Maede-Razavi, S.; Carreño, F.; Thanopulos, I.; Paspalakis, E. Optical and microwave control of resonance fluorescence and squeezing spectra in a polar molecule. Phys. Rev. A 2017, 96, 063812. [Google Scholar] [CrossRef]
Figure 1. Schematic representation of the QS at distance d from the surface of the MNP with radius. R = 80 nm. As QS is used the Zinc-phthalocyanine molecular complex shown.
Figure 1. Schematic representation of the QS at distance d from the surface of the MNP with radius. R = 80 nm. As QS is used the Zinc-phthalocyanine molecular complex shown.
Materproc 04 00008 g001
Figure 2. (a) The modified electric field factors and (b) the modified spontaneous decay rates of the QS normalized to the free-space spontaneous decay rate Γ 0 (Purcell factor) versus the distance d between the QS and the MNP.
Figure 2. (a) The modified electric field factors and (b) the modified spontaneous decay rates of the QS normalized to the free-space spontaneous decay rate Γ 0 (Purcell factor) versus the distance d between the QS and the MNP.
Materproc 04 00008 g002
Figure 3. The nonlinear optical rectification coefficient in the absence of the MNP for different I as function of the detuning δ . The polarization of the field is along (a) the z axis and (b) the x axis.
Figure 3. The nonlinear optical rectification coefficient in the absence of the MNP for different I as function of the detuning δ . The polarization of the field is along (a) the z axis and (b) the x axis.
Materproc 04 00008 g003
Figure 4. The nonlinear optical rectification coefficient in the presence of the MNP for different I as a function of the detuning δ and the distance d between the QS and the MNP for z-polarized (left panels) and x-polarized (right panels) external field. Panels (a,b) correspond to pure dephasing γd equal to zero, with (a) d = 50 nm and (b) d = 31.5 nm. In panels (cf) we have δ = 0, where in (c,d) we use γd = 0 and in (e,f) we use γd = Γ0.
Figure 4. The nonlinear optical rectification coefficient in the presence of the MNP for different I as a function of the detuning δ and the distance d between the QS and the MNP for z-polarized (left panels) and x-polarized (right panels) external field. Panels (a,b) correspond to pure dephasing γd equal to zero, with (a) d = 50 nm and (b) d = 31.5 nm. In panels (cf) we have δ = 0, where in (c,d) we use γd = 0 and in (e,f) we use γd = Γ0.
Materproc 04 00008 g004
Table 1. Numerical values of dipole moments of the molecular complex along the z and x direction.
Table 1. Numerical values of dipole moments of the molecular complex along the z and x direction.
Dipole Moments/Dz Axisx Axis
µ110.6836−3.8632
µ220.7192−3.9342
µ122.97680.3594
Publisher’s Note: MDPI stays neutral with regard to jurisdictional claims in published maps and institutional affiliations.

Share and Cite

MDPI and ACS Style

Domenikou, N.; Thanopulos, I.; Yannopapas, V.; Paspalakis, E. Nonlinear Optical Rectification in a Polar Molecule-Plasmonic Nanoparticle Structure. Mater. Proc. 2021, 4, 8. https://doi.org/10.3390/IOCN2020-07873

AMA Style

Domenikou N, Thanopulos I, Yannopapas V, Paspalakis E. Nonlinear Optical Rectification in a Polar Molecule-Plasmonic Nanoparticle Structure. Materials Proceedings. 2021; 4(1):8. https://doi.org/10.3390/IOCN2020-07873

Chicago/Turabian Style

Domenikou, Natalia, Ioannis Thanopulos, Vassilios Yannopapas, and Emmanuel Paspalakis. 2021. "Nonlinear Optical Rectification in a Polar Molecule-Plasmonic Nanoparticle Structure" Materials Proceedings 4, no. 1: 8. https://doi.org/10.3390/IOCN2020-07873

APA Style

Domenikou, N., Thanopulos, I., Yannopapas, V., & Paspalakis, E. (2021). Nonlinear Optical Rectification in a Polar Molecule-Plasmonic Nanoparticle Structure. Materials Proceedings, 4(1), 8. https://doi.org/10.3390/IOCN2020-07873

Article Metrics

Back to TopTop