Bioactive Diterpenoids Obtained from Grindelia ventanensis Bartola & Tortosa (Asteraceae) †
Abstract
1. Introduction
2. Materials and Methods
2.1. General
2.2. Plant Material
2.3. Obtention of DCM Extract and Its Active Compounds
2.4. Antioxidante Activity
2.5. Acetylcholinesterase Inhibitory Activity
3. Results and Discussion
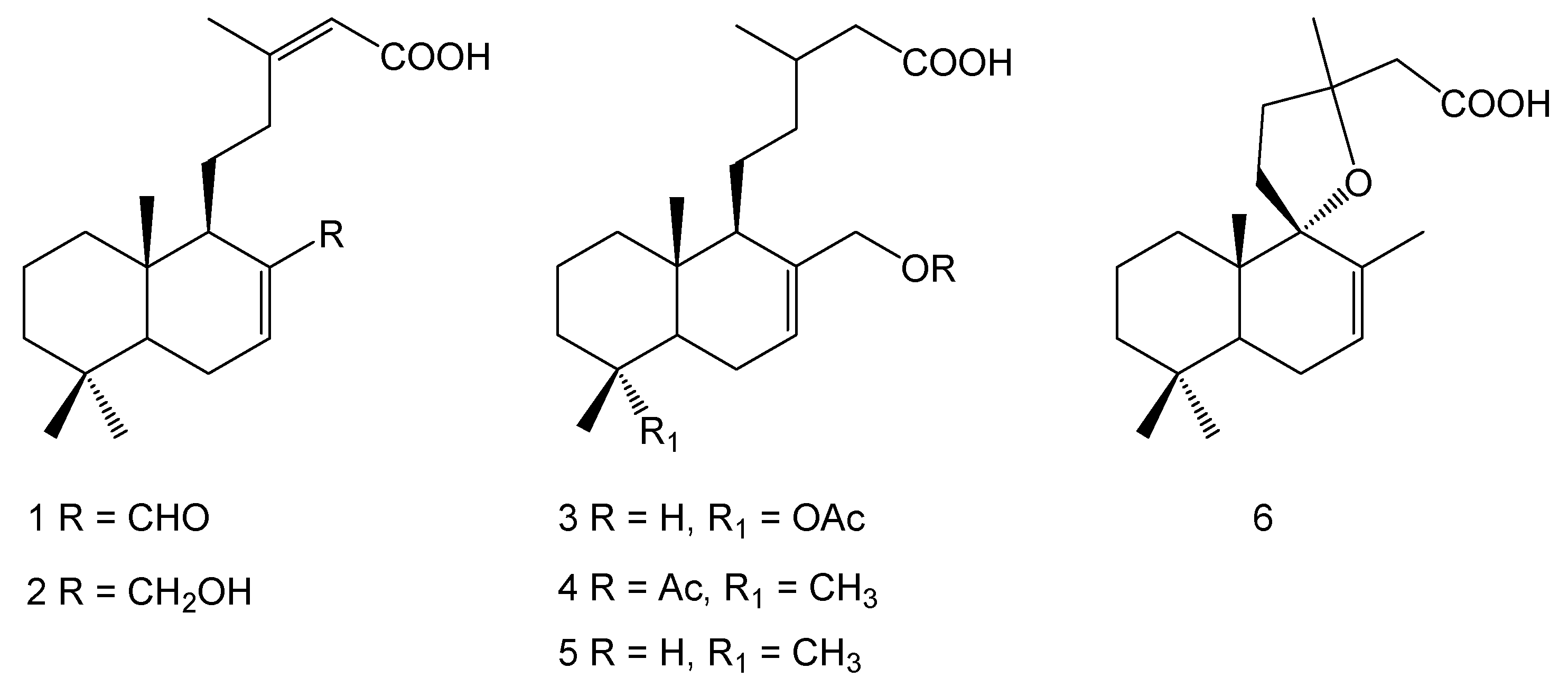
3.1. Extraction and Isolation
3.2. Antioxidante Activity
3.3. Acetylcholinesterase Inhibitory Activity
4. Conclusions
Author Contributions
Funding
Institutional Review Board Statement
Informed Consent Statement
Data Availability Statement
Conflicts of Interest
References
- Selkoe, D. Preventing Alzheimer’s disease. Science 2012, 337, 1488–1492. [Google Scholar] [CrossRef] [PubMed]
- Xu, T.; Shen, X.; Yu, H.; Sun, L.; Lin, W.; Zhang, C. Water-soluble ginseng oligosaccharides protect against scopolamine-induced cognitive impairment by functioning as an antineuroinflammatory agent. J. Ginseng. Res. 2016, 40, 211–219. [Google Scholar] [CrossRef] [PubMed]
- Wang, Z.; Cai, P.; Liu, Q.; Xu, D.; Yang, X.; Wu, J.; Kong, L.; Wang, X. Rational modification of donepezil as multifunctional acetylcholinesterase inhibitors for the treatment of Alzheimer’s disease. Eur. J. Med. Chem. 2016, 123, 282–297. [Google Scholar] [CrossRef] [PubMed]
- Zhao, Y.; Dou, J.; Wu, T.; Aisa, H. Investigating the antioxidant and acetylcholinesterase inhibition activities of Gossypium herbaceam. Molecules 2013, 18, 951–962. [Google Scholar] [CrossRef] [PubMed]
- Wu, L.; Tong, T.; Wan, S.; Yan, T.; Ren, F.; Bi, K.; Jia, Y. Protective effects of puerarin against Ab 1-42-Induced Learning and Memory Impairments in Mice. Planta Med. 2017, 83, 224–231. [Google Scholar] [PubMed]
- Zuloaga, F.; Morrone, O.; Belgrano, M.; Marticorena, C.; Marchesi, E. (Eds.) Catálogo de las Plantas Vasculares del Cono Sur (Argentina, Sur de Brasil, Chile, Paraguay y Uruguay). In Monographs in Systematic Botany from the Missouri Botanical Garden; Missouri Botanical Garden Press: St. Louis, MO, USA, 1323; Volume 107, pp. 1323–1326. [Google Scholar]
- Hung, T.; Luan, T.; Vinh, B.; Cuong, T.; Min, B. Labdane-type diterpenoids from Leonurus heterophyllus and their cholinesterase inhibitory activity. Phytother. Res. 2011, 25, 611–614. [Google Scholar] [CrossRef] [PubMed]
- Murata, T.; Selenge, E.; Oikawa, S.; Ageishi, K.; Batkhuu, J.; Sasaki, K.; Yoshizaki, F. Cholinesterase-inhibitory diterpenoids and chemical constituents from aerial parts of Caryopteris mongolica. J. Nat. Med. 2015, 69, 471–478. [Google Scholar] [CrossRef] [PubMed]
- Alza, N.; Richmond, V.; Baier, C.; Freire, E.; Baggio, R.; Murray, A.P. Synthesis and cholinesterase inhibition of cativic acid derivatives. Bioorg. Med. Chem. 2014, 22, 3838–3849. [Google Scholar] [CrossRef] [PubMed]
- Bors, W.; Saran, M.; Eltsner, E. Modern Methods Plant Analysis. New Ser. 1992, 13, 277–295. [Google Scholar]
- Ellman, G.; Courtney, K.; Andres, V.; Featherstone, R. A new and rapid colorimetric determination of acetylcholinesterase activity. Biochem. Pharmacol. 1961, 7, 88–90. [Google Scholar] [CrossRef] [PubMed]
- Pacheco, A.G.; de Oliveira, P.M.; Piló-Veloso, D.; de Carvalho Alcântara, A.F. 13C-NMR Data of Diterpenes Isolated from Aristolochia Species. Molecules 2009, 14, 1245–1262. [Google Scholar] [CrossRef] [PubMed]
- Alza, N.; Murray, A.; Salvador, G. Cativic acid-caffeic acid hybrid exerts cytotoxic effects and induces apoptotic death in human neuroblastoma cells. Naunyn Schmiedebergs Arch. Pharmacol. 2017, 390, 1229–1238. [Google Scholar] [CrossRef] [PubMed]
- Lee, S.; Lee, D.; Baek, J.; Jung, E.; Baek, Y.; Lee, I.; Jang, T.; Kang, K.; Kim, K. In Vitro assessment of selected Korean plants for antioxidant and antiacetylcholinesterase activities. Pharm. Biol. 2017, 55, 2205–2210. [Google Scholar] [CrossRef] [PubMed]

| Antioxidants | IC50 DPPH a | IC50 AChE a |
|---|---|---|
| trolox b | 30.64 ± 0.35 c | N.T. |
| tacrine b | N.T. | 0.0294 ± 0.01 c |
| DCM | 27.03 ± 0.28 d | 121.9 ± 1.92 d |
| 13-methyl-17-oxo-labda-7,13-diene-15-oic acid (1) | 7.13 ± 1.33 c | 11.04 ± 1.16 c |
| 17-hydroxy-13-methyl-labda-7,13-diene-15-oic acid (2) | 8.64 ± 1.41 c | 18.12 ± 0.63 c |
| 18-acetoxy-17- hydroxy cativic acid (3) | 25.57 ± 1.93 c | 36.32 ± 1.25 c |
| 17-acetoxycativic acid (4) | 26.78 ± 1.50 c | 31.17 ± 1.39 c |
| 17- hydroxy cativic acid (5) | 20.36 ± 1.15 c | 25.75 ± 0.54 c |
| grindelic acid (6) | 28.96 ± 1.36 c | 27.96 ± 1.12 c |
Disclaimer/Publisher’s Note: The statements, opinions and data contained in all publications are solely those of the individual author(s) and contributor(s) and not of MDPI and/or the editor(s). MDPI and/or the editor(s) disclaim responsibility for any injury to people or property resulting from any ideas, methods, instructions or products referred to in the content. |
© 2022 by the authors. Licensee MDPI, Basel, Switzerland. This article is an open access article distributed under the terms and conditions of the Creative Commons Attribution (CC BY) license (https://creativecommons.org/licenses/by/4.0/).
Share and Cite
Rodriguez, S.A.; Velasco, M.; Corbalán Córdoba, E.; Murray, A.P. Bioactive Diterpenoids Obtained from Grindelia ventanensis Bartola & Tortosa (Asteraceae). Chem. Proc. 2022, 12, 71. https://doi.org/10.3390/ecsoc-26-13581
Rodriguez SA, Velasco M, Corbalán Córdoba E, Murray AP. Bioactive Diterpenoids Obtained from Grindelia ventanensis Bartola & Tortosa (Asteraceae). Chemistry Proceedings. 2022; 12(1):71. https://doi.org/10.3390/ecsoc-26-13581
Chicago/Turabian StyleRodriguez, Silvana Andrea, Marilyn Velasco, Elena Corbalán Córdoba, and Ana Paula Murray. 2022. "Bioactive Diterpenoids Obtained from Grindelia ventanensis Bartola & Tortosa (Asteraceae)" Chemistry Proceedings 12, no. 1: 71. https://doi.org/10.3390/ecsoc-26-13581
APA StyleRodriguez, S. A., Velasco, M., Corbalán Córdoba, E., & Murray, A. P. (2022). Bioactive Diterpenoids Obtained from Grindelia ventanensis Bartola & Tortosa (Asteraceae). Chemistry Proceedings, 12(1), 71. https://doi.org/10.3390/ecsoc-26-13581

