Precise Evaluation of Repetitive Transient Overvoltages in Motor Windings in Wide-Bandgap Drive Systems
Abstract
:1. Introduction
2. Overvoltage Phenomenon in WBG Drive Systems
2.1. Wide-Bandgap Devices in Power Electronics Converters
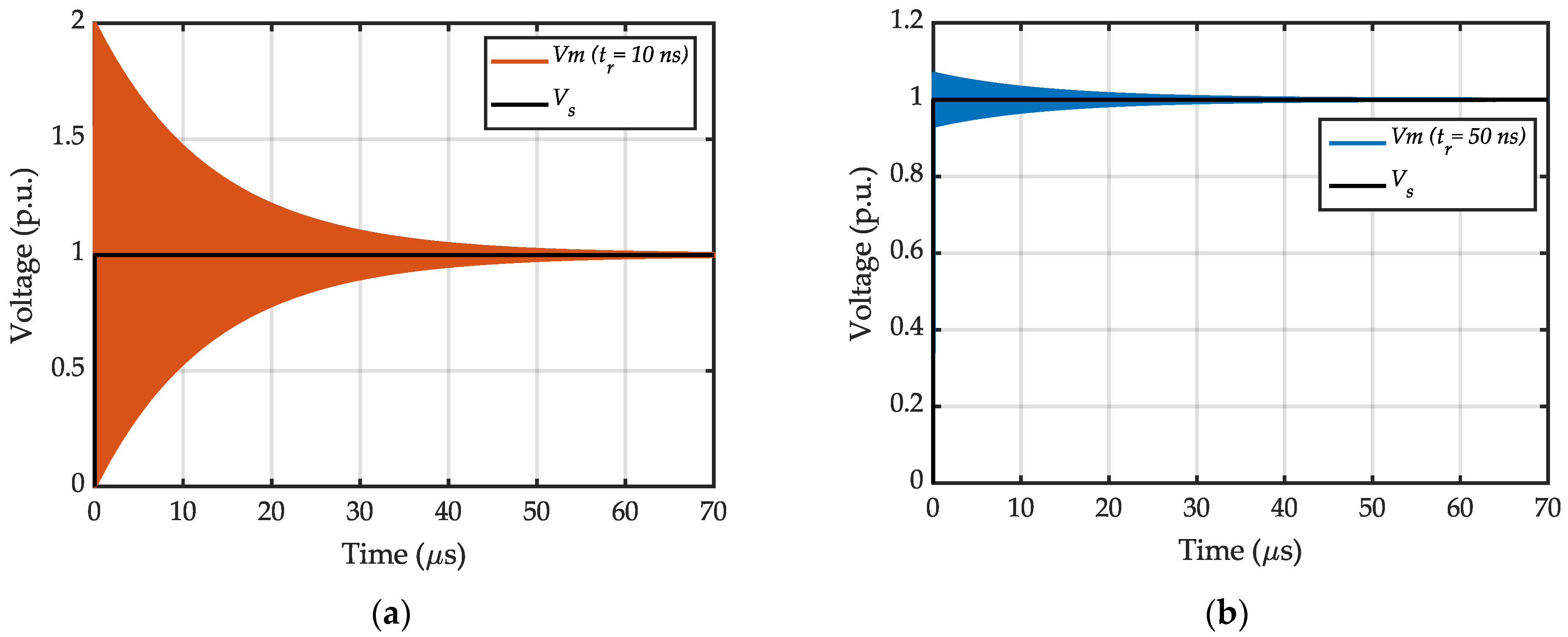
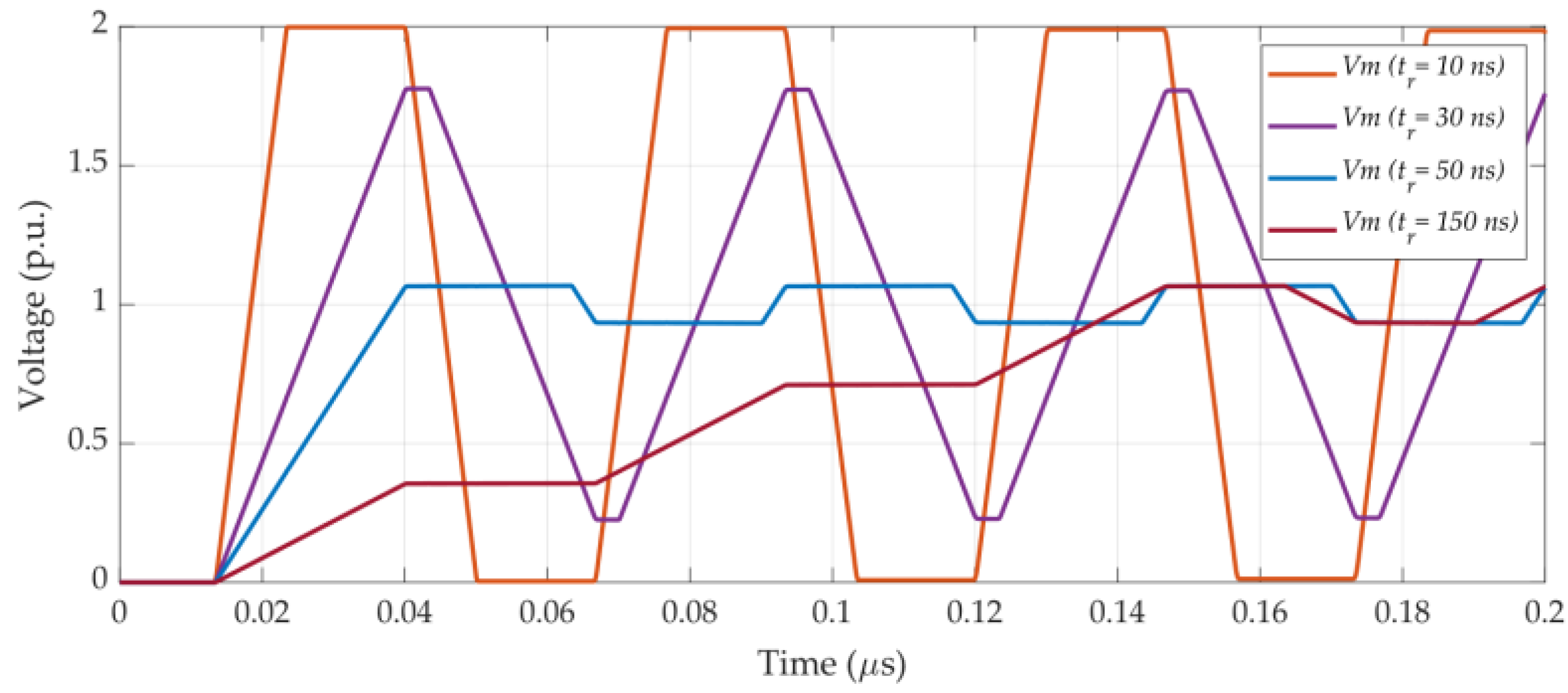
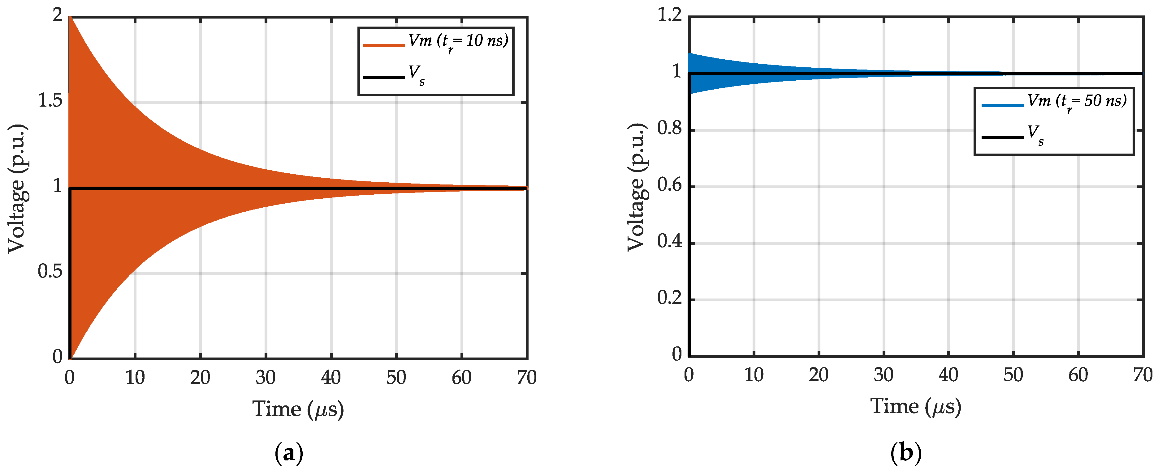
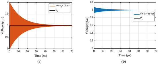
2.2. Overvoltage Phenomenon at Motor Terminals
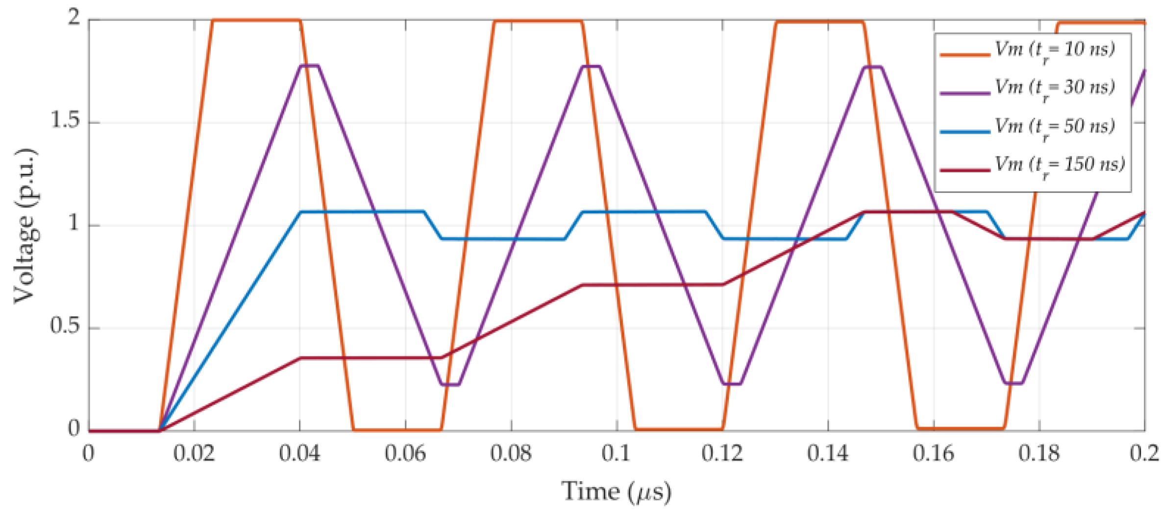
- = 1 p.u. to represent the voltage at inverter terminals.
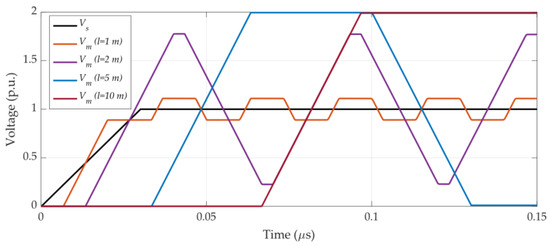
- ≈ 2 and ≈ 1 to represent the worst case; this happens when the surge impedance of the motor is much higher than that of the cable (). = 5000 is assumed in this section. Note that the ratio of 5000 is not necessarily a realistic assumption, and the exact value depends on the motor and the employed cable. In this section, the number is selected to show the maximum possible transient overvoltage and the doubled voltage effect at motor terminals.
- = (1/2) × 3× 108 m/s (half of the speed light), which is a good approximation of the pulse propagation velocity in the cable. For example, if the realistic relative permeability of the cable is assumed to be = 1 and the realistic relative permittivity is assumed to be = 4.5 [31], the wave propagation velocity is calculated as:
2.3. Overvoltage Mitigation Methods
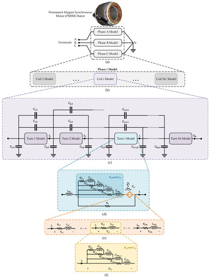
3. Multiconductor Transmission Line Model of Motor Windings
4. Step-by-Step Procedure to Implement the MCTL Model of Stator Windings
- Turn-to-core capacitances (to compute the capacitive coupling between turns and the core [ground]);
- Turn-to-turn capacitances (to compute the capacitive coupling between turns with one another);
- Self-resistance and -inductance of turns (to compute the frequency-dependent self-resistances and -inductances);
- Mutual resistances and inductances between a turn and all other turns (to compute the frequency-dependent mutual resistances and inductances between turns with one another).
4.1. FEM Model Simulation in COMSOL Multiphysics
4.1.1. Calculation of Turns’ Capacitances
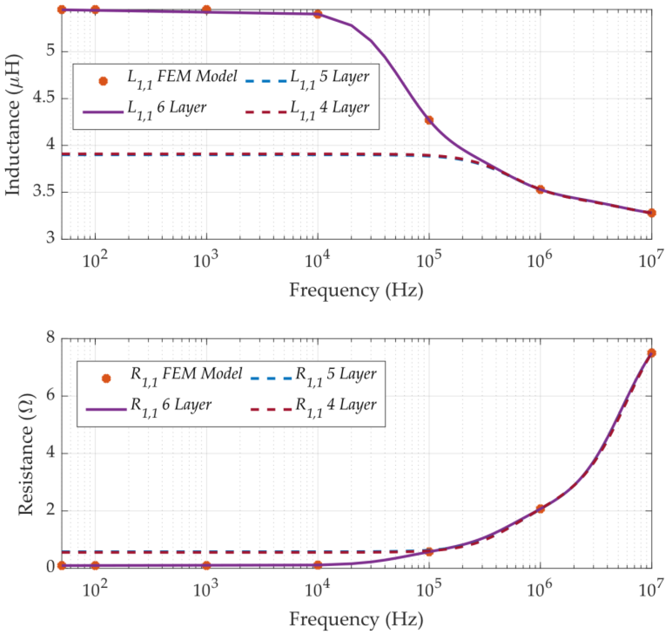
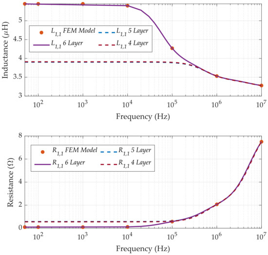
4.1.2. Calculation of Turns’ Self and Mutual Inductances and Resistances
4.2. Rational Approximation of the Frequency Domain Response
4.3. MCTL Model of Stator Windings in EMTP-RV
5. Simulation Results and Discussion
5.1. One-Phase Simulation with Grounded Neutral Point
5.2. One-Phase Simulation with Floating Neutral Point
5.3. Three-Phase Simulation with Floating Neutral Point (One Phase Excitation)
5.4. Model with Ladder Circuits vs. Model in a Fixed Frequency
5.5. Discussion
6. Conclusions
Author Contributions
Funding
Institutional Review Board Statement
Informed Consent Statement
Conflicts of Interest
Appendix A
| T. no./Freq. | 1 | 2 | 3 | 4 | 5 | 6 | 7 | 8 | 9 | 10 | 11 |
|---|---|---|---|---|---|---|---|---|---|---|---|
| 50 Hz | 2.46 × 10−6 | 6.80 × 10−6 | 2.91 × 10−6 | 7.26 × 10−7 | 1.92 × 10−7 | 5.30 × 10−8 | 1.56 × 10−8 | 7.01 × 10−9 | 3.19 × 10−9 | 1.43 × 10−9 | 5.71 × 10−10 |
| 100 Hz | 2.46 × 10−6 | 6.80 × 10−6 | 2.91 × 10−6 | 7.26 × 10−7 | 1.92 × 10−7 | 5.30 × 10−8 | 1.56 × 10−8 | 7.01 × 10−9 | 3.19 × 10−9 | 1.43 × 10−9 | 5.71 × 10−10 |
| 1 kHz | 2.46 × 10−6 | 6.80 × 10−6 | 2.91 × 10−6 | 7.26 × 10−7 | 1.92 × 10−7 | 5.30 × 10−8 | 1.56 × 10−8 | 7.01 × 10−9 | 3.19 × 10−9 | 1.43 × 10−9 | 5.71 × 10−10 |
| 10 kHz | 2.44 × 10−6 | 6.73 × 10−6 | 2.89 × 10−6 | 7.27 × 10−7 | 1.93 × 10−7 | 5.34 × 10−8 | 1.57 × 10−8 | 7.05 × 10−9 | 3.20 × 10−9 | 1.44 × 10−9 | 5.69 × 10−10 |
| 100 kHz | 2.09 × 10−6 | 5.06 × 10−6 | 2.46 × 10−6 | 7.95 × 10−7 | 2.57 × 10−7 | 8.23 × 10−8 | 2.58 × 10−8 | 1.19 × 10−8 | 5.40 × 10−9 | 2.36 × 10−9 | 8.51 × 10−10 |
| 1 MHz | 1.92 × 10−6 | 3.92 × 10−6 | 2.17 × 10−6 | 8.98 × 10−7 | 3.78 × 10−7 | 1.58 × 10−7 | 6.25 × 10−8 | 3.50 × 10−8 | 1.98 × 10−8 | 1.12 × 10−8 | 6.12 × 10−9 |
| 10 MHz | 1.87 × 10−6 | 3.52 × 10−6 | 2.06 × 10−6 | 9.34 × 10−7 | 4.32 × 10−7 | 1.97 × 10−7 | 8.54 × 10−8 | 5.15 × 10−8 | 3.15 × 10−8 | 1.94 × 10−8 | 1.20 × 10−8 |
| T. no./Freq. | 1 | 2 | 3 | 4 | 5 | 6 | 7 | 8 | 9 | 10 | 11 |
|---|---|---|---|---|---|---|---|---|---|---|---|
| 50 Hz | 5.81 × 10−7 | 2.91 × 10−6 | 7.16 × 10−6 | 3.13 × 10−6 | 8.24 × 10−7 | 2.28 × 10−7 | 6.71 × 10−8 | 3.02 × 10−8 | 1.37 × 10−8 | 6.17 × 10−9 | 2.46 × 10−9 |
| 100 Hz | 5.81 × 10−7 | 2.91 × 10−6 | 7.16 × 10−6 | 3.13 × 10−6 | 8.24 × 10−7 | 2.28 × 10−7 | 6.71 × 10−8 | 3.02 × 10−8 | 1.37 × 10−8 | 6.17 × 10−9 | 2.46 × 10−9 |
| 1 kHz | 5.81 × 10−7 | 2.91 × 10−6 | 7.16 × 10−6 | 3.13 × 10−6 | 8.24 × 10−7 | 2.28 × 10−7 | 6.71 × 10−8 | 3.02 × 10−8 | 1.37 × 10−8 | 6.17 × 10−9 | 2.46 × 10−9 |
| 10 kHz | 5.81 × 10−7 | 2.89 × 10−6 | 7.09 × 10−6 | 3.11 × 10−6 | 8.25 × 10−7 | 2.29 × 10−7 | 6.75 × 10−8 | 3.04 × 10−8 | 1.38 × 10−8 | 6.20 × 10−9 | 2.46 × 10−9 |
| 100 kHz | 6.39 × 10−7 | 2.46 × 10−6 | 5.38 × 10−6 | 2.68 × 10−6 | 9.05 × 10−7 | 3.02 × 10−7 | 9.84 × 10−8 | 4.66 × 10−8 | 2.20 × 10−8 | 1.01 × 10−8 | 4.02 × 10−9 |
| 1 MHz | 7.62 × 10−7 | 2.17 × 10−6 | 4.16 × 10−6 | 2.36 × 10−6 | 1.00 × 10−6 | 4.22 × 10−7 | 1.69 × 10−7 | 9.53 × 10−8 | 5.43 × 10−8 | 3.09 × 10−8 | 1.71 × 10−8 |
| 10 MHz | 8.19 × 10−7 | 2.06 × 10−6 | 3.73 × 10−6 | 2.22 × 10−6 | 1.03 × 10−6 | 4.70 × 10−7 | 2.04 × 10−7 | 1.23 × 10−7 | 7.55 × 10−8 | 4.66 × 10−8 | 2.89 × 10−8 |
| T. no./Freq. | 1 | 2 | 3 | 4 | 5 | 6 | 7 | 8 | 9 | 10 | 11 |
|---|---|---|---|---|---|---|---|---|---|---|---|
| 50 Hz | 1.46 × 10−7 | 7.26 × 10−7 | 3.13 × 10−6 | 7.46 × 10−6 | 3.34 × 10−6 | 9.23 × 10−7 | 2.71 × 10−7 | 1.22 × 10−7 | 5.55 × 10−8 | 2.49 × 10−8 | 9.93 × 10−9 |
| 100 Hz | 1.46 × 10−7 | 7.26 × 10−7 | 3.13 × 10−6 | 7.46 × 10−6 | 3.34 × 10−6 | 9.23 × 10−7 | 2.71 × 10−7 | 1.22 × 10−7 | 5.55 × 10−8 | 2.49 × 10−8 | 9.93 × 10−9 |
| 1 kHz | 1.46 × 10−7 | 7.26 × 10−7 | 3.13 × 10−6 | 7.46 × 10−6 | 3.34 × 10−6 | 9.23 × 10−7 | 2.71 × 10−7 | 1.22 × 10−7 | 5.55 × 10−8 | 2.49 × 10−8 | 9.93 × 10−9 |
| 10 kHz | 1.46 × 10−7 | 7.27 × 10−7 | 3.11 × 10−6 | 7.39 × 10−6 | 3.32 × 10−6 | 9.24 × 10−7 | 2.72 × 10−7 | 1.23 × 10−7 | 5.58 × 10−8 | 2.51 × 10−8 | 9.98 × 10−9 |
| 100 kHz | 1.96 × 10−7 | 7.95 × 10−7 | 2.68 × 10−6 | 5.64 × 10−6 | 2.87 × 10−6 | 9.96 × 10−7 | 3.34 × 10−7 | 1.62 × 10−7 | 7.90 × 10−8 | 3.75 × 10−8 | 1.58 × 10−8 |
| 1 MHz | 3.11 × 10−7 | 8.98 × 10−7 | 2.36 × 10−6 | 4.37 × 10−6 | 2.51 × 10−6 | 1.06 × 10−6 | 4.29 × 10−7 | 2.44 × 10−7 | 1.40 × 10−7 | 8.02 × 10−8 | 4.49 × 10−8 |
| 10 MHz | 3.70 × 10−7 | 9.34 × 10−7 | 2.22 × 10−6 | 3.91 × 10−6 | 2.35 × 10−6 | 1.08 × 10−6 | 4.68 × 10−7 | 2.83 × 10−7 | 1.73 × 10−7 | 1.07 × 10−7 | 6.64 × 10−8 |
| T. no./Freq. | 1 | 2 | 3 | 4 | 5 | 6 | 7 | 8 | 9 | 10 | 11 |
|---|---|---|---|---|---|---|---|---|---|---|---|
| 50 Hz | 3.84 × 10−8 | 1.92 × 10−7 | 8.24 × 10−7 | 3.34 × 10−6 | 7.75 × 10−6 | 3.55 × 10−6 | 1.04 × 10−6 | 4.67 × 10−7 | 2.12 × 10−7 | 9.55 × 10−8 | 3.80 × 10−8 |
| 100 Hz | 3.84 × 10−8 | 1.92 × 10−7 | 8.24 × 10−7 | 3.34 × 10−6 | 7.75 × 10−6 | 3.55 × 10−6 | 1.04 × 10−6 | 4.67 × 10−7 | 2.12 × 10−7 | 9.55 × 10−8 | 3.80 × 10−8 |
| 1 kHz | 3.84 × 10−8 | 1.92 × 10−7 | 8.24 × 10−7 | 3.34 × 10−6 | 7.75 × 10−6 | 3.55 × 10−6 | 1.04 × 10−6 | 4.67 × 10−7 | 2.12 × 10−7 | 9.55 × 10−8 | 3.80 × 10−8 |
| 10 kHz | 3.86 × 10−8 | 1.93 × 10−7 | 8.25 × 10−7 | 3.32 × 10−6 | 7.67 × 10−6 | 3.53 × 10−6 | 1.04 × 10−6 | 4.67 × 10−7 | 2.13 × 10−7 | 9.59 × 10−8 | 3.82 × 10−8 |
| 100 kHz | 5.98 × 10−8 | 2.57 × 10−7 | 9.05 × 10−7 | 2.87 × 10−6 | 5.87 × 10−6 | 3.00 × 10−6 | 1.03 × 10−6 | 5.14 × 10−7 | 2.56 × 10−7 | 1.25 × 10−7 | 5.49 × 10−8 |
| 1 MHz | 1.29 × 10−7 | 3.78 × 10−7 | 1.00 × 10−6 | 2.51 × 10−6 | 4.52 × 10−6 | 2.55 × 10−6 | 1.04 × 10−6 | 5.92 × 10−7 | 3.42 × 10−7 | 1.97 × 10−7 | 1.12 × 10−7 |
| 10 MHz | 1.71 × 10−7 | 4.32 × 10−7 | 1.03 × 10−6 | 2.35 × 10−6 | 4.03 × 10−6 | 2.37 × 10−6 | 1.03 × 10−6 | 6.24 × 10−7 | 3.82 × 10−7 | 2.37 × 10−7 | 1.47 × 10−7 |
| T. no./Freq. | 1 | 2 | 3 | 4 | 5 | 6 | 7 | 8 | 9 | 10 | 11 |
|---|---|---|---|---|---|---|---|---|---|---|---|
| 50 Hz | 1.06 × 10−8 | 5.30 × 10−8 | 2.28 × 10−7 | 9.23 × 10−7 | 3.55 × 10−6 | 8.02 × 10−6 | 3.77 × 10−6 | 1.70 × 10−6 | 7.74 × 10−7 | 3.48 × 10−7 | 1.39 × 10−7 |
| 100 Hz | 1.06 × 10−8 | 5.30 × 10−8 | 2.28 × 10−7 | 9.23 × 10−7 | 3.55 × 10−6 | 8.02 × 10−6 | 3.77 × 10−6 | 1.70 × 10−6 | 7.74 × 10−7 | 3.48 × 10−7 | 1.39 × 10−7 |
| 1 kHz | 1.06 × 10−8 | 5.30 × 10−8 | 2.28 × 10−7 | 9.23 × 10−7 | 3.55 × 10−6 | 8.02 × 10−6 | 3.77 × 10−6 | 1.70 × 10−6 | 7.74 × 10−7 | 3.48 × 10−7 | 1.39 × 10−7 |
| 10 kHz | 1.07 × 10−8 | 5.34 × 10−8 | 2.29 × 10−7 | 9.24 × 10−7 | 3.53 × 10−6 | 7.94 × 10−6 | 3.74 × 10−6 | 1.69 × 10−6 | 7.72 × 10−7 | 3.48 × 10−7 | 1.39 × 10−7 |
| 100 kHz | 1.80 × 10−8 | 8.23 × 10−8 | 3.02 × 10−7 | 9.96 × 10−7 | 3.00 × 10−6 | 5.89 × 10−6 | 2.93 × 10−6 | 1.49 × 10−6 | 7.55 × 10−7 | 3.77 × 10−7 | 1.72 × 10−7 |
| 1 MHz | 5.31 × 10−8 | 1.58 × 10−7 | 4.22 × 10−7 | 1.06 × 10−6 | 2.55 × 10−6 | 4.42 × 10−6 | 2.38 × 10−6 | 1.37 × 10−6 | 7.95 × 10−7 | 4.62 × 10−7 | 2.63 × 10−7 |
| 10 MHz | 7.78 × 10−8 | 1.97 × 10−7 | 4.70 × 10−7 | 1.08 × 10−6 | 2.37 × 10−6 | 3.90 × 10−6 | 2.19 × 10−6 | 1.33 × 10−6 | 8.14 × 10−7 | 5.05 × 10−7 | 3.14 × 10−7 |
| T. no./Freq. | 1 | 2 | 3 | 4 | 5 | 6 | 7 | 8 | 9 | 10 | 11 |
|---|---|---|---|---|---|---|---|---|---|---|---|
| 50 Hz | 3.12 × 10−9 | 1.56 × 10−8 | 6.71 × 10−8 | 2.71 × 10−7 | 1.04 × 10−6 | 3.77 × 10−6 | 6.78 × 10−6 | 4.04 × 10−6 | 1.83 × 10−6 | 8.23 × 10−7 | 3.28 × 10−7 |
| 100 Hz | 3.12 × 10−9 | 1.56 × 10−8 | 6.71 × 10−8 | 2.71 × 10−7 | 1.04 × 10−6 | 3.77 × 10−6 | 6.78 × 10−6 | 4.04 × 10−6 | 1.83 × 10−6 | 8.23 × 10−7 | 3.28 × 10−7 |
| 1 kHz | 3.12 × 10−9 | 1.56 × 10−8 | 6.71 × 10−8 | 2.71 × 10−7 | 1.04 × 10−6 | 3.77 × 10−6 | 6.78 × 10−6 | 4.04 × 10−6 | 1.83 × 10−6 | 8.23 × 10−7 | 3.28 × 10−7 |
| 10 kHz | 3.13 × 10−9 | 1.57 × 10−8 | 6.75 × 10−8 | 2.72 × 10−7 | 1.04 × 10−6 | 3.74 × 10−6 | 6.70 × 10−6 | 3.99 × 10−6 | 1.82 × 10−6 | 8.19 × 10−7 | 3.27 × 10−7 |
| 100 kHz | 5.36 × 10−9 | 2.58 × 10−8 | 9.84 × 10−8 | 3.34 × 10−7 | 1.03 × 10−6 | 2.93 × 10−6 | 4.81 × 10−6 | 2.97 × 10−6 | 1.52 × 10−6 | 7.72 × 10−7 | 3.59 × 10−7 |
| 1 MHz | 2.08 × 10−8 | 6.25 × 10−8 | 1.69 × 10−7 | 4.29 × 10−7 | 1.04 × 10−6 | 2.38 × 10−6 | 3.64 × 10−6 | 2.41 × 10−6 | 1.40 × 10−6 | 8.17 × 10−7 | 4.68 × 10−7 |
| 10 MHz | 3.37 × 10−8 | 8.54 × 10−8 | 2.04 × 10−7 | 4.68 × 10−7 | 1.03 × 10−6 | 2.19 × 10−6 | 3.24 × 10−6 | 2.22 × 10−6 | 1.36 × 10−6 | 8.45 × 10−7 | 5.26 × 10−7 |
| T. no./Freq. | 1 | 2 | 3 | 4 | 5 | 6 | 7 | 8 | 9 | 10 | 11 |
|---|---|---|---|---|---|---|---|---|---|---|---|
| 50 Hz | 1.40 × 10−9 | 7.01 × 10−9 | 3.02 × 10−8 | 1.22 × 10−7 | 4.67 × 10−7 | 1.70 × 10−6 | 4.04 × 10−6 | 6.96 × 10−6 | 4.17 × 10−6 | 1.87 × 10−6 | 7.45 × 10−7 |
| 100 Hz | 1.40 × 10−9 | 7.01 × 10−9 | 3.02 × 10−8 | 1.22 × 10−7 | 4.67 × 10−7 | 1.70 × 10−6 | 4.04 × 10−6 | 6.96 × 10−6 | 4.17 × 10−6 | 1.87 × 10−6 | 7.45 × 10−7 |
| 1 kHz | 1.40 × 10−9 | 7.01 × 10−9 | 3.02 × 10−8 | 1.22 × 10−7 | 4.67 × 10−7 | 1.70 × 10−6 | 4.04 × 10−6 | 6.96 × 10−6 | 4.17 × 10−6 | 1.87 × 10−6 | 7.45 × 10−7 |
| 10 kHz | 1.41 × 10−9 | 7.05 × 10−9 | 3.04 × 10−8 | 1.23 × 10−7 | 4.67 × 10−7 | 1.69 × 10−6 | 3.99 × 10−6 | 6.87 × 10−6 | 4.12 × 10−6 | 1.86 × 10−6 | 7.42 × 10−7 |
| 100 kHz | 2.33 × 10−9 | 1.19 × 10−8 | 4.66 × 10−8 | 1.62 × 10−7 | 5.14 × 10−7 | 1.49 × 10−6 | 2.97 × 10−6 | 4.78 × 10−6 | 3.00 × 10−6 | 1.54 × 10−6 | 7.30 × 10−7 |
| 1 MHz | 1.16 × 10−8 | 3.50 × 10−8 | 9.53 × 10−8 | 2.44 × 10−7 | 5.92 × 10−7 | 1.37 × 10−6 | 2.41 × 10−6 | 3.55 × 10−6 | 2.40 × 10−6 | 1.40 × 10−6 | 8.10 × 10−7 |
| 10 MHz | 2.03 × 10−8 | 5.15 × 10−8 | 1.23 × 10−7 | 2.83 × 10−7 | 6.24 × 10−7 | 1.33 × 10−6 | 2.22 × 10−6 | 3.15 × 10−6 | 2.20 × 10−6 | 1.37 × 10−6 | 8.52 × 10−7 |
| T. no./Freq. | 1 | 2 | 3 | 4 | 5 | 6 | 7 | 8 | 9 | 10 | 11 |
|---|---|---|---|---|---|---|---|---|---|---|---|
| 50 Hz | 6.39 × 10−10 | 3.19 × 10−9 | 1.37 × 10−8 | 5.55 × 10−8 | 2.12 × 10−7 | 7.74 × 10−7 | 1.83 × 10−6 | 4.17 × 10−6 | 7.08 × 10−6 | 4.18 × 10−6 | 1.66 × 10−6 |
| 100 Hz | 6.39 × 10−10 | 3.19 × 10−9 | 1.37 × 10−8 | 5.55 × 10−8 | 2.12 × 10−7 | 7.74 × 10−7 | 1.83 × 10−6 | 4.17 × 10−6 | 7.08 × 10−6 | 4.18 × 10−6 | 1.66 × 10−6 |
| 1 kHz | 6.39 × 10−10 | 3.19 × 10−9 | 1.37 × 10−8 | 5.55 × 10−8 | 2.12 × 10−7 | 7.74 × 10−7 | 1.83 × 10−6 | 4.17 × 10−6 | 7.08 × 10−6 | 4.18 × 10−6 | 1.66 × 10−6 |
| 10 kHz | 6.37 × 10−10 | 3.20 × 10−9 | 1.38 × 10−8 | 5.58 × 10−8 | 2.13 × 10−7 | 7.72 × 10−7 | 1.82 × 10−6 | 4.12 × 10−6 | 6.99 × 10−6 | 4.13 × 10−6 | 1.65 × 10−6 |
| 100 kHz | 9.90 × 10−10 | 5.40 × 10−9 | 2.20 × 10−8 | 7.90 × 10−8 | 2.56 × 10−7 | 7.55 × 10−7 | 1.52 × 10−6 | 3.00 × 10−6 | 4.85 × 10−6 | 3.02 × 10−6 | 1.46 × 10−6 |
| 1 MHz | 6.47 × 10−9 | 1.98 × 10−8 | 5.43 × 10−8 | 1.40 × 10−7 | 3.42 × 10−7 | 7.95 × 10−7 | 1.40 × 10−6 | 2.40 × 10−6 | 3.60 × 10−6 | 2.44 × 10−6 | 1.41 × 10−6 |
| 10 MHz | 1.24 × 10−8 | 3.15 × 10−8 | 7.55 × 10−8 | 1.73 × 10−7 | 3.82 × 10−7 | 8.14 × 10−7 | 1.36 × 10−6 | 2.20 × 10−6 | 3.19 × 10−6 | 2.25 × 10−6 | 1.40 × 10−6 |
| T. no./Freq. | 1 | 2 | 3 | 4 | 5 | 6 | 7 | 8 | 9 | 10 | 11 |
|---|---|---|---|---|---|---|---|---|---|---|---|
| 50 Hz | 2.87 × 10−10 | 1.43 × 10−9 | 6.17 × 10−9 | 2.49 × 10−8 | 9.55 × 10−8 | 3.48 × 10−7 | 8.23 × 10−7 | 1.87 × 10−6 | 4.18 × 10−6 | 6.94 × 10−6 | 3.64 × 10−6 |
| 100 Hz | 2.87 × 10−10 | 1.43 × 10−9 | 6.17 × 10−9 | 2.49 × 10−8 | 9.55 × 10−8 | 3.48 × 10−7 | 8.23 × 10−7 | 1.87 × 10−6 | 4.18 × 10−6 | 6.94 × 10−6 | 3.64 × 10−6 |
| 1 kHz | 2.87 × 10−10 | 1.43 × 10−9 | 6.17 × 10−9 | 2.49 × 10−8 | 9.55 × 10−8 | 3.48 × 10−7 | 8.23 × 10−7 | 1.87 × 10−6 | 4.18 × 10−6 | 6.94 × 10−6 | 3.64 × 10−6 |
| 10 kHz | 2.85 × 10−10 | 1.44 × 10−9 | 6.20 × 10−9 | 2.51 × 10−8 | 9.59 × 10−8 | 3.48 × 10−7 | 8.19 × 10−7 | 1.86 × 10−6 | 4.13 × 10−6 | 6.85 × 10−6 | 3.60 × 10−6 |
| 100 kHz | 3.90 × 10−10 | 2.36 × 10−9 | 1.01 × 10−8 | 3.75 × 10−8 | 1.25 × 10−7 | 3.77 × 10−7 | 7.72 × 10−7 | 1.54 × 10−6 | 3.02 × 10−6 | 4.82 × 10−6 | 2.84 × 10−6 |
| 1 MHz | 3.61 × 10−9 | 1.12 × 10−8 | 3.09 × 10−8 | 8.02 × 10−8 | 1.97 × 10−7 | 4.62 × 10−7 | 8.17 × 10−7 | 1.40 × 10−6 | 2.44 × 10−6 | 3.64 × 10−6 | 2.44 × 10−6 |
| 10 MHz | 7.62 × 10−9 | 1.94 × 10−8 | 4.66 × 10−8 | 1.07 × 10−7 | 2.37 × 10−7 | 5.05 × 10−7 | 8.45 × 10−7 | 1.37 × 10−6 | 2.25 × 10−6 | 3.25 × 10−6 | 2.30 × 10−6 |
| T. no./Freq. | 1 | 2 | 3 | 4 | 5 | 6 | 7 | 8 | 9 | 10 | 11 |
|---|---|---|---|---|---|---|---|---|---|---|---|
| 50 Hz | 1.14 × 10−10 | 5.71 × 10−10 | 2.46 × 10−9 | 9.93 × 10−9 | 3.80 × 10−8 | 1.39 × 10−7 | 3.28 × 10−7 | 7.45 × 10−7 | 1.66 × 10−6 | 3.64 × 10−6 | 5.64 × 10−6 |
| 100 Hz | 1.14 × 10−10 | 5.71 × 10−10 | 2.46 × 10−9 | 9.93 × 10−9 | 3.80 × 10−8 | 1.39 × 10−7 | 3.28 × 10−7 | 7.45 × 10−7 | 1.66 × 10−6 | 3.64 × 10−6 | 5.64 × 10−6 |
| 1 kHz | 1.14 × 10−10 | 5.71 × 10−10 | 2.46 × 10−9 | 9.93 × 10−9 | 3.80 × 10−8 | 1.39 × 10−7 | 3.28 × 10−7 | 7.45 × 10−7 | 1.66 × 10−6 | 3.64 × 10−6 | 5.64 × 10−6 |
| 10 kHz | 1.13 × 10−10 | 5.69 × 10−10 | 2.46 × 10−9 | 9.98 × 10−9 | 3.82 × 10−8 | 1.39 × 10−7 | 3.27 × 10−7 | 7.42 × 10−7 | 1.65 × 10−6 | 3.60 × 10−6 | 5.59 × 10−6 |
| 100 kHz | 1.08 × 10−10 | 8.51 × 10−10 | 4.02 × 10−9 | 1.58 × 10−8 | 5.49 × 10−8 | 1.72 × 10−7 | 3.59 × 10−7 | 7.30 × 10−7 | 1.46 × 10−6 | 2.84 × 10−6 | 4.43 × 10−6 |
| 1 MHz | 1.94 × 10−9 | 6.12 × 10−9 | 1.71 × 10−8 | 4.49 × 10−8 | 1.12 × 10−7 | 2.63 × 10−7 | 4.68 × 10−7 | 8.10 × 10−7 | 1.41 × 10−6 | 2.44 × 10−6 | 3.59 × 10−6 |
| 10 MHz | 4.70 × 10−9 | 1.20 × 10−8 | 2.89 × 10−8 | 6.64 × 10−8 | 1.47 × 10−7 | 3.14 × 10−7 | 5.26 × 10−7 | 8.52 × 10−7 | 1.40 × 10−6 | 2.30 × 10−6 | 3.29 × 10−6 |
Appendix B
| T. no./Freq. | 1 | 2 | 3 | 4 | 5 | 6 | 7 | 8 | 9 | 10 | 11 |
|---|---|---|---|---|---|---|---|---|---|---|---|
| 50 Hz | 4.66 × 10−10 | 0.0962 | 5.52 × 10−10 | 6.20 × 10−11 | 6.74 × 10−11 | 3.15 × 10−11 | 1.18 × 10−11 | 6.09 × 10−12 | 3.13 × 10−12 | 1.58 × 10−12 | 7.31 × 10−13 |
| 100 Hz | 9.32 × 10−10 | 0.0962 | 1.10 × 10−9 | 1.24 × 10−10 | 1.35 × 10−10 | 6.29 × 10−11 | 2.37 × 10−11 | 1.22 × 10−11 | 6.25 × 10−12 | 3.15 × 10−12 | 1.46 × 10−12 |
| 1 kHz | 9.32 × 10−9 | 0.0965 | 1.10 × 10−8 | 1.24 × 10−9 | 1.35 × 10−9 | 6.29 × 10−10 | 2.37 × 10−10 | 1.22 × 10−10 | 6.25 × 10−11 | 3.15 × 10−11 | 1.46 × 10−11 |
| 10 kHz | 8.98 × 10−8 | 0.1219 | 1.07 × 10−7 | 1.25 × 10−8 | 1.34 × 10−8 | 6.28 × 10−9 | 2.37 × 10−9 | 1.22 × 10−9 | 6.27 × 10−10 | 3.17 × 10−10 | 1.47 × 10−10 |
| 100 kHz | 2.09 × 10−7 | 0.8225 | 2.90 × 10−7 | 7.97 × 10−8 | 8.14 × 10−8 | 4.38 × 10−8 | 1.86 × 10−8 | 1.06 × 10−8 | 5.99 × 10−9 | 3.30 × 10−9 | 1.72 × 10−9 |
| 1 MHz | 6.75 × 10−8 | 3.1409 | 1.28 × 10−7 | 4.22 × 10−8 | 5.56 × 10−8 | 3.74 × 10−8 | 2.00 × 10−8 | 1.36 × 10−8 | 9.10 × 10−9 | 6.06 × 10−9 | 4.04 × 10−9 |
| 10 MHz | 2.37 × 10−8 | 11.4956 | 5.10 × 10−8 | 1.62 × 10−8 | 2.44 × 10−8 | 1.80 × 10−8 | 1.07 × 10−8 | 7.75 × 10−9 | 5.57 × 10−9 | 4.00 × 10−9 | 2.92 × 10−9 |
| T. no./Freq. | 1 | 2 | 3 | 4 | 5 | 6 | 7 | 8 | 9 | 10 | 11 |
|---|---|---|---|---|---|---|---|---|---|---|---|
| 50 Hz | 5.25 × 10−11 | 5.52 × 10−10 | 0.0962 | 5.63 × 10−10 | 7.33 × 10−11 | 7.54 × 10−11 | 3.33 × 10−11 | 1.83 × 10−11 | 9.85 × 10−12 | 5.16 × 10−12 | 2.50 × 10−12 |
| 100 Hz | 1.05 × 10−10 | 1.10 × 10−9 | 0.0962 | 1.13 × 10−9 | 1.47 × 10−10 | 1.51 × 10−10 | 6.66 × 10−11 | 3.66 × 10−11 | 1.97 × 10−11 | 1.03 × 10−11 | 5.00 × 10−12 |
| 1 kHz | 1.05 × 10−9 | 1.10 × 10−8 | 0.0965 | 1.13 × 10−8 | 1.47 × 10−9 | 1.51 × 10−9 | 6.66 × 10−10 | 3.66 × 10−10 | 1.97 × 10−10 | 1.03 × 10−10 | 5.00 × 10−11 |
| 10 kHz | 1.07 × 10−8 | 1.07 × 10−7 | 0.1225 | 1.09 × 10−7 | 1.48 × 10−8 | 1.50 × 10−8 | 6.64 × 10−9 | 3.66 × 10−9 | 1.97 × 10−9 | 1.03 × 10−9 | 5.02 × 10−10 |
| 100 kHz | 8.02 × 10−8 | 2.90 × 10−7 | 0.8517 | 3.06 × 10−7 | 8.50 × 10−8 | 8.56 × 10−8 | 4.30 × 10−8 | 2.66 × 10−8 | 1.59 × 10−8 | 9.19 × 10−9 | 5.05 × 10−9 |
| 1 MHz | 5.79 × 10−8 | 1.28 × 10−7 | 3.3817 | 1.47 × 10−7 | 3.70 × 10−8 | 5.27 × 10−8 | 3.45 × 10−8 | 2.55 × 10−8 | 1.81 × 10−8 | 1.26 × 10−8 | 8.80 × 10−9 |
| 10 MHz | 2.60 × 10−8 | 5.10 × 10−8 | 12.6612 | 6.13 × 10−8 | 1.19 × 10−8 | 2.18 × 10−8 | 1.63 × 10−8 | 1.29 × 10−8 | 9.89 × 10−9 | 7.45 × 10−9 | 5.66 × 10−9 |
| T. no./Freq. | 1 | 2 | 3 | 4 | 5 | 6 | 7 | 8 | 9 | 10 | 11 |
|---|---|---|---|---|---|---|---|---|---|---|---|
| 50 Hz | 5.30 × 10−11 | 6.20 × 10−11 | 5.63 × 10−10 | 0.0962 | 5.82 × 10−10 | 6.53 × 10−11 | 6.43 × 10−11 | 4.24 × 10−11 | 2.55 × 10−11 | 1.44 × 10−11 | 7.54 × 10−12 |
| 100 Hz | 1.06 × 10−10 | 1.24 × 10−10 | 1.13 × 10−9 | 0.0962 | 1.16 × 10−9 | 1.31 × 10−10 | 1.29 × 10−10 | 8.48 × 10−11 | 5.09 × 10−11 | 2.88 × 10−11 | 1.51 × 10−11 |
| 1 kHz | 1.06 × 10−9 | 1.24 × 10−9 | 1.13 × 10−8 | 0.0965 | 1.16 × 10−8 | 1.31 × 10−9 | 1.29 × 10−9 | 8.48 × 10−10 | 5.09 × 10−10 | 2.88 × 10−10 | 1.51 × 10−10 |
| 10 kHz | 1.06 × 10−8 | 1.25 × 10−8 | 1.09 × 10−7 | 0.1230 | 1.13 × 10−7 | 1.31 × 10−8 | 1.28 × 10−8 | 8.44 × 10−9 | 5.08 × 10−9 | 2.88 × 10−9 | 1.51 × 10−9 |
| 100 kHz | 6.96 × 10−8 | 7.97 × 10−8 | 3.06 × 10−7 | 0.8761 | 3.31 × 10−7 | 6.84 × 10−8 | 6.95 × 10−8 | 5.22 × 10−8 | 3.50 × 10−8 | 2.20 × 10−8 | 1.31 × 10−8 |
| 1 MHz | 5.70 × 10−8 | 4.22 × 10−8 | 1.47 × 10−7 | 3.5515 | 1.68 × 10−7 | 2.21 × 10−8 | 4.21 × 10−8 | 3.87 × 10−8 | 3.10 × 10−8 | 2.34 × 10−8 | 1.75 × 10−8 |
| 10 MHz | 2.74 × 10−8 | 1.62 × 10−8 | 6.13 × 10−8 | 13.4588 | 7.13 × 10−8 | 4.94 × 10−9 | 1.76 × 10−8 | 1.78 × 10−8 | 1.54 × 10−8 | 1.25 × 10−8 | 1.02 × 10−8 |
| T. no./Freq. | 1 | 2 | 3 | 4 | 5 | 6 | 7 | 8 | 9 | 10 | 11 |
|---|---|---|---|---|---|---|---|---|---|---|---|
| 50 Hz | 2.42 × 10−11 | 6.74 × 10−11 | 7.33 × 10−11 | 5.82 × 10−10 | 0.0962 | 6.66 × 10−10 | 1.71 × 10−11 | 4.38 × 10−11 | 4.36 × 10−11 | 3.09 × 10−11 | 1.92 × 10−11 |
| 100 Hz | 4.84 × 10−11 | 1.35 × 10−10 | 1.47 × 10−10 | 1.16 × 10−9 | 0.0962 | 1.33 × 10−9 | 3.41 × 10−11 | 8.77 × 10−11 | 8.72 × 10−11 | 6.18 × 10−11 | 3.84 × 10−11 |
| 1 kHz | 4.84 × 10−10 | 1.35 × 10−9 | 1.47 × 10−9 | 1.16 × 10−8 | 0.0965 | 1.33 × 10−8 | 3.41 × 10−10 | 8.77 × 10−10 | 8.72 × 10−10 | 6.18 × 10−10 | 3.84 × 10−10 |
| 10 kHz | 4.84 × 10−9 | 1.34 × 10−8 | 1.48 × 10−8 | 1.13 × 10−7 | 0.1237 | 1.29 × 10−7 | 3.07 × 10−9 | 8.83 × 10−9 | 8.72 × 10−9 | 6.18 × 10−9 | 3.84 × 10−9 |
| 100 kHz | 3.66 × 10−8 | 8.14 × 10−8 | 8.50 × 10−8 | 3.31 × 10−7 | 0.9130 | 4.04 × 10−7 | 4.30 × 10−9 | 5.67 × 10−8 | 5.60 × 10−8 | 4.25 × 10−8 | 2.93 × 10−8 |
| 1 MHz | 3.72 × 10−8 | 5.56 × 10−8 | 3.70 × 10−8 | 1.68 × 10−7 | 3.7730 | 2.02 × 10−7 | 1.71 × 10−9 | 3.44 × 10−8 | 4.08 × 10−8 | 3.69 × 10−8 | 3.10 × 10−8 |
| 10 MHz | 1.94 × 10−8 | 2.44 × 10−8 | 1.19 × 10−8 | 7.13 × 10−8 | 14.3726 | 8.39 × 10−8 | 2.40 × 10−9 | 1.43 × 10−8 | 1.86 × 10−8 | 1.82 × 10−8 | 1.65 × 10−8 |
| T. no./Freq. | 1 | 2 | 3 | 4 | 5 | 6 | 7 | 8 | 9 | 10 | 11 |
|---|---|---|---|---|---|---|---|---|---|---|---|
| 50 Hz | 9.26 × 10−12 | 3.15 × 10−11 | 7.54 × 10−11 | 6.53 × 10−11 | 6.66 × 10−10 | 0.0962 | 1.01 × 10−9 | 2.71 × 10−10 | 3.73 × 10−11 | 2.44 × 10−11 | 3.49 × 10−11 |
| 100 Hz | 1.85 × 10−11 | 6.29 × 10−11 | 1.51 × 10−10 | 1.31 × 10−10 | 1.33 × 10−9 | 0.0962 | 2.02 × 10−9 | 5.42 × 10−10 | 7.46 × 10−11 | 4.88 × 10−11 | 6.97 × 10−11 |
| 1 kHz | 1.85 × 10−10 | 6.29 × 10−10 | 1.51 × 10−9 | 1.31 × 10−9 | 1.33 × 10−8 | 0.0965 | 2.02 × 10−8 | 5.42 × 10−9 | 7.46 × 10−10 | 4.88 × 10−10 | 6.97 × 10−10 |
| 10 kHz | 1.86 × 10−9 | 6.28 × 10−9 | 1.50 × 10−8 | 1.31 × 10−8 | 1.29 × 10−7 | 0.1272 | 1.96 × 10−7 | 5.22 × 10−8 | 6.85 × 10−9 | 5.06 × 10−9 | 7.00 × 10−9 |
| 100 kHz | 1.62 × 10−8 | 4.38 × 10−8 | 8.56 × 10−8 | 6.84 × 10−8 | 4.04 × 10−7 | 1.0116 | 5.63 × 10−7 | 1.27 × 10−7 | 1.54 × 10−8 | 5.05 × 10−8 | 5.21 × 10−8 |
| 1 MHz | 2.05 × 10−8 | 3.74 × 10−8 | 5.27 × 10−8 | 2.21 × 10−8 | 2.02 × 10−7 | 4.0446 | 2.32 × 10−7 | 5.15 × 10−8 | 1.84 × 10−8 | 4.13 × 10−8 | 4.68 × 10−8 |
| 10 MHz | 1.16 × 10−8 | 1.80 × 10−8 | 2.18 × 10−8 | 4.94 × 10−9 | 8.39 × 10−8 | 15.0903 | 8.87 × 10−8 | 2.03 × 10−8 | 8.48 × 10−9 | 1.95 × 10−8 | 2.32 × 10−8 |
| T. no./Freq. | 1 | 2 | 3 | 4 | 5 | 6 | 7 | 8 | 9 | 10 | 11 |
|---|---|---|---|---|---|---|---|---|---|---|---|
| 50 Hz | 3.24 × 10−12 | 1.18 × 10−11 | 3.33 × 10−11 | 6.43 × 10−11 | 1.71 × 10−11 | 1.01 × 10−9 | 0.0962 | 1.32 × 10−9 | 3.90 × 10−10 | 7.76 × 10−11 | 2.86 × 10−11 |
| 100 Hz | 6.48 × 10−12 | 2.37 × 10−11 | 6.66 × 10−11 | 1.29 × 10−10 | 3.41 × 10−11 | 2.02 × 10−9 | 0.0962 | 2.63 × 10−9 | 7.79 × 10−10 | 1.55 × 10−10 | 5.73 × 10−11 |
| 1 kHz | 6.48 × 10−11 | 2.37 × 10−10 | 6.66 × 10−10 | 1.29 × 10−9 | 3.41 × 10−10 | 2.02 × 10−8 | 0.0965 | 2.63 × 10−8 | 7.79 × 10−9 | 1.55 × 10−9 | 5.73 × 10−10 |
| 10 kHz | 6.50 × 10−10 | 2.37 × 10−9 | 6.64 × 10−9 | 1.28 × 10−8 | 3.07 × 10−9 | 1.96 × 10−7 | 0.1252 | 2.54 × 10−7 | 7.49 × 10−8 | 1.46 × 10−8 | 5.91 × 10−9 |
| 100 kHz | 6.31 × 10−9 | 1.86 × 10−8 | 4.30 × 10−8 | 6.95 × 10−8 | 4.30 × 10−9 | 5.63 × 10−7 | 0.8824 | 6.44 × 10−7 | 1.64 × 10−7 | 4.48 × 10−9 | 6.06 × 10−8 |
| 1 MHz | 9.93 × 10−9 | 2.00 × 10−8 | 3.45 × 10−8 | 4.21 × 10−8 | 1.71 × 10−9 | 2.32 × 10−7 | 3.2337 | 2.37 × 10−7 | 5.22 × 10−8 | 2.36 × 10−8 | 5.44 × 10−8 |
| 10 MHz | 6.15 × 10−9 | 1.07 × 10−8 | 1.63 × 10−8 | 1.76 × 10−8 | 2.40 × 10−9 | 8.87 × 10−8 | 11.6947 | 8.74 × 10−8 | 1.84 × 10−8 | 1.24 × 10−8 | 2.62 × 10−8 |
| T. no./Freq. | 1 | 2 | 3 | 4 | 5 | 6 | 7 | 8 | 9 | 10 | 11 |
|---|---|---|---|---|---|---|---|---|---|---|---|
| 50 Hz | 1.61 × 10−12 | 6.09 × 10−12 | 1.83 × 10−11 | 4.24 × 10−11 | 4.38 × 10−11 | 2.71 × 10−10 | 1.32 × 10−9 | 0.0962 | 1.44 × 10−9 | 4.23 × 10−10 | 3.29 × 10−11 |
| 100 Hz | 3.22 × 10−12 | 1.22 × 10−11 | 3.66 × 10−11 | 8.48 × 10−11 | 8.77 × 10−11 | 5.42 × 10−10 | 2.63 × 10−9 | 0.0962 | 2.89 × 10−9 | 8.46 × 10−10 | 6.58 × 10−11 |
| 1 kHz | 3.22 × 10−11 | 1.22 × 10−10 | 3.66 × 10−10 | 8.48 × 10−10 | 8.77 × 10−10 | 5.42 × 10−9 | 2.63 × 10−8 | 0.0965 | 2.89 × 10−8 | 8.45 × 10−9 | 6.57 × 10−10 |
| 10 kHz | 3.24 × 10−10 | 1.22 × 10−9 | 3.66 × 10−9 | 8.44 × 10−9 | 8.83 × 10−9 | 5.22 × 10−8 | 2.54 × 10−7 | 0.1288 | 2.79 × 10−7 | 8.13 × 10−8 | 5.89 × 10−9 |
| 100 kHz | 3.42 × 10−9 | 1.06 × 10−8 | 2.66 × 10−8 | 5.22 × 10−8 | 5.67 × 10−8 | 1.27 × 10−7 | 6.44 × 10−7 | 0.9421 | 7.00 × 10−7 | 1.79 × 10−7 | 3.32 × 10−8 |
| 1 MHz | 6.39 × 10−9 | 1.36 × 10−8 | 2.55 × 10−8 | 3.87 × 10−8 | 3.44 × 10−8 | 5.15 × 10−8 | 2.37 × 10−7 | 3.3390 | 2.52 × 10−7 | 5.40 × 10−8 | 3.92 × 10−8 |
| 10 MHz | 4.23 × 10−9 | 7.75 × 10−9 | 1.29 × 10−8 | 1.78 × 10−8 | 1.43 × 10−8 | 2.03 × 10−8 | 8.74 × 10−8 | 11.8503 | 9.08 × 10−8 | 1.78 × 10−8 | 1.89 × 10−8 |
| T. no./Freq. | 1 | 2 | 3 | 4 | 5 | 6 | 7 | 8 | 9 | 10 | 11 |
|---|---|---|---|---|---|---|---|---|---|---|---|
| 50 Hz | 8.05 × 10−13 | 3.13 × 10−12 | 9.85 × 10−12 | 2.55 × 10−11 | 4.36 × 10−11 | 3.73 × 10−11 | 3.90 × 10−10 | 1.44 × 10−9 | 0.0962 | 1.42 × 10−9 | 2.59 × 10−10 |
| 100 Hz | 1.61 × 10−12 | 6.25 × 10−12 | 1.97 × 10−11 | 5.09 × 10−11 | 8.72 × 10−11 | 7.46 × 10−11 | 7.79 × 10−10 | 2.89 × 10−9 | 0.0962 | 2.84 × 10−9 | 5.18 × 10−10 |
| 1 kHz | 1.61 × 10−11 | 6.25 × 10−11 | 1.97 × 10−10 | 5.09 × 10−10 | 8.72 × 10−10 | 7.46 × 10−10 | 7.79 × 10−9 | 2.89 × 10−8 | 0.0965 | 2.84 × 10−8 | 5.18 × 10−9 |
| 10 kHz | 1.62 × 10−10 | 6.27 × 10−10 | 1.97 × 10−9 | 5.08 × 10−9 | 8.72 × 10−9 | 6.85 × 10−9 | 7.49 × 10−8 | 2.79 × 10−7 | 0.1295 | 2.74 × 10−7 | 4.96 × 10−8 |
| 100 kHz | 1.85 × 10−9 | 5.99 × 10−9 | 1.59 × 10−8 | 3.50 × 10−8 | 5.60 × 10−8 | 1.54 × 10−8 | 1.64 × 10−7 | 7.00 × 10−7 | 0.9631 | 6.88 × 10−7 | 9.02 × 10−8 |
| 1 MHz | 4.10 × 10−9 | 9.10 × 10−9 | 1.81 × 10−8 | 3.10 × 10−8 | 4.08 × 10−8 | 1.84 × 10−8 | 5.22 × 10−8 | 2.52 × 10−7 | 3.4064 | 2.45 × 10−7 | 1.88 × 10−8 |
| 10 MHz | 2.92 × 10−9 | 5.57 × 10−9 | 9.89 × 10−9 | 1.54 × 10−8 | 1.86 × 10−8 | 8.48 × 10−9 | 1.84 × 10−8 | 9.08 × 10−8 | 12.0282 | 8.77 × 10−8 | 5.20 × 10−9 |
| T. no./Freq. | 1 | 2 | 3 | 4 | 5 | 6 | 7 | 8 | 9 | 10 | 11 |
|---|---|---|---|---|---|---|---|---|---|---|---|
| 50 Hz | 3.96 × 10−13 | 1.58 × 10−12 | 5.16 × 10−12 | 1.44 × 10−11 | 3.09 × 10−11 | 2.44 × 10−11 | 7.76 × 10−11 | 4.23 × 10−10 | 1.42 × 10−9 | 0.0962 | 9.76 × 10−10 |
| 100 Hz | 7.92 × 10−13 | 3.15 × 10−12 | 1.03 × 10−11 | 2.88 × 10−11 | 6.18 × 10−11 | 4.88 × 10−11 | 1.55 × 10−10 | 8.46 × 10−10 | 2.84 × 10−9 | 0.0962 | 1.95 × 10−9 |
| 1 kHz | 7.92 × 10−12 | 3.15 × 10−11 | 1.03 × 10−10 | 2.88 × 10−10 | 6.18 × 10−10 | 4.88 × 10−10 | 1.55 × 10−9 | 8.45 × 10−9 | 2.84 × 10−8 | 0.0965 | 1.95 × 10−8 |
| 10 kHz | 7.96 × 10−11 | 3.17 × 10−10 | 1.03 × 10−9 | 2.88 × 10−9 | 6.18 × 10−9 | 5.06 × 10−9 | 1.46 × 10−8 | 8.13 × 10−8 | 2.74 × 10−7 | 0.1277 | 1.89 × 10−7 |
| 100 kHz | 9.80 × 10−10 | 3.30 × 10−9 | 9.19 × 10−9 | 2.20 × 10−8 | 4.25 × 10−8 | 5.05 × 10−8 | 4.48 × 10−9 | 1.79 × 10−7 | 6.88 × 10−7 | 0.9169 | 4.74 × 10−7 |
| 1 MHz | 2.64 × 10−9 | 6.06 × 10−9 | 1.26 × 10−8 | 2.34 × 10−8 | 3.69 × 10−8 | 4.13 × 10−8 | 2.36 × 10−8 | 5.40 × 10−8 | 2.45 × 10−7 | 3.2295 | 1.74 × 10−7 |
| 10 MHz | 2.02 × 10−9 | 4.00 × 10−9 | 7.45 × 10−9 | 1.25 × 10−8 | 1.82 × 10−8 | 1.95 × 10−8 | 1.24 × 10−8 | 1.78 × 10−8 | 8.77 × 10−8 | 11.4037 | 6.44 × 10−8 |
| T. no./Freq. | 1 | 2 | 3 | 4 | 5 | 6 | 7 | 8 | 9 | 10 | 11 |
|---|---|---|---|---|---|---|---|---|---|---|---|
| 50 Hz | 1.78 × 10−13 | 7.31 × 10−13 | 2.50 × 10−12 | 7.54 × 10−12 | 1.92 × 10−11 | 3.49 × 10−11 | 2.86 × 10−11 | 3.29 × 10−11 | 2.59 × 10−10 | 9.76 × 10−10 | 0.0962 |
| 100 Hz | 3.57 × 10−13 | 1.46 × 10−12 | 5.00 × 10−12 | 1.51 × 10−11 | 3.84 × 10−11 | 6.97 × 10−11 | 5.73 × 10−11 | 6.58 × 10−11 | 5.18 × 10−10 | 1.95 × 10−9 | 0.0962 |
| 1 kHz | 3.57 × 10−12 | 1.46 × 10−11 | 5.00 × 10−11 | 1.51 × 10−10 | 3.84 × 10−10 | 6.97 × 10−10 | 5.73 × 10−10 | 6.57 × 10−10 | 5.18 × 10−9 | 1.95 × 10−8 | 0.0964 |
| 10 kHz | 3.59 × 10−11 | 1.47 × 10−10 | 5.02 × 10−10 | 1.51 × 10−9 | 3.84 × 10−9 | 7.00 × 10−9 | 5.91 × 10−9 | 5.89 × 10−9 | 4.96 × 10−8 | 1.89 × 10−7 | 0.1140 |
| 100 kHz | 4.86 × 10−10 | 1.72 × 10−9 | 5.05 × 10−9 | 1.31 × 10−8 | 2.93 × 10−8 | 5.21 × 10−8 | 6.06 × 10−8 | 3.32 × 10−8 | 9.02 × 10−8 | 4.74 × 10−7 | 0.6142 |
| 1 MHz | 1.70 × 10−9 | 4.04 × 10−9 | 8.80 × 10−9 | 1.75 × 10−8 | 3.10 × 10−8 | 4.68 × 10−8 | 5.44 × 10−8 | 3.92 × 10−8 | 1.88 × 10−8 | 1.74 × 10−7 | 2.3631 |
| 10 MHz | 1.43 × 10−9 | 2.92 × 10−9 | 5.66 × 10−9 | 1.02 × 10−8 | 1.65 × 10−8 | 2.32 × 10−8 | 2.62 × 10−8 | 1.89 × 10−8 | 5.20 × 10−9 | 6.44 × 10−8 | 8.7529 |
References
- Barzkar, A.; Ghassemi, M. Analysis of repetitive transient overvoltages in wide-bandgap drive systems. Electr. Power Syst. Res. 2022; submitted. [Google Scholar]
- Martínez-Tarifa, J.M.; Amaras-Duarte, H.; Sanz-Feito, J. Frequency-Domain Model for Calculation of Voltage Distribution through Random Wound Coils and Its Interaction with Stray Capacitances. IEEE Trans. Energy Convers. 2008, 23, 742–751. [Google Scholar] [CrossRef]
- Wright, M.; Yang, S.; McLeay, K. General theory of fast-fronted interturn voltage distribution in electrical machine windings. IEE Proc. B Electr. Power Appl. 1983, 130, 245–256. [Google Scholar] [CrossRef]
- Wright, M.; Yang, S.; McLeay, K. The influence of coil and surge parameters on transient interturn voltage distribution in stator windings. IEE Proc. B Electr. Power Appl. 1983, 130, 257–264. [Google Scholar] [CrossRef]
- McLaren, P.; Abdel-Rahman, M. Modeling of large AC motor coils for steep-fronted surge studies. IEEE Trans. Ind. Appl. 1988, 24, 422–426. [Google Scholar] [CrossRef]
- McLaren, P.; Oraee, H. Multiconductor transmission-line model for the line-end coil of large AC machines. IEE Proc. B Electr. Power Appl. 1985, 132, 149–156. [Google Scholar] [CrossRef]
- Guardado, J.; Cornick, K. A computer model for calculating steep-fronted surge distribution in machine windings. IEEE Trans. Energy Convers. 1989, 4, 95–101. [Google Scholar] [CrossRef]
- Paul, C.R. Analysis of Multiconductor Transmission Lines, 2nd ed.; John Wiley & Sons Inc.: Hoboken, NJ, USA, 2008. [Google Scholar]
- Lupo, G.; Petrarca, C.; Vitelli, M.; Tucci, V. Multiconductor transmission line analysis of steep-front surges in machine windings. IEEE Trans. Dielectr. Electr. Insul. 2002, 9, 467–478. [Google Scholar] [CrossRef]
- Melfi, M.; Sung, A.; Bell, S.; Skibinski, G. Effect of surge voltage risetime on the insulation of low-voltage machines fed by PWM converters. IEEE Trans. Ind. Appl. 1998, 34, 766–775. [Google Scholar] [CrossRef]
- Bonnett, A. Analysis of the impact of pulse-width modulated inverter voltage waveforms on AC induction motors. IEEE Trans. Ind. Appl. 1996, 32, 386–392. [Google Scholar] [CrossRef]
- Suresh, G.; Toliyat, H.; Rendusara, D.; Enjeti, P. Predicting the transient effects of PWM voltage waveform on the stator windings of random wound induction motors. IEEE Trans. Power Electron. 1999, 14, 23–30. [Google Scholar] [CrossRef]
- Mirafzal, B.; Skibinski, G.L.; Tallam, R.M.; Schlegel, D.W.; Lukaszewski, R.A. Universal Induction Motor Model with Low-to-High Frequency-Response Characteristics. IEEE Trans. Ind. Appl. 2007, 43, 1233–1246. [Google Scholar] [CrossRef]
- Hussain, M.K.; Gomez, P.; Espino-Cortes, F.P. Electromagnetic transient modeling of form-wound stator coils with stress grading system under PWM excitation. Electr. Power Syst. Res. 2021, 195, 107166. [Google Scholar] [CrossRef]
- Nuricumbo-Guillén, R.; Cortés, F.P.E.; Gómez, P.; Martínez, C.T. Computation of Transient Profiles along Nonuniform Transmission Lines Including Time-Varying and Nonlinear Elements Using the Numerical Laplace Transform. Energies 2019, 12, 3227. [Google Scholar] [CrossRef] [Green Version]
- Diab, M.; Zhou, W.; Emersic, C.; Yuan, X.; Cotton, I. Impact of PWM voltage waveforms on magnet wire insulation partial discharge in SiC-based motor drives. IEEE Access 2021, 9, 156599–156612. [Google Scholar] [CrossRef]
- Ju, X.; Cheng, Y.; Yang, M.; Cui, S.; Sun, A.; Liu, X.; He, M.H. Voltage Stress Calculation and Measurement for Hairpin Winding of EV Traction Machines Driven by SiC MOSFET. IEEE Trans. Ind. Electron. 2021, 69, 8803–8814. [Google Scholar] [CrossRef]
- Taghia, B.; Cougo, B.; Piquet, H.; Malec, D.; Belinger, A.; Carayon, J.-P. Overvoltage at motor terminals in SiC-based PWM drives. Math. Comput. Simul. 2019, 158, 264–280. [Google Scholar] [CrossRef] [Green Version]
- Barzkar, A.; Ghassemi, M. Components of Electrical Power Systems in More and All-Electric Aircraft: A Review. IEEE Trans. Transp. Electrif. 2022, 1. [Google Scholar] [CrossRef]
- Ghassemi, M.; Barzkar, A.; Saghafi, M. All-Electric NASA N3-X Aircraft Electric Power Systems. IEEE Trans. Transp. Electrif. 2022, 1. [Google Scholar] [CrossRef]
- Barzkar, A.; Ghassemi, M. Electric power systems in more and all electric aircraft: A review. IEEE Access 2020, 8, 169314–169332. [Google Scholar] [CrossRef]
- Ardeshiri, A.; Lotfi, A.; Behkam, R.; Moradzadeh, A.; Barzkar, A. Introduction and literature review of power system challenges and issues. In Application of Machine Learning and Deep Learning Methods to Power System Problems; Springer: Cham, Switzerland, 2021. [Google Scholar]
- Barzkar, A.; Tahami, F.; Barzkar, A. A hybrid control approach for LLC resonant converter. In Proceedings of the 2021 12th Power Electronics, Drive Systems, and Technologies Conference (PEDSTC 2021), Tabriz, Iran, 2–4 February 2021; pp. 1–6. [Google Scholar]
- Millan, J.; Godignon, P.; Perpina, X.; Perez-Tomas, A.; Rebollo, J. A Survey of Wide Bandgap Power Semiconductor Devices. IEEE Trans. Power Electron. 2013, 29, 2155–2163. [Google Scholar] [CrossRef]
- Wang, F.F.; Zhang, Z. Overview of Silicon Carbide Technology: Device, Converter, System, and Application. CPSS Trans. Power Electron. Appl. 2016, 1, 13–32. [Google Scholar] [CrossRef]
- She, X.; Huang, A.Q.; Lucia, O.; Ozpineci, B. Review of Silicon Carbide Power Devices and Their Applications. IEEE Trans. Ind. Electron. 2017, 64, 8193–8205. [Google Scholar] [CrossRef]
- Hussain, M.K.; Gomez, P. Optimized dielectric design of stator windings from medium voltage induction machines fed by fast front pulses. IEEE Trans. Dielectr. Electr. Insul. 2017, 24, 837–846. [Google Scholar] [CrossRef]
- Ghassemi, M. High power density technologies for large generators and motors for marine applications with focus on electrical insulation challenges. High Volt. 2020, 5, 7–14. [Google Scholar] [CrossRef]
- Ghassemi, M. Accelerated insulation aging due to fast, repetitive voltages: A review identifying challenges and future research needs. IEEE Trans. Dielectr. Electr. Insul. 2019, 26, 1558–1568. [Google Scholar] [CrossRef]
- Bewley, L.V. Traveling Waves on Transmission Systems. Cond. Affect. Success Main Line Electrif. 1931, 50, 532–550. [Google Scholar] [CrossRef]
- Madonna, V.; Giangrande, P.; Zhao, W.; Zhang, H.; Gerada, C.; Galea, M. On the Design of Partial Discharge-Free Low Voltage Electrical Machines. In Proceedings of the 2019 IEEE International Electric Machines & Drives Conference (IEMDC), San Deigo, CA, USA, 12–15 May 2019. [Google Scholar]
- Xu, Y.; Yuan, X.; Ye, F.; Wang, Z.; Zhang, Y.; Diab, M.; Zhou, W. Impact of High Switching Speed and High Switching Frequency of Wide-Bandgap Motor Drives on Electric Machines. IEEE Access 2021, 9, 82866–82880. [Google Scholar] [CrossRef]
- Hussain, M.; Gomez, P. Optimal filter tuning to minimize the transient overvoltages on machine windings fed by PWM inverters. In Proceedings of the 49th North American Power Symposium (NAPS), Morgantown, WV, USA, 17–19 September 2017. [Google Scholar]
- He, J.; Li, C.; Jassal, A.; Thiagarajan, N.; Zhang, Y.; Prabhakaran, S.; Feliz, C.; Graham, J.; Kang, X. Multi-domain design optimization of dv/dt filter for SiC-based three-phase inverters in high-frequency motor-drive applications. IEEE Trans. Ind. Appl. 2019, 55, 5214–5222. [Google Scholar]
- Diab, M.S.; Zhou, W.; Yuan, X. Evaluation of topologies and active control methods for overvoltage mitigation in SiC-based motor drives. In Proceedings of the IEEE Energy Conversion Congress and Exposition (ECCE), Vancouver, BC, Canada, 10–14 October 2021. [Google Scholar]
- Sundeep, S.; Wang, J.; Griffo, A. Holistic Modeling of High-Frequency Behavior of Inverter-Fed Machine Winding, Considering Mutual Couplings in Time Domain. IEEE Trans. Ind. Appl. 2021, 57, 6044–6057. [Google Scholar] [CrossRef]
- Olszewski, M. Evaluation of the 2010 Toyota Prius Hybrid Synergy Drive System. 2011. Available online: https://info.ornl.gov/sites/publications/files/Pub26762.pdf (accessed on 2 May 2022).
- De Paula, H.; de Andrade, D.A.; Chaves, M.L.R.; Domingos, J.L.; de Freitas, M.A.A. Methodology for Cable Modeling and Simulation for High-Frequency Phenomena Studies in PWM Motor Drives. IEEE Trans. Power Electron. 2008, 23, 744–752. [Google Scholar] [CrossRef]
- IEC/TS 61800-8; Adjustable Speed Electrical Power Drive Systems—Part 8: Specification of Voltage on the Power Interface. International Electrotechnical Commission: Geneva, Switzerland, 2010.
- Gustavsen, B.; Semlyen, A. Rational approximation of frequency domain responses by vector fitting. IEEE Trans. Power Deliv. 1999, 14, 1052–1061. [Google Scholar] [CrossRef] [Green Version]
- Sundeep, S.; Wang, J.; Griffo, A. Prediction of Transient Voltage Distribution in Inverter-fed Stator Winding, Considering Mutual Couplings in Time Domain. In Proceedings of the IEEE Energy Conversion Congress and Exposition (ECCE 2020), Detroit, MI, USA, 11–15 October 2020. [Google Scholar]

























| Parameter | Value |
|---|---|
| Lamination Dimensions[37] | |
| Stator OD * | 26.4 cm |
| Stator ID * | 16.19 cm |
| Stator stack length | 5.08 cm |
| Lamination thickness | 0.305 mm |
| Stator Wiring[37] | |
| Number of stator slots | 48 |
| Stator turns per coil | 11 |
| Parallel circuit per phase | 0 |
| Coils in series per phase | 8 |
| Number of wires in parallel in each turn | 12 |
| Wire size | 20 AWG |
| Phase resistance at 21 °C | 0.077 Ω |
| Slot depth | 30.9 mm |
| Slot opening | 1.88 mm |
| Insulation[36] | |
| Thickness of wire insulation | 0.025 mm |
| Thickness of ground-wall insulation | 0.35 mm |
| Permittivity of turn insulation | 3.5 C2/N.m2 |
| Permittivity of main wall insulation | 3.5 C2/N.m2 |
| Turn no. | 1 | 2 | 3 | 4 | 5 | 6 | 7 | 8 | 9 | 10 | 11 |
|---|---|---|---|---|---|---|---|---|---|---|---|
| 1 | 1.00 × 10−10 | −6.41 × 10−11 | −1.09 × 10−16 | ||||||||
| 2 | −6.41 × 10−11 | 1.42 × 10−10 | −6.43 × 10−11 | −3.06 × 10−16 | |||||||
| 3 | −1.09 × 10−16 | −6.43 × 10−11 | 1.41 × 10−10 | −6.44 × 10−11 | −7.25 × 10−16 | ||||||
| 4 | −3.06 × 10−16 | −6.44 × 10−11 | 1.40 × 10−10 | −6.46 × 10−11 | −1.48 × 10−15 | ||||||
| 5 | −7.25 × 10−16 | −6.46 × 10−11 | 1.39 × 10−10 | −6.47 × 10−11 | −7.82 × 10−15 | ||||||
| 6 | −1.48 × 10−15 | −6.47 × 10−11 | 1.40 × 10−10 | −6.76 × 10−11 | −3.30 × 10−17 | ||||||
| 7 | −7.82 × 10−15 | −6.76 × 10−11 | 1.80 × 10−10 | −9.53 × 10−11 | −4.27 × 10−16 | ||||||
| 8 | −3.30 × 10−17 | −9.53 × 10−11 | 2.0 × 10−10 | −9.55 × 10−11 | −8.07 × 10−16 | ||||||
| 9 | −4.27 × 10−16 | −9.55 × 10−11 | 2.02 × 10−10 | −9.56 × 10−11 | −1.45 × 10−15 | ||||||
| 10 | −8.07 × 10−16 | −9.56 × 10−11 | 2.01 × 10−10 | −9.57 × 10−11 | |||||||
| 11 | −1.45 × 10−15 | −9.57 × 10−11 | 1.24 × 10−10 |
| Turn no. | 1 | 2 | 3 | 4 | 5 | 6 | 7 | 8 | 9 | 10 | 11 |
|---|---|---|---|---|---|---|---|---|---|---|---|
| 1 | 1.00 × 10−10 | 6.41× 10−11 | 1.09 × 10−16 | ||||||||
| 2 | 6.41 × 10−11 | 1.39 × 10−11 | 6.43 × 10−11 | 3.06 × 10−16 | |||||||
| 3 | 1.09 × 10−16 | 6.43 × 10−11 | 1.22 × 10−11 | 6.44 × 10−11 | 7.25 × 10−16 | ||||||
| 4 | 3.06 × 10−16 | 6.44 × 10−11 | 1.08 × 10−11 | 6.46 × 10−11 | 1.48 × 10−15 | ||||||
| 5 | 7.25 × 10−16 | 6.46 × 10−11 | 9.75 × 10−12 | 6.47 × 10−11 | 7.82 × 10−15 | ||||||
| 6 | 1.48 × 10−15 | 6.47 × 10−11 | 7.39 × 10−12 | 6.76 × 10−11 | 3.30 × 10−17 | ||||||
| 7 | 7.82 × 10−15 | 6.76 × 10−11 | 1.74 × 10−11 | 9.53 × 10−11 | 4.27 × 10−16 | ||||||
| 8 | 3.30 × 10−17 | 9.53 × 10−11 | 1.27 × 10−11 | 9.55 × 10−11 | 8.07 × 10−16 | ||||||
| 9 | 4.27 × 10−16 | 9.55 × 10−11 | 1.12 × 10−11 | 9.56 × 10−11 | 1.45 × 10−15 | ||||||
| 10 | 8.07 × 10−16 | 9.56 × 10−11 | 1.01 × 10−11 | 9.57 × 10−11 | |||||||
| 11 | 1.45 × 10−15 | 9.57 × 10−11 | 2.87 × 10−11 |
| T. no./Freq. | 1 | 2 | 3 | 4 | 5 | 6 | 7 | 8 | 9 | 10 | 11 |
|---|---|---|---|---|---|---|---|---|---|---|---|
| 50 Hz | 5.45 × 10−6 | 2.46 × 10−6 | 5.81 × 10−7 | 1.46 × 10−7 | 3.84 × 10−8 | 1.06 × 10−8 | 3.12 × 10−9 | 1.40 × 10−9 | 6.39 × 10−10 | 2.87 × 10−10 | 1.14 × 10−10 |
| 100 Hz | 5.45 × 10−6 | 2.46 × 10−6 | 5.81 × 10−7 | 1.46 × 10−7 | 3.84 × 10−8 | 1.06 × 10−8 | 3.12 × 10−9 | 1.40 × 10−9 | 6.39 × 10−10 | 2.87 × 10−10 | 1.14 × 10−10 |
| 1 kHz | 5.45 × 10−6 | 2.46 × 10−6 | 5.81 × 10−7 | 1.46 × 10−7 | 3.84 × 10−8 | 1.06 × 10−8 | 3.12 × 10−9 | 1.40 × 10−9 | 6.39 × 10−10 | 2.87 × 10−10 | 1.14 × 10−10 |
| 10 kHz | 5.40 × 10−6 | 2.44 × 10−6 | 5.81 × 10−7 | 1.46 × 10−7 | 3.86 × 10−8 | 1.07 × 10−8 | 3.13 × 10−9 | 1.41 × 10−9 | 6.37 × 10−10 | 2.85 × 10−10 | 1.13 × 10−10 |
| 100 kHz | 4.27 × 10−6 | 2.09 × 10−6 | 6.39 × 10−7 | 1.96 × 10−7 | 5.98 × 10−8 | 1.80 × 10−8 | 5.36 × 10−9 | 2.33 × 10−9 | 9.90 × 10−10 | 3.90 × 10−10 | 1.08 × 10−10 |
| 1 MHz | 3.53 × 10−6 | 1.92 × 10−6 | 7.62 × 10−7 | 3.11 × 10−7 | 1.29 × 10−7 | 5.31 × 10−8 | 2.08 × 10−8 | 1.16 × 10−8 | 6.47 × 10−9 | 3.61 × 10−9 | 1.94 × 10−9 |
| 10 MHz | 3.28 × 10−6 | 1.87 × 10−6 | 8.19 × 10−7 | 3.70 × 10−7 | 1.71 × 10−7 | 7.78 × 10−8 | 3.37 × 10−8 | 2.03 × 10−8 | 1.24 × 10−8 | 7.62 × 10−9 | 4.70 × 10−9 |
| T. no./Freq. | 1 | 2 | 3 | 4 | 5 | 6 | 7 | 8 | 9 | 10 | 11 |
|---|---|---|---|---|---|---|---|---|---|---|---|
| 50 Hz | 0.0964 | 4.66 × 10−10 | 5.25 × 10−11 | 5.30 × 10−11 | 2.42 × 10−11 | 9.26 × 10−12 | 3.24 × 10−12 | 1.61 × 10−12 | 8.05 × 10−13 | 3.96 × 10−13 | 1.78 × 10−13 |
| 100 Hz | 0.0964 | 9.32 × 10−10 | 1.05 × 10−10 | 1.06 × 10−10 | 4.84 × 10−11 | 1.85 × 10−11 | 6.48 × 10−12 | 3.22 × 10−12 | 1.61 × 10−12 | 7.92 × 10−13 | 3.57 × 10−13 |
| 1 kHz | 0.0964 | 9.32 × 10−9 | 1.05 × 10−9 | 1.06 × 10−9 | 4.84 × 10−10 | 1.85 × 10−10 | 6.48 × 10−11 | 3.22 × 10−11 | 1.61 × 10−11 | 7.92 × 10−12 | 3.57 × 10−12 |
| 10 kHz | 0.1137 | 8.98 × 10−8 | 1.07 × 10−8 | 1.06 × 10−8 | 4.84 × 10−9 | 1.86 × 10−9 | 6.50 × 10−10 | 3.24 × 10−10 | 1.62 × 10−10 | 7.96 × 10−11 | 3.59 × 10−11 |
| 100 kHz | 0.5749 | 2.09 × 10−7 | 8.02 × 10−8 | 6.96 × 10−8 | 3.66 × 10−8 | 1.62 × 10−8 | 6.31 × 10−9 | 3.42 × 10−9 | 1.85 × 10−9 | 9.80 × 10−10 | 4.86 × 10−10 |
| 1 MHz | 2.0714 | 6.75 × 10−8 | 5.79 × 10−8 | 5.70 × 10−8 | 3.72 × 10−8 | 2.05 × 10−8 | 9.93 × 10−9 | 6.39 × 10−9 | 4.10 × 10−9 | 2.64 × 10−9 | 1.70 × 10−9 |
| 10 MHz | 7.5029 | 2.37 × 10−8 | 2.60 × 10−8 | 2.74 × 10−8 | 1.94 × 10−8 | 1.16 × 10−8 | 6.15 × 10−9 | 4.23 × 10−9 | 2.92 × 10−9 | 2.02 × 10−9 | 1.43 × 10−9 |
| T. no. | R1 | R2 | R3 | R4 | R5 | R6 | L1 | L2 | L3 | L4 | L5 | L6 |
|---|---|---|---|---|---|---|---|---|---|---|---|---|
| 1 | 0.42 | 0.14 | 1.08 | 0.73 | 2.37 | 9.11 | 9.27 × 10−9 | 1.60 × 10−9 | 1.70 × 10−6 | 8.29 × 10−7 | 3.40 × 10−7 | 3.23 × 10−6 |
| 2 | 2.70 | 0.20 | 0.29 | 1.03 | 3.46 | 13.62 | 1.51 × 10−7 | 2.24 × 10−8 | 2.22 × 10−6 | 1.22 × 10−6 | 5.49 × 10−7 | 3.45 × 10−6 |
| 3 | 0.96 | 0.30 | 0.20 | 1.04 | 3.78 | 15.29 | 1.16 × 10−9 | 1.85 × 10−8 | 2.27 × 10−6 | 1.29 × 10−6 | 5.78 × 10−7 | 3.65 × 10−6 |
| 4 | 8.88 | 0.40 | 0.15 | 1.07 | 3.95 | 16.24 | 1.31 × 10−9 | 2.78 × 10−9 | 2.32 × 10−6 | 1.33 × 10−6 | 6.15 × 10−7 | 3.82 × 10−6 |
| 5 | 1.00 | 1.01 | 0.15 | 1.50 | 3.00 | 17.41 | 1.47 × 10−8 | 1.92 × 10−8 | 2.36 × 10−6 | 1.40 × 10−6 | 6.51 × 10−7 | 3.94 × 10−6 |
| 6 | 0.21 | 2.00 | 0.20 | 1.20 | 4.51 | 18.11 | 9.78 × 10−9 | 1.06 × 10−8 | 2.60 × 10−6 | 1.52 × 10−6 | 6.99 × 10−7 | 3.81 × 10−6 |
| 7 | 1.00 | 0.15 | 0.50 | 1.25 | 3.69 | 14.06 | 1.80 × 10−10 | 1.26 × 10−11 | 2.47 × 10−6 | 1.24 × 10−6 | 5.41 × 10−7 | 3.17 × 10−6 |
| 8 | 0.45 | 0.35 | 0.20 | 1.00 | 3.82 | 14.25 | 3.00 × 10−9 | 2.82 × 10−9 | 2.65 × 10−6 | 1.34 × 10−6 | 5.49 × 10−7 | 3.08 × 10−6 |
| 9 | 0.20 | 0.25 | 1.00 | 1.80 | 3.92 | 14.42 | 4.72 × 10−9 | 3.47 × 10−12 | 2.71 × 10−6 | 1.35 × 10−6 | 5.61 × 10−7 | 3.12 × 10−6 |
| 10 | 0.32 | 0.32 | 0.32 | 1.15 | 3.71 | 13.65 | 1.75 × 10−9 | 3.91 × 10−9 | 2.60 × 10−6 | 1.27 × 10−6 | 5.34 × 10−7 | 3.18 × 10−6 |
| 11 | 0.35 | 0.35 | 0.35 | 0.90 | 2.63 | 10.49 | 4.65 × 10−9 | 2.62 × 10−9 | 1.71 × 10−6 | 9.07 × 10−7 | 4.06 × 10−7 | 3.24 × 10−6 |
Publisher’s Note: MDPI stays neutral with regard to jurisdictional claims in published maps and institutional affiliations. |
© 2022 by the authors. Licensee MDPI, Basel, Switzerland. This article is an open access article distributed under the terms and conditions of the Creative Commons Attribution (CC BY) license (https://creativecommons.org/licenses/by/4.0/).
Share and Cite
Barzkar, A.; Ghassemi, M. Precise Evaluation of Repetitive Transient Overvoltages in Motor Windings in Wide-Bandgap Drive Systems. Vehicles 2022, 4, 697-726. https://doi.org/10.3390/vehicles4030040
Barzkar A, Ghassemi M. Precise Evaluation of Repetitive Transient Overvoltages in Motor Windings in Wide-Bandgap Drive Systems. Vehicles. 2022; 4(3):697-726. https://doi.org/10.3390/vehicles4030040
Chicago/Turabian StyleBarzkar, Ashkan, and Mona Ghassemi. 2022. "Precise Evaluation of Repetitive Transient Overvoltages in Motor Windings in Wide-Bandgap Drive Systems" Vehicles 4, no. 3: 697-726. https://doi.org/10.3390/vehicles4030040
APA StyleBarzkar, A., & Ghassemi, M. (2022). Precise Evaluation of Repetitive Transient Overvoltages in Motor Windings in Wide-Bandgap Drive Systems. Vehicles, 4(3), 697-726. https://doi.org/10.3390/vehicles4030040

