Abstract
Chromones, a class of aromatic heterocyclic compounds, possess intriguing biological and optical properties, making them ideal for spectroscopic detection. Hydrazones, known for their chelating abilities, can selectively bind to metal ions. This study presents a series of novel chromone–hydrazone derivatives synthesized from 3-formylchromone and three different hydrazine compounds. The structures of these synthesized compounds were confirmed through spectral analysis using 1H NMR, 13C NMR, and FT-IR spectroscopy.
1. Introduction
Chromones, a class of aromatic heterocyclic compounds, have garnered significant attention due to their diverse biological activities and optical properties. These compounds possess a wide range of biological applications [1,2]. Additionally, chromones’ unique structural features and photophysical properties make them promising candidates in various spectroscopic applications, such as chemosensors and fluorescent probes [3,4].
Hydrazones, derived from the condensation of hydrazine with carbonyl compounds, are known for their chelating abilities and have been extensively studied for their applications in metal ion sensing [5,6,7]. The incorporation of hydrazine moieties into chromone derivatives can enhance their metal-binding affinity and selectivity, leading to the development of novel chemosensors with improved performance [8,9].
This study aims to explore the synthesis and characterization of a series of chromone–hydrazone derivatives. By combining the structural features of chromones and hydrazones, we hypothesize that these compounds will exhibit enhanced chemosensing properties and offer potential applications in various fields, including environmental monitoring and biological analysis.
2. Experimental Section
2.1. Instruments and Reagents
The reagents and solvents were obtained from commercial suppliers (Acros (Fukuoka, Japan), Aldrich (St. Louis, MO, USA), and Fluka) and were used as received.
For FT-IR spectroscopy, solid samples were taken, neat, on a Thermo Scientific IR200 FT-IR spectrophotometer, and only significant absorptions are listed.
1H-NMR and 13C-NMR spectra were measured on a MAGRITEK 90 MHZ spectrometer at 298 K in CDCl3 solutions. Chemical shifts were reported relative to TMS as an internal standard.
2.2. Synthesis
3-Formylchromone was prepared using VilsmeiereHaack synthesis (Scheme 1) [10].
The synthesis of benzaldehyde-hydrazone, benzophenone-hydrazone, and benzil-bis-hydrazone is described in [10,11,12].
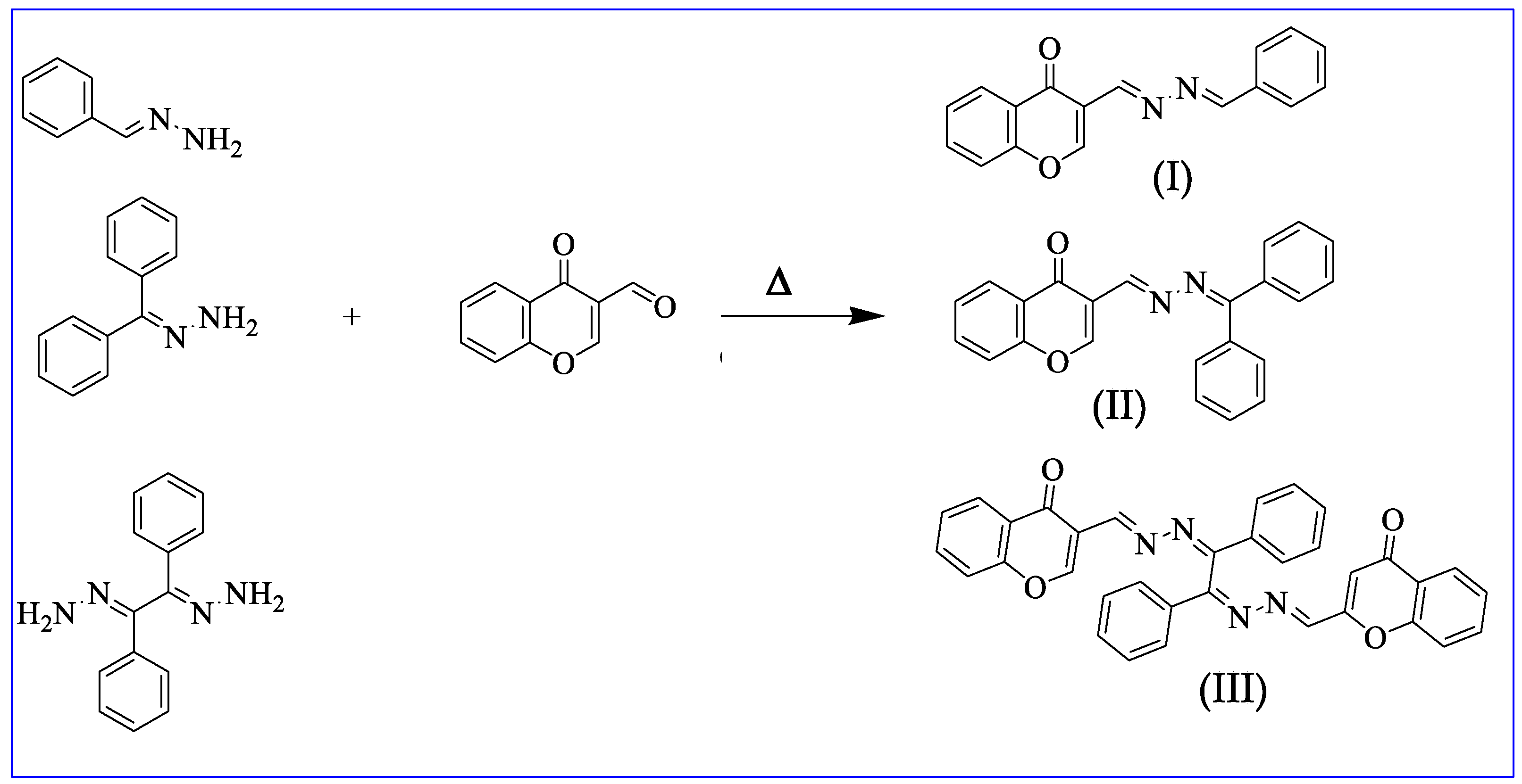
Synthesis of chromone hydrazones: The synthesis of chromone hydrazones is shown in Scheme 2. Aromatic hydrazines (1.00 mmol), 3-formylchromone (1.00 mmol or 2.00 mmol in case of (III)), and a few drops of pTSA acid were dissolved in 25 mL of ethanol, and the mixture was stirred and refluxed for 6 h. The precipitate was recrystallized in ethanol, and dried in vacuo. All compounds were prepared similarly, as shown in Scheme 2, and characterized as below.
3-((E)-(((E)-benzylidene) hydrazinylidene) methyl)-4H-chromen-4-one (I): Yield 40% as a yellow powder; IR (KBr, cm−1): 3085 (=C-H); 1663 (C=O); 1609 (C=N); 1460 (C=C ar); 1227 (C-O).
1H NMR (90 MHz, CDCl3) δ (ppm): 8,86 (s, 2H, H-C=N); 8,33 (s, 1H, H-C-O), 7,25-7,8 (m, 9H, Ar-H).
(e)-3-(((diphenmethylen)hydrazineylidene) methyl)-4h-chromen 4one (II): Yield 60% as a yellow powder; IR (KBr, cm−1): 3050 (=C-H); 1650 (C=O); 1608 (N=C); 1262 (C-O).
1H NMR (90 MHz, CDCl3) δ (ppm): 8,30 (s,1H, H-C=N); 8,14 (s, 1H, H-C-O); 7,38-8,03 (m, 14H, H Ar).
(e)-3-(((diphényle méthyl) hydrazine lydienne) méthyl) -4h-chromen-4-one (III): Yield 50% as a yellow powder; IR (KBr, cm−1): 3058 (=C-H); 1665(C=O); 1605 (C=N); 1226 (C-O).
1H NMR (90 MHz, CDCl3) δ (ppm): 8,7 (s, 2H, H-C=N); 8,3 (s, 2H, H-C-O); 7,3-8,2 (m, 18H, Ar-H).
3. Result and Discussion
3-Formylchromone was prepared and obtained with a 75% yield via Vilsmeier–Haack synthesis, as shown in Scheme 1, below.
Scheme 1.
Synthesis of 3-formylchromone.
Scheme 1.
Synthesis of 3-formylchromone.

Chromone–hydrazone probes (I), (II), and (III) were successfully synthesized through a condensation reaction between 3-formylchromone and benzaldehyde-hydrazone, benzophenone-hydrazone, and benzil-bis-hydrazone, respectively, as shown in Scheme 2. The probes were obtained as yellow solids with good yields ranging from 40% to 60%. The structures of chromone–hydrazone probes (I), (II), and (III) were fully characterized using FT-IR, 1H NMR, and 13C NMR.
Scheme 2.
Synthetic pathway for chromone–hydrazone derivatives (I), (II), and (III).
Scheme 2.
Synthetic pathway for chromone–hydrazone derivatives (I), (II), and (III).

Infrared (FT-IR) spectroscopy analysis of the chromone–hydrazones (I, II, and III) further supported their proposed structures. The key characteristic bands observed in the IR spectra are summarized in the table below. The characteristic IR bands of the chromone–hydrazones, presented in Table 1, provide valuable insights into the presence and nature of the functional groups within these compounds.
Table 1.
Characteristic IR spectral data of the chromone–hydrazones (I, II, and III).
The IR spectrum of chromone–hydrazone (II) is shown as an example (Figure 1).
Figure 1.
IR spectrum of chromone–hydrazone (II).
The 1H NMR spectra of chromone–hydrazones (I, II, and III) were recorded using CDCl3 as the solvent. The spectral data provide further evidence supporting the proposed structures of the ligands. Below is the 1H NMR spectrum of chromone–hydrazone (III) (Figure 2).
Figure 2.
1H NMR spectrum of chromone–hydrazone (III).
4. Conclusions
In summary, we synthesized a series of three chromone–hydrazone ligands via a rapid and efficient method. These ligands, possessing multiple coordination sites and strong chelating abilities, were designed to selectively bind metal cations of environmental and health concern. Complexation and detection studies are underway to assess their potential.
Funding
This research received no external funding.
Institutional Review Board Statement
Not applicable.
Informed Consent Statement
Not applicable.
Data Availability Statement
Data are contained within the article.
Acknowledgments
The author is grateful to the General Directorate for Scientific Research and Technological Development (DGRSDT) and the University of Tlemcen-Algeria.
Conflicts of Interest
The author declares no conflicts of interest.
References
- Benny, A.T.; Arikkatt, S.D.; Vazhappilly, C.G.; Kannadasan, S.; Thomas, R.; Leelabaiamma, M.S.; Radhakrishnan, E.K.; Shanmugam, P. Chromone, a privileged scaffold in drug discovery: Developments in the synthesis and bioactivity. Mini Rev. Med. Chem. 2022, 22, 1030–1063. [Google Scholar] [PubMed]
- Sharma, S.K.; Kumar, S.; Chand, K.; Kathuria, A.; Gupta, A.; Jain, R. An update on natural occurrence and biological activity of chromones. Curr. Med. Chem. 2011, 18, 3825–3852. [Google Scholar] [CrossRef] [PubMed]
- Khanna, R.; Kumar, R.; Dalal, A.; Kamboj, R.C. Absorption and fluorescent studies of 3-hydroxychromones. J. Fluoresc. 2015, 25, 1159–1163. [Google Scholar] [CrossRef] [PubMed]
- Miao, J.; Cui, H.; Jin, J.; Lai, F.; Wen, H.; Zhang, X.; Ruda, G.F.; Chen, X.; Yin, D. Development of 3-alkyl-6-methoxy-7-hydroxy-chromones (AMHCs) from natural isoflavones, a new class of fluorescent scaffolds for biological imaging. Chem. Commun. 2015, 51, 881–884. [Google Scholar] [CrossRef] [PubMed]
- Hamzi, I. Colorimetric and Fluorometric N-Acylhydrazone-based Chemosensors for Detection of Single to Multiple Metal Ions: Design Strategies and Analytical Applications. J. Fluoresc. 2024, 1–53. [Google Scholar] [CrossRef] [PubMed]
- Berhanu, A.L.; Mohiuddin, I.; Malik, A.K.; Aulakh, J.S.; Kumar, V.; Kim, K.H. A review of the applications of Schiff bases as optical chemical sensors. TrAC Trends Anal. Chem. 2019, 116, 74–91. [Google Scholar] [CrossRef]
- Hamzi, I. A review of biological applications of transition metal complexes incorporating N-acylhydrazones. Mini-Rev. Org. Chem. 2022, 19, 968–990. [Google Scholar] [CrossRef]
- Bhalla, P.; Malhotra, K.; Tomer, N.; Malhotra, R. Binding interactions and Sensing applications of chromone derived Schiff base chemosensors via absorption and emission studies: A comprehensive review. Inorg. Chem. Commun. 2022, 146, 110026. [Google Scholar] [CrossRef]
- Liu, C.J.; Yang, Z.Y.; Fan, L.; Jin, X.L.; An, J.M.; Cheng, X.Y.; Wang, B.D. Novel optical selective chromone Schiff base chemosensor for Al3+ ion. J. Lumin. 2015, 158, 172–175. [Google Scholar] [CrossRef]
- Winter, C.A.; Risley, E.A.; Nuss, G.W. Carrageenin-induced edema in hind paw of the rat as an assay for antiinflammatory drugs. Proc. Soc. Exp. Biol. Med. 1962, 111, 544–547. [Google Scholar] [CrossRef] [PubMed]
- Hamzi, I.; Touati, Y.; Mostefa-Kara, B. Benzil bis-hydrazone based fluorescence ‘Turn-on’sensor for highly sensitive and selective detection of Zn (II) Ions. J. Fluoresc. 2023, 33, 1683–1693. [Google Scholar] [CrossRef] [PubMed]
- Hamzi, I.; Mered, Y.; Mostefa-Kara, B. Highly Sensitive and Selective Recognition of Zn2+ and Fe2+ Ions Using a Novel Thiophene-Derived Hydrazone Dual Fluorometric Sensor. J. Fluoresc. 2024, 1–10. [Google Scholar] [CrossRef] [PubMed]
Disclaimer/Publisher’s Note: The statements, opinions and data contained in all publications are solely those of the individual author(s) and contributor(s) and not of MDPI and/or the editor(s). MDPI and/or the editor(s) disclaim responsibility for any injury to people or property resulting from any ideas, methods, instructions or products referred to in the content. |
© 2024 by the author. Licensee MDPI, Basel, Switzerland. This article is an open access article distributed under the terms and conditions of the Creative Commons Attribution (CC BY) license (https://creativecommons.org/licenses/by/4.0/).

