Multi-Objective Optimization of Rigid Pavement Concrete Using Industrial By-Products and Polypropylene Fibers
Abstract
1. Introduction
- -
- The development of statistically adequate ES models from a designed three-factor experiment to quantify the impact of FA, SP, and PF content;
- -
- The application of response surfaces to investigate the individual and interactive effects on target strength and durability properties;
- -
- Graphical determination of optimal concrete compositions within the three-dimensional factor space using superimposed contour plots and graphical optimization techniques;
- -
- Numerical prediction of the performance characteristics for the selected optimal concrete compositions.
2. Materials and Methods
- -
- Pre-wetting of RA to a saturated surface-dry (SSD) state is essential to prevent the absorption of free water from the cement matrix. In this procedure, the pre-wetting water was first added to the RA and mixed for 2 min, followed by a 5 min rest period to allow for complete absorption. Due to the high water absorption of RA (6.21%), the absence of pre-wetting would reduce the effective W/C ratio, compromising workability and mixture design accuracy, while also inducing shrinkage and microcracking from moisture gradients, ultimately impairing concrete strength and durability.
- -
- Addition of cement, FA, and sand to the pre-conditioned RA, followed by homogenization for 2 min.
- -
- Introduction of PF in 2–3 portions to prevent agglomeration and ensure uniform distribution, followed by mixing for 1–2 min.
- -
- Incorporation of mixing water and superplasticizer, with final mixing until a homogeneous mixture is achieved.
3. Results
3.1. Influence of Composition Variables on Concrete Performance
3.1.1. Compressive and Flexural Strength and AR
3.1.2. Splitting Tensile Strength
3.1.3. Frost Resistance (FR)
3.1.4. Water Absorption (WA)
4. Discussion
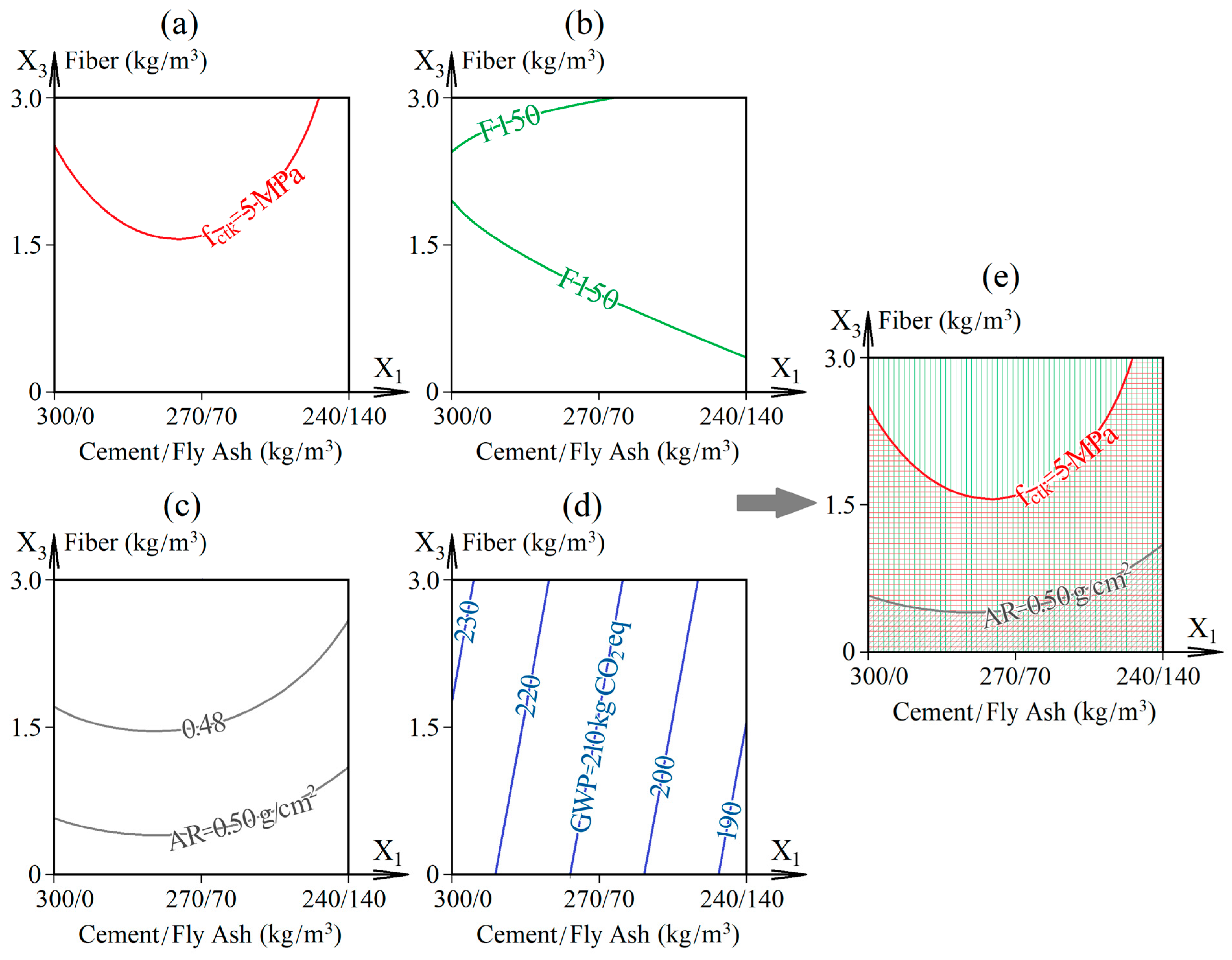
5. Optimization of Concrete Mixture Design for Rigid Pavements
- -
- Compressive strength fcm ≥ 40 MPa (class C25/30);
- -
- Flexural strength fctk ≥ 5 MPa (class Bbtb4.0);
- -
- FR not lower than F200 (cycles);
- -
- AR ≤ 0.5 g/cm2 (class G3).
Optimization of Concrete Composition Based on Splitting Tensile Strength
6. Conclusions
- -
- Splitting tensile strength remains unchanged when replacing up to 11–13% of cement (33–36 kg/m3) with 77–84 kg/m3 of fly ash. Moreover, at a 7–10% cement replacement level, the splitting tensile strength is 0.1 MPa higher compared to the reference concrete composition produced with Portland cement only.
- -
- The effect of partial cement substitution with fly ash on frost resistance is marginal for fiber-reinforced concrete but substantial for plain concrete, improving its frost resistance by roughly 50 cycles.
- -
- The incorporation of polypropylene fiber reinforcement at a dosage of 2.4–3 kg/m3 enhances the splitting tensile strength of concrete with recycled aggregates by 14–16% and increases its frost resistance by approximately 50 cycles.
- -
- For optimal strength and frost resistance, the recommended dosage of the superplasticizer is 4–4.6 kg/m3.
Author Contributions
Funding
Data Availability Statement
Conflicts of Interest
References
- Peng, Y.; Cai, S.; Huang, Y.; Chen, X.-F. Recycled Aggregates for Sustainable Construction: Strengthening Strategies and Emerging Frontiers. Materials 2025, 18, 3013. [Google Scholar] [CrossRef] [PubMed]
- Troian, V.; Gots, V.; Keita, E.; Roussel, N.; Angst, U.; Flatt, R.J. Challenges in Material Recycling for Postwar Reconstruction. RILEM Tech. Lett. 2022, 7, 139–149. [Google Scholar] [CrossRef]
- Chystiakov, A.; Kroviakov, S.; Bershadskyi, A.; Medveď, I.; Slaný, M. Sustainable Effect of Using Recycled Aggregates for Road Concrete Production. Smart Innov. Syst. Technol. 2026, 113, 177–188. [Google Scholar] [CrossRef]
- Skocek, J.; Ouzia, A.; Vargas Serrano, E.; Pato, N. Recycled Sand and Aggregates for Structural Concrete: Toward the Industrial Production of High-Quality Recycled Materials with Low Water Absorption. Sustainability 2024, 16, 814. [Google Scholar] [CrossRef]
- Kryzhanovskyi, V.; Orlowsky, J. Sustainable Alkali-Activated Self Compacting Concrete for Precast Textile-Reinforced Concrete: Experimental–Statistical Modeling Approach. Materials 2024, 17, 6280. [Google Scholar] [CrossRef]
- Bhardwaj, A.; Rankavat, S. Treatment of Recycled Coarse Aggregate Using Hybrid Technique for Rigid Pavements Incorporating Fly Ash. Lect. Notes Civ. Eng. 2025, 621, 59–74. [Google Scholar] [CrossRef]
- Dvorkin, L.; Dvorkin, O.; Ribakov, Y. Construction Materials Based on Industrial Waste Products; Nova Publisher: New York, NY, USA, 2015; Volume 252. [Google Scholar]
- Sanytsky, M.A.; Rusyn, B.G.; Kropyvnytskyi, T.S.; Trefler, R.Y. Low-carbon nanomodified rapid-hardening high-performance concretes. Mater. Sci. 2025, 61, 23–27. [Google Scholar] [CrossRef]
- Kamplimath, H.; Dave, U. Mechanical Properties and Life Cycle Assessment of Sustainable Concrete Pavement Utilizing High Volume Fly Ash and Manufactured Sand. J. Struct. Des. Constr. Pract. 2026, 31, 04025122. [Google Scholar] [CrossRef]
- Mashaan, N.S.; Kibutu, S.; Dassanayake, C.; Ghodrati, A. Sustainable Utilisation of Mining Waste in Road Construction: A Review. J. Exp. Theor. Anal. 2025, 3, 19. [Google Scholar] [CrossRef]
- Tahir, M.F.M.; Abdullah, M.M.A.B.; Rahim, S.Z.A.; Mohd Hasan, M.R.; Sandu, A.V.; Vizureanu, P.; Ghazali, C.M.R.; Kadir, A.A. Mechanical and Durability Analysis of Fly Ash Based Geopolymer with Various Compositions for Rigid Pavement Applications. Materials 2022, 15, 3458. [Google Scholar] [CrossRef]
- Suryani, F.M.; Rizal, S.; Abdullah, A.; Isya, M. Fly Ash Substitution in Lightweight Concrete for Rigid Pavement Construction on Low-Bearing-Capacity Soil. Sustainability 2023, 15, 15239. [Google Scholar] [CrossRef]
- Sanytsky, M.; Kropyvnytska, T.; Ivashchyshyn, H. Sustainable modified pozzolanic supplementary cementitious materials based on natural zeolite, fly ash and silica fume. IOP Conf. Ser. Earth Environ. Sci. 2023, 1254, 012004. [Google Scholar] [CrossRef]
- Wang, L.; Zhang, H.; Zhao, B.; Wang, B.; Zhao, Q.; Sun, M. Experimental Investigation on Physical Properties of Concrete Containing Polypropylene Fiber and Water-Borne Epoxy for Pavement. Coatings 2023, 13, 452. [Google Scholar] [CrossRef]
- Kos, Z.; Kroviakov, S.; Kryzhanovskyi, V.; Crnoja, A. Influence of Fibres and Hardening Accelerator on Concrete for Rigid Pavements. Mag. Concr. Res. 2023, 75, 865–873. [Google Scholar] [CrossRef]
- Chan, R.; Santana, M.A.; Oda, A.M.; Paniguel, R.C.; Vieira, L.B.; Figueiredo, A.D.; Galobardes, I. Analysis of Potential Use of Fibre Reinforced Recycled Aggregate Concrete for Sustainable Pavements. J. Clean. Prod. 2019, 218, 183–191. [Google Scholar] [CrossRef]
- Hoy, M.; Ro, B.; Horpibulsuk, S.; Suddeepong, A.; Buritatum, A.; Arulrajah, A.; Yaowarat, T.; Chinkulkijniwat, A.; Horpibulsuk, J. Flexural Fatigue Performance of Hemp Fiber–Reinforced Concrete Using Recycled Concrete Aggregates as a Sustainable Rigid Pavement. J. Mater. Civ. Eng. 2024, 36, 04024378. [Google Scholar] [CrossRef]
- Nguyen, T.N.; Le, T.A.; Vo, H.V. The Enhancement of Recycled Aggregate Concrete by Steel Fiber Reinforcement for Rigid Pavement. Lect. Notes Civ. Eng. 2023, 268, 547–554. [Google Scholar] [CrossRef]
- Tan, Y.; Long, J.; Xiong, W.; Chen, X.; Zhao, B. Effects of Polypropylene Fibers on the Frost Resistance of Natural Sand Concrete and Machine-Made Sand Concrete. Polymers 2022, 14, 4054. [Google Scholar] [CrossRef]
- Yang, X.; Zhang, Z.; Tai, H.-W.; Li, B.; Li, J.; Zhang, W.; Su, T.; Liu, J. Frost Resistance and Life Prediction of Waste Polypropylene Fibre-Reinforced Recycled Aggregate Concrete. Coatings 2025, 15, 1070. [Google Scholar] [CrossRef]
- Jeff Wu, C.F.; Hamada, M.S. Experiments: Planning, Analysis, and Optimization, 3rd ed.; Wiley & Sons: Hoboken, NJ, USA, 2021; p. 736. [Google Scholar]
- Dvorkin, L.; Dvorkin, O.; Ribakov, Y. Multi-Parametric Concrete Compositions Design; Nova Science Publishers, Inc.: New York, NY, USA, 2013; p. 223. [Google Scholar]
- Lyashenko, T.V.; Voznesensky, V.A. Composition-Process Fields Methodology in Computational Building Materials Science; Astroprint: Odessa, Ukraine, 2017; p. 168. [Google Scholar]
- Li, Z.; Lum, D.; Gao, X. Optimization of mixture proportions by statistical experimental design using response surface method—A review. J. Build. Eng. 2021, 36, 102101. [Google Scholar] [CrossRef]
- Netesa, M.I.; Krasnyuk, A.V.; Netesa, A.M.; Nikiforova, N.A. Optimization of Concrete Compositions with Secondary Industrial Products. Bridges Tunn. Theory Res. Pract. 2021, 19, 51–61. [Google Scholar] [CrossRef]
- Kos, Z.; Klymenko, Y.; Karpiuk, I.; Grynyova, I. Bearing Capacity near Support Areas of Continuous Reinforced Concrete Beams and High Grillages. Appl. Sci. 2022, 12, 685. [Google Scholar] [CrossRef]
- Lyashenko, T.; Voznesensky, V.; Boko, S.; Shtakelberg, D. Analysis of Concrete Property Fields and Search for the Best Compositions using Monte Carlo Method. In Brittle Matrix Composites 7; Woodhead Publishing: Cambridge, UK, 2003; pp. 351–358. [Google Scholar] [CrossRef]
- Moskalova, K.; Lyashenko, T.; Aniskin, A.; Orešković, M. Modelling the Influence of Composition on the Properties of Lightweight Plaster Mortar and Multicriteria Optimisation. Materials 2023, 16, 2846. [Google Scholar] [CrossRef]
- Lyashenko, T. Composition-process fields methodology for design of composites structure and properties. In Brittle Matrix Composites 11; Institute of Fundamental Technological Research; Polish Academy of Sciences: Warsaw, Poland, 2015; pp. 289–298. Available online: https://www.researchgate.net/profile/V-Feldgun/publication/283292537_A_new_equation_of_state_for_cementitious_materials_-_a_multiscale_approach/links/565184cc08aefe619b161800/A-new-equation-of-state-for-cementitious-materials-a-multiscale-approach.pdf (accessed on 13 January 2026).
- ASTM C 618-22; Standard Specifiation for Coal Fly Ash and Raw or Calcined Natural Pozzolan for Use in Concrete. ASTM International: West Conshohocken, PA, USA, 2022.
- Kryzhanovskyi, V.; Kroviakov, S.; Shymchenko, P.; Aksyonova, I. Design of Recycled Aggregate Fiber-Reinforced Concrete for Road and Airfield Applications Using Polypropylene Fibers and Fly Ash. Constr. Mater. 2026, 6, 2. [Google Scholar] [CrossRef]
- DIN EN 12390-3:2019; Testing Hardened Concrete. Compressive Strength of Test Specimens. Deutsches Institut für Normung: Berlin, Germany, 2019.
- DIN EN 12390-5:2019; Testing Hardened Concrete. Flexural Strength of Test Specimens. Deutsches Institut für Normung: Berlin, Germany, 2019.
- DIN EN 12390-6:2024; Testing Hardened Concrete. Tensile Splitting Strength of Test Speciments. Deutsches Institut für Normung: Berlin, Germany, 2024.
- DSTU B V.2.7-212:2009; Building Materials. Concrete. Methods for Determining Abrasion Resistance. State Scientific Research Institute of Building Structures (NIISK): Kyiv, Ukraine, 2009. Available online: http://online.budstandart.com/ru/catalog/doc-page?id_doc=25953 (accessed on 14 January 2026).
- DSTU B V.2.7-49-96; Building Materials. Concretes. Accelerated Methods of Determining Frost Resistance During Repeated Freezing and Thawing. State Scientific Research Institute of Building Structures (NIISK): Kyiv, Ukraine, 1996. Available online: http://online.budstandart.com/ua/catalog/doc-page?id_doc=4950 (accessed on 14 January 2026).
- DSTU B V.2.7-170:2008; Building Materials. Concretes. Methods for Determining Average Density, Humidity, Water Absorption, Porosity and Water Resistance. State Scientific Research Institute of Building Structures (NIISK): Kyiv, Ukraine, 2008. Available online: https://online.budstandart.com/ua/catalog/doc-page?id_doc=24882 (accessed on 14 January 2026).
- ÖKOBAUDAT. German National Database for Life Cycle Assessment in the Construction Sector. Federal Ministry for Housing, Urban Development and Building (BMWSB). Available online: https://www.oekobaudat.de (accessed on 14 January 2026).
- Umweltbundesamt. The German Environment Agency. Available online: https://www.umweltbundesamt.de (accessed on 14 January 2026).
- ISO 14040:2006; Environmental Management-Life Cycle Assessment—Principles and Framework. International Organization for Standardization: Geneva, Switzerland, 2006.
- ISO 14044:2006; Environmental Management-Life Cycle Assessment—Requirements and Guidelines. 1st ed. International Organization for Standardization: Geneva, Switzerland, 2006.
- DIN EN 15804:2022; Sustainability of Construction Works—Environmental Product Declarations—Core Rules for the Product Category of Construction Products. Deutsches Institut für Normung: Berlin, Germany, 2022.
- DIN EN 16757:2023; Sustainability of Construction Works—Environmental Product Declarations—Product Category Rules for Concrete and Concrete Elements. Deutsches Institut für Normung: Berlin, Germany, 2022.
- Ndruru, H.; Simanjuntak, R.M.; Tampubolon, S.P. Utilization of Copper Fiber Waste to Increase Compressive Strength and Split Tensile Strength of Rigid Pavement. IOP Conf. Ser. Earth Environ. Sci. 2021, 878, 012052. [Google Scholar] [CrossRef]
- DSTU 8858:2019; Road Cement Concrete Mixtures and Road Cement Concrete. Technical specifications. Kharkiv National Automobile and Highway University: Kharkiv, Ukraine, 2019. Available online: https://online.budstandart.com/ua/catalog/doc-page.html?id_doc=82987 (accessed on 17 January 2026).
- Volchuk, V.M.; Kotov, M.A.; Plakhtii, Y.G.; Tymoshenko, O.A.; Zinkevych, O.H. Investigation of the influence of the heterogeneous structure of concrete on its strength. Results Mater. 2025, 25, 100659. [Google Scholar] [CrossRef]
- Xu, O.; Han, S.; Liu, Y.; Li, C. Experimental investigation surface abrasion resistance and surface frost resistance of concrete pavement incorporating fly ash and slag. Int. J. Pavement Eng. 2021, 22, 1858–1866. [Google Scholar] [CrossRef]
- Kroviakov, S.; Volchuk, V.; Zavoloka, M.; Kryzhanovskyi, V. Search for ranking approaches of expanded clay concrete quality criteria. Mater. Sci. Forum 2019, 968, 20–25. [Google Scholar] [CrossRef]
- Ahmad, Z.; Qureshi, M.I.; Ahmad, F.; El Ouni, M.H.; Asghar, M.Z.; Ghazouani, N. Effect of macro synthetic fiber (MSF) on the behavior of conventional concrete and the concrete containing e-waste aggregates. Mater. Struct. 2025, 58, 234. [Google Scholar] [CrossRef]
- Ahmad, F.; Jamal, A.; Iqbal, M.; Alqurashi, M.; Almoshaogeh, M.; Al Ahmadi, H.M.; Hussein, E.E. Performance Evaluation of Cementitious Composites Incorporating Nano Graphite Platelets as Additive Carbon Material. Materials 2022, 15, 290. [Google Scholar] [CrossRef]
- DBN V.2.3-4:2015; Highways. Part I. Design. Part II. Construction. National Institute for Infrastructure Development: Kyiv, Ukraine, 2015. Available online: https://online.budstandart.com/ua/catalog/doc-page.html?id_doc=62131 (accessed on 17 January 2026).











| Point No | Factor Levels | Concrete Composition (kg/m3) | |||||||||
|---|---|---|---|---|---|---|---|---|---|---|---|
| X1, FA | X2, SP | X3, PF | Cement | FA | RA | Sand | SP | PF | Water SSD | Water | |
| 1 | −1 | −1 | −1 | 300 | 0 | 1095 | 780 | 3 | 0 | 58 | 133 |
| 2 | −1 | −1 | 1 | 300 | 0 | 1095 | 776 | 3 | 3 | 58 | 138 |
| 3 | −1 | 0 | 0 | 300 | 0 | 1095 | 781 | 3.9 | 1.5 | 58 | 134 |
| 4 | −1 | 1 | −1 | 300 | 0 | 1095 | 789 | 4.8 | 0 | 58 | 132 |
| 5 | −1 | 1 | 1 | 300 | 0 | 1095 | 787 | 4.8 | 3 | 58 | 128 |
| 6 | 0 | −1 | 0 | 270 | 70 | 1090 | 750 | 3 | 1.5 | 57.5 | 138 |
| 7 | 0 | 0 | −1 | 270 | 70 | 1090 | 755 | 3.9 | 0 | 57.5 | 128 |
| 8 | 0 | 0 | 0 | 270 | 70 | 1090 | 753 | 3.9 | 1.5 | 57.5 | 131 |
| 9 | 0 | 0 | 1 | 270 | 70 | 1090 | 749 | 3.9 | 3 | 57.5 | 133 |
| 10 | 0 | 1 | 0 | 270 | 70 | 1090 | 757 | 4.8 | 1.5 | 57.5 | 125 |
| 11 | 1 | −1 | −1 | 240 | 140 | 1080 | 719 | 3 | 0 | 57 | 134 |
| 12 | 1 | −1 | 1 | 240 | 140 | 1080 | 715 | 3 | 3 | 57 | 140 |
| 13 | 1 | 0 | 0 | 240 | 140 | 1080 | 723 | 3.9 | 1.5 | 57 | 136 |
| 14 | 1 | 1 | −1 | 240 | 140 | 1080 | 726 | 4.8 | 0 | 57 | 128 |
| 15 | 1 | 1 | 1 | 240 | 140 | 1080 | 722 | 4.8 | 3 | 57 | 129 |
| Point No | Compressive Strength, fcm | Flexural Strength, fctk | Splitting Tensile Strength, fctn (MPa) | AR | FR, (Cycles) | WA | GWP, (kg CO2 eq) | |||||
|---|---|---|---|---|---|---|---|---|---|---|---|---|
| Average (MPa) | CoV | Average (MPa) | CoV | Average (MPa) | CoV | Average (g/cm2) | CoV | Average (%) | CoV | |||
| 1 | 52.52 | 2.4 | 4.62 | 3.2 | 3.61 | 2.0 | 0.514 | 0.8 | F100 | 5.82 | 1.4 | 225.88 |
| 2 | 50.94 | 2.7 | 4.97 | 2.8 | 4.36 | 1.7 | 0.465 | 2.6 | F150 | 6.32 | 2.7 | 232.98 |
| 3 | 49.18 | 3.3 | 5.04 | 2.0 | 4.20 | 2.6 | 0.469 | 2.5 | F200 | 5.51 | 2.0 | 229.90 |
| 4 | 55.99 | 3.1 | 4.73 | 3.4 | 3.68 | 1.9 | 0.492 | 3.6 | F150 | 5.35 | 0.9 | 226.83 |
| 5 | 52.82 | 2.0 | 5.06 | 2.4 | 4.41 | 1.4 | 0.461 | 3.9 | F200 | 5.41 | 1.3 | 233.93 |
| 6 | 49.15 | 1.7 | 4.88 | 2.7 | 4.11 | 0.9 | 0.485 | 1.8 | F150 | 5.91 | 1.8 | 209.73 |
| 7 | 52.13 | 3.1 | 4.75 | 1.2 | 3.90 | 2.3 | 0.505 | 2.0 | F150 | 5.24 | 1.2 | 206.65 |
| 8 | 55.42 | 2.5 | 5.13 | 2.2 | 4.38 | 1.1 | 0.468 | 2.9 | F200 | 5.51 | 2.2 | 210.20 |
| 9 | 56.16 | 2.9 | 5.29 | 1.9 | 4.39 | 2.2 | 0.452 | 3.3 | F200 | 5.78 | 2.7 | 213.74 |
| 10 | 55.82 | 1.8 | 5.17 | 3.0 | 4.34 | 2.7 | 0.466 | 1.4 | F200 | 5.68 | 1.9 | 210.67 |
| 11 | 41.87 | 3.2 | 4.53 | 3.5 | 3.39 | 2.1 | 0.515 | 2.8 | F150 | 6.05 | 2.8 | 186.38 |
| 12 | 44.45 | 2.6 | 5.01 | 1.6 | 3.95 | 2.9 | 0.479 | 3.4 | F150 | 6.19 | 1.7 | 193.48 |
| 13 | 44.06 | 1.9 | 4.79 | 2.8 | 3.88 | 2.0 | 0.490 | 2.2 | F200 | 5.98 | 2.4 | 190.41 |
| 14 | 42.21 | 2.1 | 4.66 | 2.5 | 3.66 | 3.1 | 0.509 | 1.9 | F150 | 5.35 | 3.0 | 187.33 |
| 15 | 47.84 | 3.0 | 4.87 | 3.3 | 4.03 | 1.8 | 0.477 | 2.5 | F200 | 5.49 | 2.6 | 194.43 |
| Property (Y) | b0 | b1 | b2 | b3 | b11 | b22 | b33 | b12 | b13 | b23 |
|---|---|---|---|---|---|---|---|---|---|---|
| fcm | 53.17 | −4.10 | 1.58 | 0.75 | −6.11 | 0 | 1.41 | 0 | 1.62 | 0 |
| fctk | 5.092 | −0.056 | 0.048 | 0.191 | −0.168 | −0.058 | −0.063 | 0 | 0 | −0.036 |
| fctn | 4.296 | −0.135 | 0.070 | 0.290 | −0.235 | −0.050 | −0.130 | 0.029 | −0.069 | −0.026 |
| AR | 0.471 | 0.007 | −0.005 | −0.020 | 0.008 | 0.004 | 0.007 | 0.002 | 0 | 0.003 |
| FR | 198.6 | 5.0 | 20.0 | 20.0 | 0 | −21.4 | −21.4 | −6.3 | −6.3 | 6.3 |
| WA | 5.610 | 0.065 | −0.301 | 0.138 | 0.109 | 0.159 | −0.126 | 0 | 0 | 0 |
| GWP | 210.20 | −19.75 | 0.47 | 3.55 | −0.04 | 0 | 0 | 0 | 0 | 0 |
| No of Mixture | Mixture Coordinates in Factor Space | Mixture Composition | Predicted Concrete Properties |
|---|---|---|---|
| 1 | x1 = 0.960 x2 = 0.111 x3 = 0.933 | Cement 241 kg/m3 FA 137.5 kg/m3 RA 1080 kg/m3 Sand 722 kg/m3 PF 2.90 kg/m3 SP 4 kg/m3 Water 134 L/m3 | Compressive strength 47.2 MPa Flexural strength 5 MPa FR F200 (cycles) AR 0.473 g/cm2 GWP 194.6 kg CO2 eq |
| 2 | x1 = 0.960 x2 = 0.333 x3 = 1 | Cement 241 kg/m3 FA 137.5 kg/m3 RA 1080 kg/m3 Sand 723 kg/m3 PF 3 kg/m3 SP 4.2 kg/m3 Water 133 L/m3 | Compressive strength 47.8 MPa Flexural strength 5 MPa FR F200 (cycles) AR 0.473 g/cm2 GWP 194.9 kg CO2 eq |
| No of Mixture | Mixture Coordinates in Factor Space | Mixture Composition | Predicted Concrete Properties |
|---|---|---|---|
| 3 | x1 = −0.07 x2 = 0.333 x3 = 1 | Cement 272 kg/m3 FA 65.5 kg/m3 RA 1090 kg/m3 Sand 751 kg/m3 PF 3 kg/m3 SP 4.2 kg/m3 Water 131 L/m3 | Compressive strength 55.9 MPa Flexural strength 5.2 MPa Splitting tensile strength 4.5 MPa FR F200 (cycles) AR 0.458 g/cm2 GWP 215.3 kg CO2 eq |
Disclaimer/Publisher’s Note: The statements, opinions and data contained in all publications are solely those of the individual author(s) and contributor(s) and not of MDPI and/or the editor(s). MDPI and/or the editor(s) disclaim responsibility for any injury to people or property resulting from any ideas, methods, instructions or products referred to in the content. |
© 2026 by the authors. Licensee MDPI, Basel, Switzerland. This article is an open access article distributed under the terms and conditions of the Creative Commons Attribution (CC BY) license.
Share and Cite
Kroviakov, S.; Kryzhanovskyi, V.; Shymchenko, P.; Aksyonova, I. Multi-Objective Optimization of Rigid Pavement Concrete Using Industrial By-Products and Polypropylene Fibers. Modelling 2026, 7, 52. https://doi.org/10.3390/modelling7020052
Kroviakov S, Kryzhanovskyi V, Shymchenko P, Aksyonova I. Multi-Objective Optimization of Rigid Pavement Concrete Using Industrial By-Products and Polypropylene Fibers. Modelling. 2026; 7(2):52. https://doi.org/10.3390/modelling7020052
Chicago/Turabian StyleKroviakov, Sergii, Vitalii Kryzhanovskyi, Pavlo Shymchenko, and Inna Aksyonova. 2026. "Multi-Objective Optimization of Rigid Pavement Concrete Using Industrial By-Products and Polypropylene Fibers" Modelling 7, no. 2: 52. https://doi.org/10.3390/modelling7020052
APA StyleKroviakov, S., Kryzhanovskyi, V., Shymchenko, P., & Aksyonova, I. (2026). Multi-Objective Optimization of Rigid Pavement Concrete Using Industrial By-Products and Polypropylene Fibers. Modelling, 7(2), 52. https://doi.org/10.3390/modelling7020052

