Associations of Dietary Indices with Hip Fracture in Postmenopausal Women and Subsequent Major Osteoporotic Fracture in the Japanese Clinical Setting
Abstract
1. Introduction
2. Materials and Methods
2.1. Cross-Sectional Studies
2.1.1. Study A: Comparison of Variables Between the Two Groups at Baseline
2.1.2. Study B: Associations Between HF Incidence and Variables at Baseline
2.1.3. Study C: Associations Between Nutritional Indices and the Other Variables at Baseline
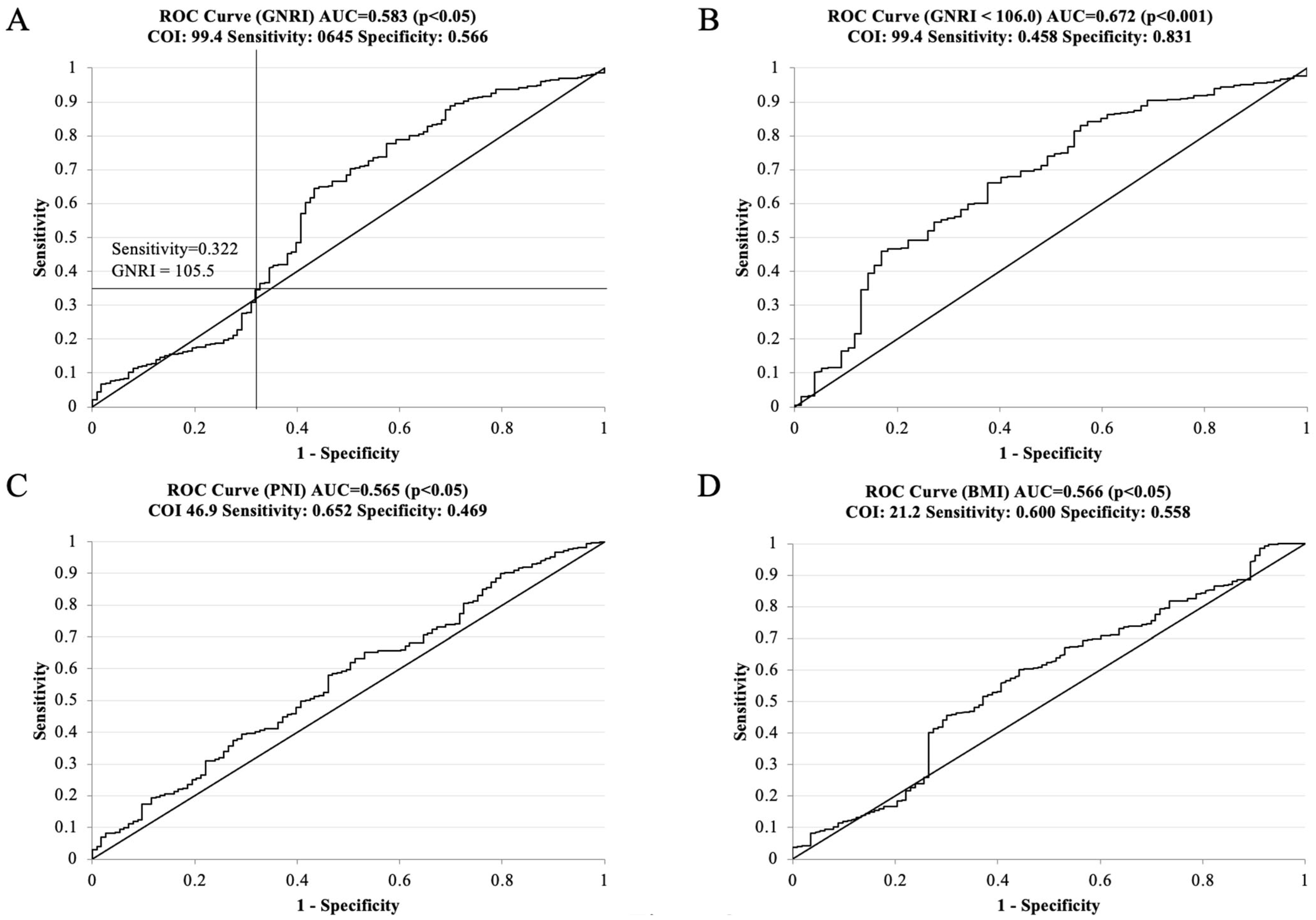
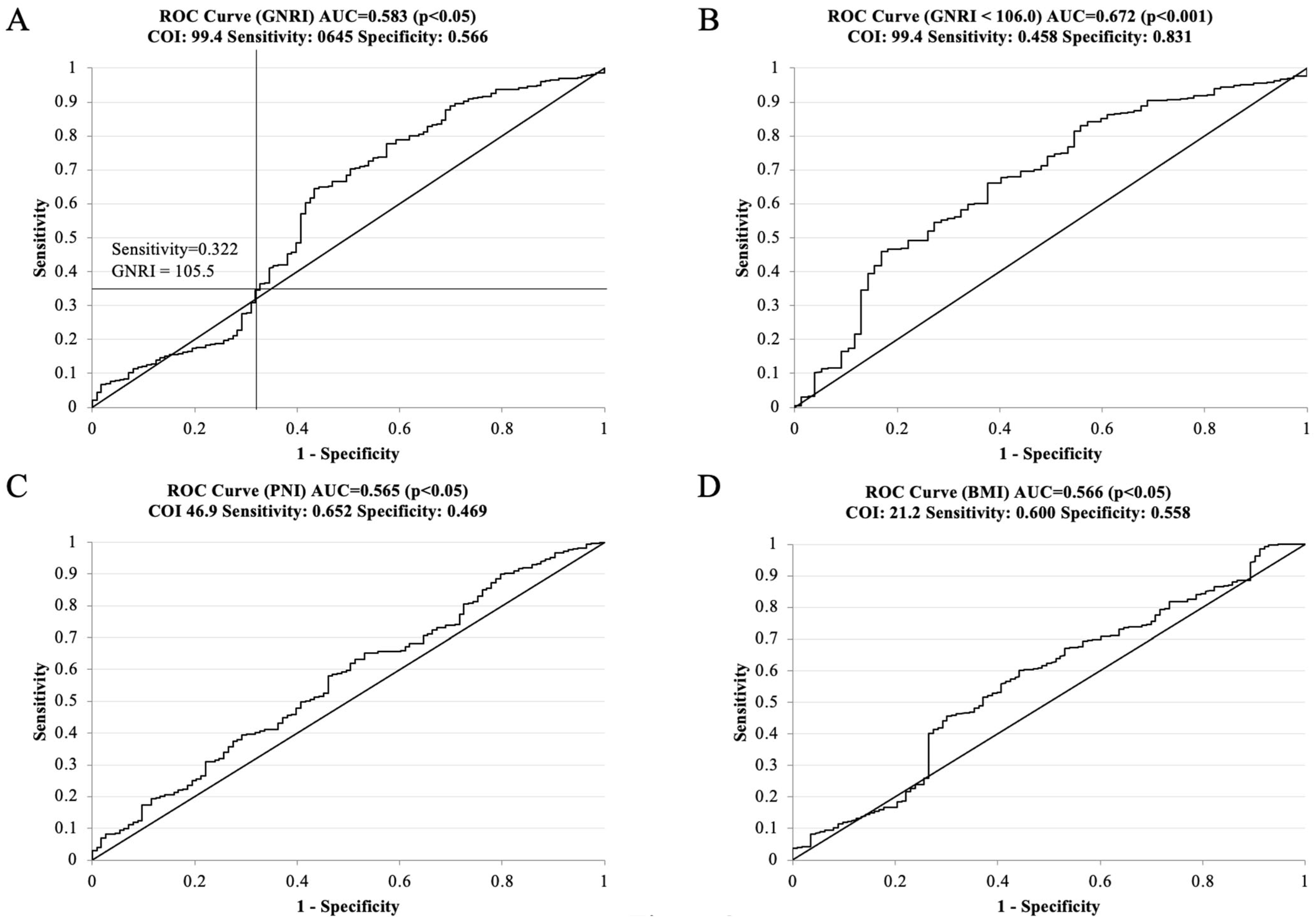
2.1.4. Study D: Determining the Cut-Off Index of Each Nutritional Index for Developing HFs Using Receiver Operating Characteristic Curve Analysis
2.2. Longitudinal Studies
2.2.1. Study E: Associations Between Subsequent Major Osteoporotic Fracture and Variables After Baseline
2.2.2. Study F: Association Between Nutritional Indices and Functional Capacity After Baseline
2.3. Additional Test Regarding the Correlation Between BMI and the Variables
3. Results
3.1. Cross-Sectional Studies
3.1.1. Study A: Comparison of Variables Between the Two Groups at Baseline
3.1.2. Study B: Associations Between HF Incidence and Variables at Baseline
3.1.3. Study C: Associations Between Nutritional Indices and the Other Variables at Baseline
3.1.4. Study D: Determining the Cut-Off Index of Each Nutritional Index for Developing HFs Using Receiver Operating Characteristic Curve Analysis
3.2. Longitudinal Studies
3.2.1. Study E: Associations Between Subsequent Major Osteoporotic Fracture and Variables After Baseline
3.2.2. Study F: Association Between Nutritional Indices and Functional Capacity After Baseline
3.3. Additional Test Regarding the Correlation Between BMI and the Variables
4. Discussion
5. Conclusions
Supplementary Materials
Author Contributions
Funding
Institutional Review Board Statement
Informed Consent Statement
Data Availability Statement
Acknowledgments
Conflicts of Interest
Abbreviations
References
- Curtis, E.M.; Moon, R.J.; Harvey, N.C.; Cooper, C. Reprint of: The impact of fragility fracture and approaches to osteoporosis risk assessment worldwide. Int. J. Orthop. Trauma Nurs. 2017, 26, 7–17. [Google Scholar] [CrossRef]
- Iihara, N.; Ohara, E.; Bando, Y.; Yoshida, T.; Ohara, M.; Kirino, Y. Fragility Fractures in Older People in Japan Based on the National Health Insurance Claims Database. Biol. Pharm. Bull. 2019, 42, 778–785. [Google Scholar] [CrossRef]
- Bliuc, D.; Alarkawi, D.; Nguyen, T.V.; Eisman, J.A.; Center, J.R. Risk of Subsequent Fractures and Mortality in Elderly Women and Men with Fragility Fractures with and without Osteoporotic Bone Density: The Dubbo Osteoporosis Epidemiology Study. J. Bone Miner. Res. 2015, 30, 637–646. [Google Scholar] [CrossRef]
- Wang, O.; Hu, Y.; Gong, S.; Xue, Q.; Deng, Z.; Wang, L.; Liu, H.; Tang, H.; Guo, X.; Chen, J.; et al. A survey of outcomes and management of patients post fragility fractures in China. Osteoporos. Int. 2015, 26, 2631–2640. [Google Scholar] [CrossRef]
- Hagino, H. Changing Bones through Rehabilitation Therapy: Toward Bone Attack Prevention. Jpn. J. Rehabil. Med. 2021, 58, 59–65. (In Japanese) [Google Scholar] [CrossRef]
- Nagai, T.; Tanimoto, K.; Tomizuka, Y.; Uei, H.; Nagaoka, M. Nutrition status and functional prognosis among elderly patients with distal radius fracture: A retrospective cohort study. J. Orthop. Surg. Res. 2020, 15, 133. [Google Scholar] [CrossRef] [PubMed]
- Di Monaco, M.; Castiglioni, C.; Bardesono, F.; Milano, E.; Massazza, G. Simultaneous hip and upper-limb fractures are associated with lower Geriatric Nutritional Index scores than isolated hip fractures: A cross-sectional study of 858 women. Aging Clin. Exp. Res. 2020, 32, 1707–1712. [Google Scholar] [CrossRef] [PubMed]
- He, M.; Fan, Q.; Zhu, Y.; Liu, D.; Liu, X.; Xu, S.; Peng, J.; Zhu, Z. The need for nutritional assessment and interventions based on the prognostic nutritional index for patients with femoral fractures: A retrospective study. Perioper. Med. 2021, 10, 61. [Google Scholar] [CrossRef] [PubMed]
- Nagai, T.; Uei, H.; Nakanishi, K. Association Among Geriatric Nutritional Risk Index and Functional Prognosis in Elderly Patients with Osteoporotic Vertebral Compression Fractures. Indian J. Orthop. 2021, 56, 338–344. [Google Scholar] [CrossRef]
- Yokoyama, K.; Ukai, T.; Watanabe, M. Effect of nutritional status before femoral neck fracture surgery on postoperative outcomes: A retrospective study. BMC Musculoskelet. Disord. 2021, 22, 1027. [Google Scholar] [CrossRef]
- Yamaura, T.; Arizumi, F.; Maruo, K.; Kishima, K.; Yoshie, N.; Kusukawa, T.; Imamura, F.; Tachibana, T. The Impact of Controlling Nutritional Status (CONUT) score on functional prognosis in hospitalized elderly patients with acute osteoporotic vertebral fractures. BMC Geriatr. 2022, 22, 1002. [Google Scholar] [CrossRef]
- Faust, L.M.; Lerchenberger, M.; Gleich, J.; Linhart, C.; Keppler, A.M.; Schmidmaier, R.; Böcker, W.; Neuerburg, C.; Zhang, Y. Predictive Value of Prognostic Nutritional Index for Early Postoperative Mobility in Elderly Patients with Pertrochanteric Fracture Treated with Intramedullary Nail Osteosynthesis. J. Clin. Med. 2023, 12, 1792. [Google Scholar] [CrossRef] [PubMed]
- Tsutsui, T.; Fujiwara, T.; Matsumoto, Y.; Kimura, A.; Kanahori, M.; Arisumi, S.; Oyamada, A.; Ohishi, M.; Ikuta, K.; Tsuchiya, K.; et al. Geriatric nutritional risk index as the prognostic factor in older patients with fragility hip fractures. Osteoporos. Int. 2023, 34, 1207–1221. [Google Scholar] [CrossRef] [PubMed]
- Cheng, X.; Chen, W.; Yan, J.; Yang, Z.; Li, C.; Wu, D.; Wang, T.; Zhang, Y.; Zhu, Y. Association of preoperative nutritional status evaluated by the controlling nutritional status (CONUT) score with walking independence at 180 days postoperatively: A prospective cohort study in Chinese older patients with hip fracture. Int. J. Surg. 2023, 109, 2660–2671. [Google Scholar] [CrossRef] [PubMed]
- Pan, J.; Xu, G.; Zhai, Z.; Sun, J.; Wang, Q.; Huang, X.; Guo, Y.; Lu, Q.; Mo, J.; Nong, Y.; et al. Geriatric nutritional risk index as a predictor for fragility fracture risk in elderly with type 2 diabetes mellitus: A 9-year ambispective longitudinal cohort study. Clin. Nutr. 2024, 43, 1125–1135. [Google Scholar] [CrossRef]
- Kamioka, H.; Saeki, C.; Oikawa, T.; Kinoshita, A.; Kanai, T.; Ueda, K.; Nakano, M.; Torisu, Y.; Saruta, M.; Tsubota, A. Low geriatric nutritional risk index is associated with osteoporosis and fracture risk in patients with chronic liver disease: A cross-sectional study. BMC Gastroenterol. 2024, 24, 376. [Google Scholar] [CrossRef]
- Wu, S.; Lai, J.; Chen, Q. Geriatric nutritional risk index as a predictor for fragility fracture risk in elderly with type 2 diabetes mellitus. Clin. Nutr. 2024, 43, 2296–2297. [Google Scholar] [CrossRef]
- Montalcini, T.; Romeo, S.; Ferro, Y.; Migliaccio, V.; Gazzaruso, C.; Pujia, A. Osteoporosis in chronic inflammatory disease: The role of malnutrition. Endocrine 2013, 43, 59–64. [Google Scholar] [CrossRef]
- Xing, H.; Xiang, D.; Li, Y.; Ji, X.; Xie, G. Preoperative prognostic nutritional index predicts postoperative delirium in elderly patients after hip fracture surgery. Psychogeriatrics 2020, 20, 487–494. [Google Scholar] [CrossRef]
- Yagi, T.; Oshita, Y.; Okano, I.; Kuroda, T.; Ishikawa, K.; Nagai, T.; Inagaki, K. Controlling nutritional status score predicts postoperative complications after hip fracture surgery. BMC Geriatr. 2020, 20, 243. [Google Scholar] [CrossRef]
- Fang, X.-Y.; Xu, H.-W.; Chen, H.; Zhang, S.-B.; Yi, Y.-Y.; Ge, X.-Y.; Wang, S.-J. Association Between Poor Nutritional Status and Increased Risk for Subsequent Vertebral Fracture in Elderly People with Percutaneous Vertebroplasty. Clin. Interv. Aging 2022, 17, 1503–1512. [Google Scholar] [CrossRef] [PubMed]
- Inoue, T.; Misu, S.; Tanaka, T.; Kakehi, T.; Ono, R. Acute phase nutritional screening tool associated with functional outcomes of hip fracture patients: A longitudinal study to compare MNA-SF, MUST, NRS-2002 and GNRI. Clin. Nutr. 2019, 38, 220–226. [Google Scholar] [CrossRef] [PubMed]
- Liu, N.; Lv, L.; Jiao, J.; Zhang, Y.; Zuo, X.-L. Association between nutritional indices and mortality after hip fracture: A systematic review and meta-analysis. Eur. Rev. Med. Pharmacol. Sci. 2023, 27, 2297–2304. [Google Scholar] [PubMed]
- Soen, S.; Fukunaga, M.; Sugimoto, T.; Sone, T.; Fujiwara, S.; Endo, N.; Gorai, I.; Shiraki, M.; Hagino, H.; Hosoi, T. Japanese Society for Bone and Mineral Research and Japan Osteoporosis Society Joint Review Committee for the Revision of the Diagnostic Criteria for Primary Osteoporosis. Diagnostic criteria for primary osteoporosis: Year 2012 revision. J. Bone Min. Metab. 2013, 31, 247–257. [Google Scholar] [CrossRef]
- Compston, J. Obesity and fractures. Jt. Bone Spine 2013, 80, 8–10. [Google Scholar] [CrossRef]
- Tokumoto, H.; Tominaga, H.; Arishima, Y.; Jokoji, G.; Akimoto, M.; Ohtsubo, H.; Taketomi, E.; Sunahara, N.; Nagano, S.; Ishidou, Y.; et al. Association between Bone Mineral Density of Femoral Neck and Geriatric Nutritional Risk Index in Rheumatoid Arthritis Patients Treated with Biological Disease-Modifying Anti-Rheumatic Drugs. Nutrients 2018, 10, 234. [Google Scholar] [CrossRef]
- Roberts, J.L.; Drissi, H. Advances and Promises of Nutritional Influences on Natural Bone Repair. J. Orthop. Res. 2020, 38, 695–707. [Google Scholar] [CrossRef]
- Piñar-Gutierrez, A.; García-Fontana, C.; García-Fontana, B.; Muñoz-Torres, M. Obesity and Bone: A Complex Relationship. Int. J. Mol. Sci. 2021, 22, 13662. [Google Scholar] [CrossRef]
- Nagayama, Y.; Ebina, K.; Tsuboi, H.; Hirao, M.; Hashimoto, J.; Yoshikawa, H.; Okada, S.; Nakata, K. Low serum albumin concentration is associated with increased risk of osteoporosis in postmenopausal patients with rheumatoid arthritis. J. Orthop. Sci. 2022, 27, 1283–1290. [Google Scholar] [CrossRef]
- Isoda, K.; Tsuji, S.; Harada, Y.; Yoshimura, M.; Nakabayashi, A.; Sato, M.; Nagano, H.; Kim, D.-S.; Hashimoto, J.; Ohshima, S. The potential of the prognostic nutritional index to determine the risk factor for severe infection in elderly patients with rheumatoid arthritis. Mod. Rheumatol. 2023, 33, 88–95. [Google Scholar] [CrossRef] [PubMed]
- Soliman, S.S.; Jordan, G.B.; Bilaniuk, J.W.; Benfante, A.; Kong, K.; Rolandelli, R.H.; Curran, T.; Nemeth, Z.H. The impact of BMI on morbidity and mortality after femoral fractures. Eur. J. Trauma Emerg. Surg. 2022, 48, 2441–2447. [Google Scholar] [CrossRef]
- Muñoz-Garach, A.; García-Fontana, B.; Muñoz-Torres, M. Nutrients and Dietary Patterns Related to Osteoporosis. Nutrients 2020, 12, 1986. [Google Scholar] [CrossRef]
- Rizzoli, R.; Biver, E.; Brennan-Speranza, T.C. Nutritional intake and bone health. Lancet Diabetes Endocrinol. 2021, 9, 606–621. [Google Scholar] [CrossRef]
- Rizzoli, R.; Chevalley, T. Nutrition and Osteoporosis Prevention. Curr. Osteoporos. Rep. 2024, 22, 515–522. [Google Scholar] [CrossRef] [PubMed]
- Yoshii, I.; Satake, Y.; Kitaoka, K.; Komatsu, M.; Hashimoto, K. Relationship between dementia degree and gait ability after proximal femoral fracture surgery: Review from Clinical Pathway with Regional Alliance data of rural region in Japan. J. Orthop. Sci. 2016, 21, 481–486. [Google Scholar] [CrossRef] [PubMed]
- Maezawa, K.; Nozawa, M.; Maruyama, Y.; Sakuragi, E.; Sugimoto, M.; Ishijima, M. Comparison of anemia, renal function, and nutritional status in older women with femoral neck fracture and hip joint osteoarthritis. J. Orthop. Sci. 2023, 28, 380–384. [Google Scholar] [CrossRef] [PubMed]


| Index Name | Source | Formula in Detail |
|---|---|---|
| BMI | height, weight | weight/square height (m2) |
| GNRI | ALB, height, weight | 14.89 × ALB + [41.7 × weight/ideal body weight] |
| PNI | ALB, Lymph | 10 × ALB + 0.005 × Lymph |
| CONUT score | ALB, T-chol, Lymph | (ALB ≥ 3.5, 0; 3.5 > ALN ≥ 3.0, 2; 3.0 > ALB ≥ 2.5, 4; 2.5 > ALB, 6) plus |
| (T-chol ≥ 180, 0; 180 > T-chol ≥ 140, 1; 140 > T-chol ≥ 100, 2; 100 > T-chol, 3) plus | ||
| (Lymph ≥ 1600, 0; 1600 > Lymph ≥ 1200, 1; 1200 > Lymph ≥ 800, 2; 800 > Lymph, 3) |
| In All (N = 1201) | G-HF (N = 113) | G-POP | p-Value | |||
|---|---|---|---|---|---|---|
| (Crude: N = 1088) | (Post-PSM: N = 113) | G-HF vs. G-POP (Crude) | G-HF vs. G-POP (Post-PSM) | |||
| age | 84.6 ± 5.8 | 87.8 ± 5.8 | 84.3 ± 5.7 | 87.8 ± 5.8 | <0.001 | 0.99 |
| T-score in the LS | −2.5 ± 1.5 | −2.7 ± 1.5 | −2.5 ± 1.5 | −2.7 ± 1.7 | 0.32 | 0.63 |
| T-score in the FN | −2.4 ± 0.9 | −2.9 ± 0.8 | −2.3 ± 0.9 | −2.9 ± 0.8 | <0.001 | 0.93 |
| T-score in the TH | −2.3 ± 1.0 | −3.0 ± 1.0 | −2.2 ± 0.8 | −2.8 ± 0.8 | <0.001 | 0.11 |
| minimum T-score | −3.0 ± 1.0 | −3.4 ± 0.9 | −3.0 ± 1.0 | −3.4 ± 0.9 | <0.001 | 0.50 |
| Albumin, g/dL | 4.1 ± 0.3 | 4.0 ± 0.4 | 4.1 ± 0.3 | 4.0 ± 0.3 | <0.001 | 0.13 |
| CRP, mg/dL | 0.45 ± 1.47 | 0.89 ± 2.94 | 0.40 ± 1.22 | 0.33 ± 0.93 | <0.01 | 0.05 |
| WBC, /mm3 | 5655 ± 1769 | 6119 ± 1669 | 5606 ± 1774 | 5387 ± 1534 | <0.001 | <0.001 |
| lymphocyte, /mm3 | 1561 ± 607 | 1513 ± 482 | 1566 ± 618 | 1469 ± 558 | 0.90 | 0.17 |
| Hgb, g/dL | 11.8 ± 1.5 | 11.7 ± 1.3 | 11.9 ± 1.5 | 11.6 ± 1.4 | 0.07 | 0.80 |
| T-chol, mg/dL | 198.9 ± 36.3 | 196.5 ± 36.8 | 199.2 ± 39.3 | 200.1 ± 38.4 | 0.48 | 0.43 |
| BMI | 22.3 ± 3.7 | 21.4 ± 3.9 | 22.4 ± 3.7 | 21.9 ± 3.3 | <0.05 | 0.38 |
| GNRI | 101.6 ± 11.1 | 99.2 ± 10.4 | 101.8 ± 11.2 | 100.3 ± 10.0 | <0.01 | 0.28 |
| PNI | 48.5 ± 4.7 | 47.3 ± 4.9 | 48.7 ± 4.7 | 47.6 ± 4.4 | <0.05 | 0.89 |
| CONUT score | 1.4 ± 1.4 | 1.5 ± 1.4 | 1.4 ± 1.4 | 1.6 ± 1.3 | 0.60 | 0.29 |
| Cr, mg/dL | 0.81 ± 0.42 | 0.78 ± 0.26 | 0.81 ± 0.43 | 0.80 ± 0.29 | 0.46 | 0.97 |
| CysC, mg/dL | 1.28 ± 0.46 | 1.30 ± 0.30 | 1.28 ± 0.48 | 1.34 ± 0.40 | <0.01 | 0.97 |
| Calcium, mg/dL | 9.1 ± 0.5 | 9.1 ± 0.5 | 9.1 ± 0.5 | 9.2 ± 0.5 | 0.21 | 0.60 |
| IP, mg/dL | 3.5 ± 0.6 | 3.6 ± 0.5 | 3.5 ± 0.6 | 3.4 ± 0.6 | <0.05 | <0.01 |
| ALP, IU/dL | 207.0 ± 95.5 | 216.9 ± 94.5 | 206.1 ± 95.6 | 219.3 ± 82.8 | 0.33 | 0.51 |
| PTH, IU/mL | 41.5 ± 28.9 | 37.0 ± 18.7 | 42.0 ± 29.7 | 46.6 ± 40.3 | 0.06 | 0.12 |
| TRACP-5b, mU/dL | 382.4 ± 191.6 | 385.0 ± 159.7 | 382.2 ± 196.8 | 413.0 ± 238.9 | 0.36 | 0.87 |
| P1NP, ng/mL | 44.0 ± 41.0 | 49.5 ± 43.6 | 43.4 ± 40.7 | 49.4 ± 47.1 | 0.09 | 0.91 |
| eGFR_Cr, mL/min/1.73 m2 | 58.2 ± 19.3 | 56.9 ± 16.8 | 58.4 ± 19.6 | 56.5 ± 16.8 | 0.27 | 0.95 |
| eGFR_CysC, mL/min/1.73 m2 | 51.0 ± 17.2 | 46.6 ± 11.3 | 51.4 ± 17.6 | 46.9 ± 15.2 | <0.01 | 0.95 |
| Univariate Model | Multivariate Model | |||
|---|---|---|---|---|
| Odds Ratio (95% CI) | p-Value | Odds Ratio (95% CI) | p-Value | |
| age | 1.11 (1.07–1.15) | <0.001 | 0.97 (0.90–1.05) | 0.45 |
| T-score in the LS | 0.91 (0.80–1.05) | 0.21 | ||
| T-score in the FN | 0.51 (0.40–0.64) | <0.001 | 0.52 (0.23–1.15) | 0.11 |
| T-score in the TH | 0.46 (0.37–0.57) | <0.001 | 0.24 (0.09–0.61) | <0.01 |
| minimum T-score | 0.64 (0.53–0.78) | <0.001 | 2.23 (1.11–4.47) | <0.05 |
| Albumin, g/dL | 0.37 (0.21–0.66) | <0.001 | 0.00 (0.00–0.00) | <0.01 |
| CRP, mg/dL | 1.14 (1.04–1.24) | <0.01 | 0.98 (0.85–1.13) | 0.78 |
| WBC, /mm3 | 1.00 (1.00–1.00) | <0.01 | 1.00 (1.00–1.00) | <0.01 |
| lymphocyte, /mm3 | 1.00 (1.00–1.00) | 0.38 | ||
| Hgb, g/dL | 0.91 (0.80–1.03) | 0.15 | ||
| T-chol. mg/dL | 1.00 (0.99–1.00) | 0.45 | ||
| BMI | 0.93 (0.88–0.99) | <0.05 | 0.00 (0.00–0.09) | <0.01 |
| GNRI | 0.98 (0.97–1.00) | <0.05 | 33.13 (3.94–278.9) | <0.01 |
| PNI | 0.94 (0.90–0.98) | <0.01 | 1.02 (0.88–1.18) | 0.83 |
| CONUT score | 1.04 (0.91–1.20) | 0.57 | ||
| Cr, mg/dL | 0.79 (0.45–1.40) | 0.39 | ||
| CysC, mg/dL | 1.08 (0.70–1.66) | 0.75 | ||
| Calcium, mg/dL | 1.11 (0.84–1.47) | 0.45 | ||
| IP, mg/dL | 1.46 (1.02–2.09) | <0.05 | 1.75 (0.87–3.52) | 0.12 |
| ALP, IU/dL | 1.00 (1.00–1.00) | 0.28 | ||
| PTH, IU/mL | 0.99 (0.98–1.00) | 0.06 | ||
| TRACP-5b, mU/dL | 1.00 (1.00–1.00) | 0.88 | ||
| P1NP, ng/mL | 1.00 (1.00–1.00) | 0.18 | ||
| eGFR_Cr, mL/min/1.73 m2 | 1.00 (0.99–1.00) | 0.44 | ||
| eGFR_CysC, mL/min/1.73 m2 | 0.98 (0.97–1.00) | <0.01 | 1.00 (0.97–1.03) | 0.96 |
| Variables | GNRI | PNI | CONUT Score | BMI |
|---|---|---|---|---|
| R | 0.558 | 0.535 | 0.403 | 0.506 |
| age | 0.89 | <0.01 | <0.01 | 0.09 |
| T-score in the LS | <0.01 | 0.15 | 0.73 | <0.01 |
| T-score in the FN | 0.08 | 0.59 | 0.72 | <0.05 |
| T-score in the TH | <0.05 | 0.64 | 0.89 | <0.01 |
| minimum T-score | 0.06 | 0.37 | 0.57 | 0.06 |
| ALB | - | - | - | 0.50 |
| CRP | 0.24 | <0.01 | 0.25 | 0.37 |
| WBC | <0.001 | <0.001 | <0.001 | <0.01 |
| Lymphocyte | <0.001 | - | - | <0.001 |
| Hgb | <0.001 | <0.001 | <0.001 | <0.001 |
| T-chol | <0.001 | <0.001 | - | 0.90 |
| Cr | <0.01 | 0.05 | 0.91 | 0.19 |
| CysC | 0.50 | 0.06 | 0.51 | 0.29 |
| Calcium | <0.01 | 0.14 | 1.00 | 0.66 |
| IP | 0.53 | <0.05 | <0.01 | <0.05 |
| ALP | <0.001 | <0.01 | 0.27 | <0.05 |
| PTH | <0.01 | <0.01 | 0.15 | 0.22 |
| TRACP-5b | 0.25 | 0.29 | 0.29 | 0.31 |
| P1NP | 0.46 | 0.49 | 0.31 | 0.31 |
| Hip Fracture | 0.21 | 0.50 | 0.54 | <0.05 |
| Univariate Model | Multivariate Model | |||
|---|---|---|---|---|
| Risk Ratio (95%CI) | p-Value | Risk Ratio (95%CI) | p-Value | |
| age | 0.97 (0.93–1.01) | 0.10 | ||
| T-score in the LS | 0.94 (0.82–1.08) | 0.40 | ||
| T-score in the FN | 0.70 (0.56–0.87) | <0.001 | 0.63 (0.39–1.00) | <0.05 |
| T-score in the TH | 0.75 (0.61–0.93) | <0.01 | 1.27 (0.82–1.97) | 0.28 |
| minimum T-score | 0.84 (0.69–1.03) | 0.09 | ||
| Albumin, g/dL | 1.26 (0.62–2.54) | 0.53 | ||
| CRP, mg/dL | 0.97 (0.78–1.20) | 0.76 | ||
| WBC, /mm3 | 1.00 (1.00–1.00) | 0.76 | ||
| lymphocyte, /mm3 | 1.00 (1.00–1.00) | 1.00 | ||
| Hgb, g/dL | 0.89 (0.77–1.02) | 0.09 | ||
| T-CHOL. mg/dL | 1.00 (0.99–1.00) | 0.57 | ||
| BMI | 0.98 (0.93–1.04) | 0.53 | ||
| GNRI | 1.00 (0.98–1.02) | 0.66 | ||
| PNI | 1.02 (0.96–1.05) | 0.94 | ||
| CONUT score | 0.96 (0.82–1.13) | 0.65 | ||
| Cr, mg/dL | 0.70 (0.34–1.44) | 0.33 | ||
| CysC, mg/dL | 0.72 (0.41–1.28) | 0.26 | ||
| Calcium, mg/dL | 0.85 (0.55–1.31) | 0.45 | ||
| IP, mg/dL | 1.15 (0.78–1.68) | 0.48 | ||
| ALP, IU/dL | 1.00 (1.00–1.00) | 0.16 | ||
| PTH, IU/mL | 1.00 (0.99–1.01) | 0.39 | ||
| TRACP-5b, mU/dL | 1.00 (1.00–1.00) | 0.39 | ||
| P1NP, ng/mL | 1.00 (0.99–1.01) | 1.00 | ||
| eGFR_Cr, mL/min/1.73 m2 | 1.00 (0.99–1.01) | 0.94 | ||
| eGFR_CysC, mL/min/1.73 m2 | 1.00 (0.99–1.02) | 0.47 | ||
| prevalent fragility fracture | 3.93 (2.45–6.30) | <0.001 | 3.86 (2.32–6.40) | <0.001 |
| Index | Mean Value (S.D.) | R | Coefficients (95%CI) | p-Value |
|---|---|---|---|---|
| BMI | 22.3 (3.7) | 6.7 × 10−2 | 0.01 (−0.56–0.58) | 0.98 |
| PNI | 48.5 (4.7) | 0.19 | 1.13 (0.71–1.55) | <0.001 |
| GNRI | 101.7 (10.8) | 0.15 | 0.42 (0.22–0.62) | <0.001 |
| CONUT | 1.4 (1.3) | 1.2 × 10−3 | −1.27 (−2.67–0.13) | 0.08 |
| ALB | 4.1 (0.3) | 0.23 | 18.6 (12.7–24.5) | <0.001 |
| Variables | 1 | 2 | 3 | 4 | 5 | 6 | 7 | 8 | 9 | 10 |
|---|---|---|---|---|---|---|---|---|---|---|
| R | 0.358 | 0.429 | 0.445 | 0.46 | 0.471 | 0.478 | 0.483 | 0.487 | 0.49 | 0.493 |
| age | <0.05 | <0.05 | <0.05 | <0.05 | ||||||
| T-score in the LS | <0.001 | <0.001 | <0.001 | <0.001 | <0.001 | <0.001 | <0.001 | |||
| T-score in the FN | ||||||||||
| T-score in the TH | <0.001 | <0.001 | <0.001 | <0.001 | <0.001 | |||||
| minimum T-score | <0.001 | <0.001 | <0.001 | <0.001 | <0.001 | |||||
| ALB | ||||||||||
| CRP | ||||||||||
| WBC | <0.01 | <0.05 | <0.05 | <0.01 | <0.05 | |||||
| Lymphocyte | <0.001 | <0.001 | <0.001 | <0.001 | <0.001 | <0.001 | <0.001 | <0.001 | <0.001 | |
| Hgb | <0.001 | <0.001 | <0.001 | <0.001 | <0.001 | <0.001 | <0.001 | |||
| T-chol | ||||||||||
| Cr | <0.001 | <0.001 | <0.001 | <0.001 | <0.001 | <0.001 | <0.001 | |||
| CysC | ||||||||||
| Calcium | ||||||||||
| IP | <0.05 | <0.05 | <0.05 | <0.05 | ||||||
| ALP | <0.05 | |||||||||
| PTH | ||||||||||
| TRACP-5b | <0.05 | |||||||||
| P1NP | ||||||||||
| presence of HF | 0.05 | |||||||||
| Variables | 11 | 12 | 13 | 14 | 15 | 16 | 17 | 18 | 19 | 20 |
| R | 0.497 | 0.499 | 0.502 | 0.503 | 0.504 | 0.504 | 0.505 | 0.506 | 0.506 | 0.506 |
| age | <0.05 | <0.05 | <0.05 | <0.05 | 0.1 | 0.1 | 0.1 | 0.09 | 0.09 | 0.09 |
| T-score in the LS | <0.001 | <0.001 | <0.001 | <0.001 | <0.01 | <0.01 | <0.01 | <0.01 | <0.01 | <0.01 |
| T-score in the FN | 0.11 | 0.05 | <0.05 | <0.05 | <0.05 | <0.05 | <0.05 | <0.05 | <0.05 | |
| T-score in the TH | <0.001 | <0.001 | <0.01 | <0.01 | <0.01 | <0.01 | <0.01 | <0.01 | <0.01 | <0.01 |
| minimum T-score | 0.07 | 0.08 | 0.06 | 0.06 | 0.06 | 0.06 | 0.06 | 0.06 | ||
| ALB | 0.42 | 0.47 | 0.5 | |||||||
| CRP | 0.4 | 0.36 | 0.36 | 0.37 | ||||||
| WBC | <0.05 | <0.01 | <0.01 | <0.01 | <0.01 | <0.01 | <0.01 | <0.01 | <0.01 | <0.01 |
| Lymphocyte | <0.001 | <0.001 | <0.001 | <0.001 | <0.001 | <0.001 | <0.001 | <0.001 | <0.001 | <0.001 |
| Hgb | <0.001 | <0.001 | <0.001 | <0.001 | <0.001 | <0.001 | <0.001 | <0.001 | <0.001 | <0.001 |
| T-chol | 0.9 | |||||||||
| Cr | <0.001 | <0.001 | <0.001 | <0.001 | 0.08 | 0.18 | 0.17 | 0.2 | 0.19 | 0.19 |
| CysC | 0.26 | 0.24 | 0.25 | 0.23 | 0.28 | 0.29 | ||||
| Calcium | 0.65 | 0.66 | ||||||||
| IP | <0.01 | <0.01 | <0.05 | <0.05 | <0.05 | <0.05 | <0.05 | <0.05 | <0.05 | <0.05 |
| ALP | <0.05 | <0.05 | <0.05 | <0.05 | <0.05 | <0.05 | <0.01 | <0.05 | <0.05 | <0.05 |
| PTH | 0.27 | 0.24 | 0.23 | 0.22 | 0.24 | 0.22 | 0.22 | |||
| TRACP-5b | <0.05 | <0.05 | <0.05 | <0.05 | <0.05 | 0.3 | 0.29 | 0.3 | 0.31 | 0.31 |
| P1NP | 0.36 | 0.36 | 0.32 | 0.31 | 0.31 | |||||
| presence of HF | <0.05 | <0.05 | 0.05 | <0.05 | <0.05 | <0.05 | <0.05 | <0.05 | <0.05 | <0.05 |
Disclaimer/Publisher’s Note: The statements, opinions and data contained in all publications are solely those of the individual author(s) and contributor(s) and not of MDPI and/or the editor(s). MDPI and/or the editor(s) disclaim responsibility for any injury to people or property resulting from any ideas, methods, instructions or products referred to in the content. |
© 2025 by the authors. Licensee MDPI, Basel, Switzerland. This article is an open access article distributed under the terms and conditions of the Creative Commons Attribution (CC BY) license (https://creativecommons.org/licenses/by/4.0/).
Share and Cite
Yoshii, I.; Sawada, N.; Chijiwa, T. Associations of Dietary Indices with Hip Fracture in Postmenopausal Women and Subsequent Major Osteoporotic Fracture in the Japanese Clinical Setting. Osteology 2025, 5, 32. https://doi.org/10.3390/osteology5040032
Yoshii I, Sawada N, Chijiwa T. Associations of Dietary Indices with Hip Fracture in Postmenopausal Women and Subsequent Major Osteoporotic Fracture in the Japanese Clinical Setting. Osteology. 2025; 5(4):32. https://doi.org/10.3390/osteology5040032
Chicago/Turabian StyleYoshii, Ichiro, Naoya Sawada, and Tatsumi Chijiwa. 2025. "Associations of Dietary Indices with Hip Fracture in Postmenopausal Women and Subsequent Major Osteoporotic Fracture in the Japanese Clinical Setting" Osteology 5, no. 4: 32. https://doi.org/10.3390/osteology5040032
APA StyleYoshii, I., Sawada, N., & Chijiwa, T. (2025). Associations of Dietary Indices with Hip Fracture in Postmenopausal Women and Subsequent Major Osteoporotic Fracture in the Japanese Clinical Setting. Osteology, 5(4), 32. https://doi.org/10.3390/osteology5040032

