Synthesis and Characterization of a Series of Chromone–Hydrazones †
Abstract
1. Introduction
2. Experimental Section
2.1. Instruments and Reagents
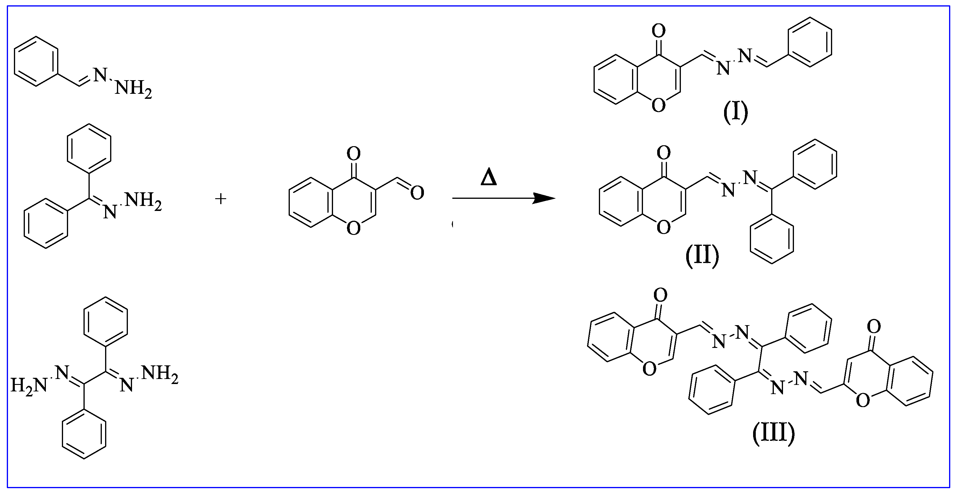
2.2. Synthesis
3. Result and Discussion


4. Conclusions
Funding
Institutional Review Board Statement
Informed Consent Statement
Data Availability Statement
Acknowledgments
Conflicts of Interest
References
- Benny, A.T.; Arikkatt, S.D.; Vazhappilly, C.G.; Kannadasan, S.; Thomas, R.; Leelabaiamma, M.S.; Radhakrishnan, E.K.; Shanmugam, P. Chromone, a privileged scaffold in drug discovery: Developments in the synthesis and bioactivity. Mini Rev. Med. Chem. 2022, 22, 1030–1063. [Google Scholar] [PubMed]
- Sharma, S.K.; Kumar, S.; Chand, K.; Kathuria, A.; Gupta, A.; Jain, R. An update on natural occurrence and biological activity of chromones. Curr. Med. Chem. 2011, 18, 3825–3852. [Google Scholar] [CrossRef] [PubMed]
- Khanna, R.; Kumar, R.; Dalal, A.; Kamboj, R.C. Absorption and fluorescent studies of 3-hydroxychromones. J. Fluoresc. 2015, 25, 1159–1163. [Google Scholar] [CrossRef] [PubMed]
- Miao, J.; Cui, H.; Jin, J.; Lai, F.; Wen, H.; Zhang, X.; Ruda, G.F.; Chen, X.; Yin, D. Development of 3-alkyl-6-methoxy-7-hydroxy-chromones (AMHCs) from natural isoflavones, a new class of fluorescent scaffolds for biological imaging. Chem. Commun. 2015, 51, 881–884. [Google Scholar] [CrossRef] [PubMed]
- Hamzi, I. Colorimetric and Fluorometric N-Acylhydrazone-based Chemosensors for Detection of Single to Multiple Metal Ions: Design Strategies and Analytical Applications. J. Fluoresc. 2024, 1–53. [Google Scholar] [CrossRef] [PubMed]
- Berhanu, A.L.; Mohiuddin, I.; Malik, A.K.; Aulakh, J.S.; Kumar, V.; Kim, K.H. A review of the applications of Schiff bases as optical chemical sensors. TrAC Trends Anal. Chem. 2019, 116, 74–91. [Google Scholar] [CrossRef]
- Hamzi, I. A review of biological applications of transition metal complexes incorporating N-acylhydrazones. Mini-Rev. Org. Chem. 2022, 19, 968–990. [Google Scholar] [CrossRef]
- Bhalla, P.; Malhotra, K.; Tomer, N.; Malhotra, R. Binding interactions and Sensing applications of chromone derived Schiff base chemosensors via absorption and emission studies: A comprehensive review. Inorg. Chem. Commun. 2022, 146, 110026. [Google Scholar] [CrossRef]
- Liu, C.J.; Yang, Z.Y.; Fan, L.; Jin, X.L.; An, J.M.; Cheng, X.Y.; Wang, B.D. Novel optical selective chromone Schiff base chemosensor for Al3+ ion. J. Lumin. 2015, 158, 172–175. [Google Scholar] [CrossRef]
- Winter, C.A.; Risley, E.A.; Nuss, G.W. Carrageenin-induced edema in hind paw of the rat as an assay for antiinflammatory drugs. Proc. Soc. Exp. Biol. Med. 1962, 111, 544–547. [Google Scholar] [CrossRef] [PubMed]
- Hamzi, I.; Touati, Y.; Mostefa-Kara, B. Benzil bis-hydrazone based fluorescence ‘Turn-on’sensor for highly sensitive and selective detection of Zn (II) Ions. J. Fluoresc. 2023, 33, 1683–1693. [Google Scholar] [CrossRef] [PubMed]
- Hamzi, I.; Mered, Y.; Mostefa-Kara, B. Highly Sensitive and Selective Recognition of Zn2+ and Fe2+ Ions Using a Novel Thiophene-Derived Hydrazone Dual Fluorometric Sensor. J. Fluoresc. 2024, 1–10. [Google Scholar] [CrossRef] [PubMed]


| ν (=CH) cm−1 | ν (C=O) cm−1 | ν (-C=N) cm−1 | (C-O) cm−1 | ν (N-N) cm−1 | |
|---|---|---|---|---|---|
| (I) | 3085 | 1663 | 1609 | 1227 | 1095 |
| (II) | 3050 | 1650 | 1608 | 1262 | 1071 |
| (III) | 3058 | 1656 | 1605 | 1226 | 1042 |
Disclaimer/Publisher’s Note: The statements, opinions and data contained in all publications are solely those of the individual author(s) and contributor(s) and not of MDPI and/or the editor(s). MDPI and/or the editor(s) disclaim responsibility for any injury to people or property resulting from any ideas, methods, instructions or products referred to in the content. |
© 2024 by the author. Licensee MDPI, Basel, Switzerland. This article is an open access article distributed under the terms and conditions of the Creative Commons Attribution (CC BY) license (https://creativecommons.org/licenses/by/4.0/).
Share and Cite
Hamzi, I. Synthesis and Characterization of a Series of Chromone–Hydrazones. Chem. Proc. 2024, 16, 79. https://doi.org/10.3390/ecsoc-28-20131
Hamzi I. Synthesis and Characterization of a Series of Chromone–Hydrazones. Chemistry Proceedings. 2024; 16(1):79. https://doi.org/10.3390/ecsoc-28-20131
Chicago/Turabian StyleHamzi, I. 2024. "Synthesis and Characterization of a Series of Chromone–Hydrazones" Chemistry Proceedings 16, no. 1: 79. https://doi.org/10.3390/ecsoc-28-20131
APA StyleHamzi, I. (2024). Synthesis and Characterization of a Series of Chromone–Hydrazones. Chemistry Proceedings, 16(1), 79. https://doi.org/10.3390/ecsoc-28-20131

