Cheese and Yogurt By-Products as Valuable Ingredients for the Production of Prebiotic Oligosaccharides
Abstract
1. Introduction
2. Materials and Methods
2.1. Whey Supply and Determination of Components
2.2. Commercial Biocatalysts
2.3. Enzymatic Bioconversion of Whey Lactose
2.4. Determination of Enzymatic Bioconversion Products
2.5. Data and Statistical Analysis
3. Results and Discussion
3.1. Raw Materials Charactrerization
3.2. Enzymatic Bioconversion of Lactose in Dairy By-Products
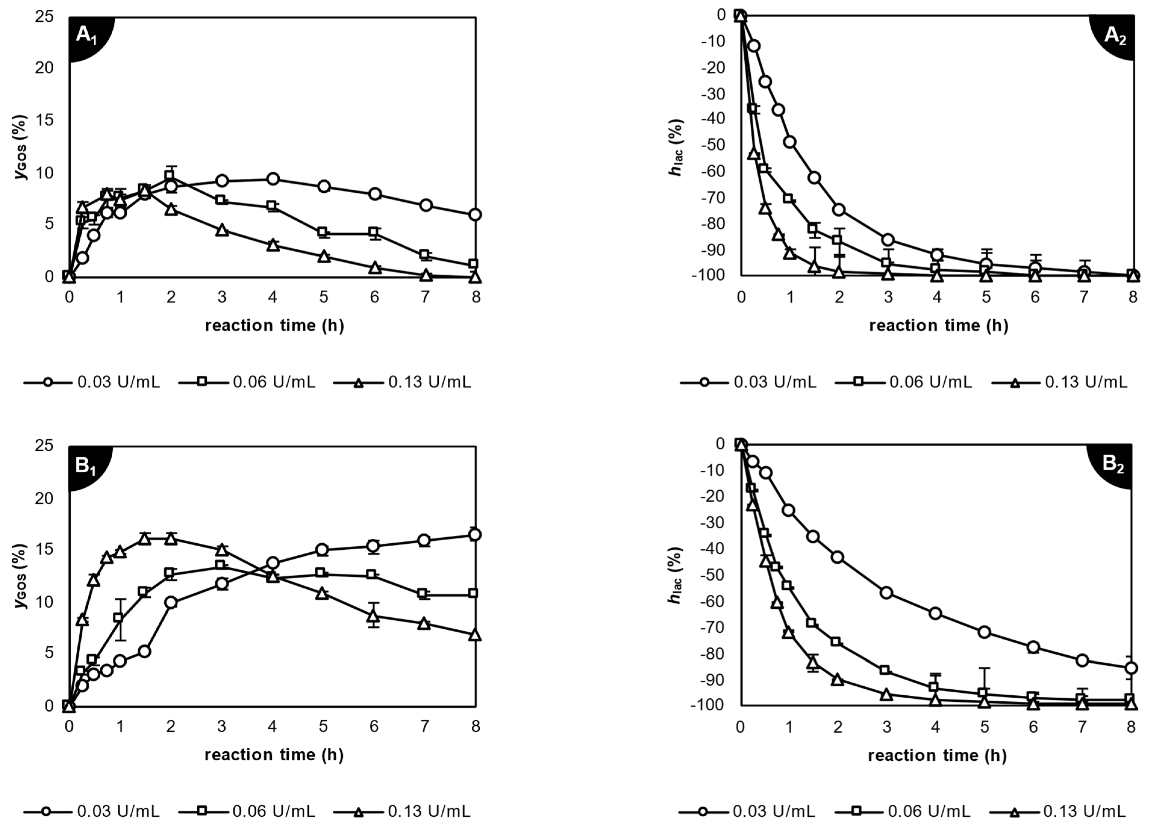
3.2.1. Utilization of Lactase from Kluyveromyces lactis
3.2.2. Utilization of Lactase from Aspergillus oryzae
| Whey Type | Lactase Origin | T (°C) | pH | clac(0) (% w/v) | AE (U/mL) | yGOS(max) (%) | tGOS(max) (h) | hlac (%) |
|---|---|---|---|---|---|---|---|---|
| sweet | Kluyveromyces lactis | 35 | 7.2 | 5.1 | 0.03 | 9.41 ± 0.22 cd | 4 | 91.8 ± 2.4 pq |
| 0.06 | 9.64 ± 1.09 d | 2 | 86.9 ± 5.4 no | |||||
| 0.13 | 7.99 ± 0.55 bc | 0.75 | 83.8 ± 0.1 n | |||||
| 10 | 0.03 | 16.5 ± 0.7 lmno | 8 | 85.3 ± 4.3 no | ||||
| 0.06 | 13.4 ± 0.3 fghi | 3 | 87.1 ± 0.3 no | |||||
| 0.13 | 16.1 ± 0.5 klmn | 2 | 89.5 ± 0.1 op | |||||
| 15 | 0.03 | 18.3 ± 0.5 op | 8 | 85.5 ± 1.9 no | ||||
| 0.06 | 20.3 ± 0.3 qr | 7 | 92.3 ± 1.2 pq | |||||
| 0.13 | 21.7 ± 0.2 r | 5 | 95.6 ± 1.5 q | |||||
| Aspergillus oryzae | 45 | 4.5 | 5.1 | 0.5 | 12.4 ± 0.7 efg | 1 | 22.3 ± 0.4 b | |
| 1 | 11.8 ± 0.6 ef | 1 | 30.1 ± 0.4 cd | |||||
| 2 | 11.4 ± 0.8 e | 0.25 | 26.7 ± 0.3 c | |||||
| 10 | 1 | 14.0 ± 0.1 ghij | 1.5 | 34.8 ± 1.3 ef | ||||
| 2 | 17.3 ± 1.8 nop | 2 | 40.5 ± 2.1 hi | |||||
| 4 | 17.3 ± 0.1 nop | 0.75 | 46.0 ± 0.9 j | |||||
| 15 | 1 | 16.8 ± 0.3 mno | 2 | 36.5 ± 0.1 fgh | ||||
| 2 | 17.9 ± 1.6 nop | 1 | 35.5 ± 2.0 fg | |||||
| 4 | 17.5 ± 0.8 nop | 0.25 | 27.7 ± 0.1 cd | |||||
| acid * | Kluyveromyces lactis | 35 | 7.2 | 3.1 | 0.06 | 21.2 ± 1.8 r | 3 | 78.9 ± 5.5 m |
| 0.13 | 23.7 ± 1.4 s | 1.5 | 76.0 ± 1.1 m | |||||
| 0.26 | 15.6 ± 1.2 jklm | 0.75 | 70.6 ± 1.8 l | |||||
| 10 | 0.06 | 13.0 ± 0.6 efgh | 4 | 46.3 ± 4.8 j | ||||
| 0.13 | 14.9 ± 1.8 ijkl | 2 | 49.3 ± 0.8 j | |||||
| 0.26 | 12.4 ± 1.0 efg | 1 | 31.2 ± 3.4 de | |||||
| 15 | 0.06 | 21.3 ± 1.1 r | 6 | 68.3 ± 4.6 l | ||||
| 0.13 | 14.8 ± 1.1 hijkl | 3 | 54.0 ± 4.0 k | |||||
| 0.26 | 18.8 ± 2.3 pq | 1.5 | 57.0 ± 4.0 k | |||||
| Aspergillus oryzae | 45 | 4.5 | 3.1 | 0.5 | 5.88 ± 1.11 a | 3 | 35.6 ± 0.1 fg | |
| 1 | 6.67 ± 0.46 ab | 2 | 38.5 ± 0.2 fghi | |||||
| 2 | 7.86 ± 0.10 bc | 0.5 | 17.8 ± 0.3 a | |||||
| 10 | 1 | 14.4 ± 0.3 hijk | 6 | 31.3 ± 0.2 de | ||||
| 2 | 13.4 ± 0.2 fghi | 3 | 39.7 ± 1.4 ghi | |||||
| 4 | 13.3 ± 0.6 fghi | 1.5 | 39.2 ± 1.1 ghi | |||||
| 15 | 1 | 14.9 ± 0.7 ijkl | 10 | 31.2 ± 0.7 de | ||||
| 2 | 12.3 ± 0.8 efg | 9 | 41.6 ± 0.2 i | |||||
| 4 | 12.3 ± 0.6 efg | 4 | 42.1 ± 0.5 i |
3.3. Profiles of Galactooligosaccharides Produced from Sweet and Acid Whey
4. Conclusions
Author Contributions
Funding

Institutional Review Board Statement
Data Availability Statement
Conflicts of Interest
References
- Jelen, P. WHEY PROCESSING | Utilization and Products. Encycl. Dairy Sci. 2011, 731–737. [Google Scholar] [CrossRef]
- Menchik, P.; Zuber, T.; Zuber, A.; Moraru, C.I. Short Communication: Composition of Coproduct Streams from Dairy Processing: Acid Whey and Milk Permeate. J. Dairy Sci. 2019, 102, 3978–3984. [Google Scholar] [CrossRef] [PubMed]
- Nishanthi, M.; Vasiljevic, T.; Chandrapala, J. Properties of Whey Proteins Obtained from Different Whey Streams. Int. Dairy J. 2017, 66, 76–83. [Google Scholar] [CrossRef]
- Božanić, R.; Barukčić, I.; Lisak, K.; Tratnik, J.; Tratnik, L. Possibilities of Whey Utilisation. Austin J. Nutr. Food Sci. 2014, 2, 1–7. [Google Scholar]
- Rocha-Mendoza, D.; Kosmerl, E.; Krentz, A.; Zhang, L.; Badiger, S.; Miyagusuku-Cruzado, G.; Mayta-Apaza, A.; Giusti, M.; Jiménez-Flores, R.; García-Cano, I. Invited Review: Acid Whey Trends and Health Benefits. J. Dairy Sci. 2021, 104, 1262–1275. [Google Scholar] [CrossRef] [PubMed]
- OECD. OECD-FAO Agricultural Outlook 2023–2032; OECD-FAO Agricultural Outlook; OECD: Paris, France, 2023; ISBN 9789264619333. [Google Scholar]
- Erickson, B.E. Acid Whey: Is the Waste Product an Untapped Goldmine? Companies, Food Scientists Develop Innovative Solutions to Handle Tons of Greek Yogurt Byproduct. Chem. Eng. News 2017, 95, 26–30. [Google Scholar]
- Greek Yogurt Market. 2022. Available online: https://www.factmr.com/report/269/greek-yogurt-market (accessed on 28 December 2023).
- Smithers, G.W. Whey and Whey Proteins-From “Gutter-to-Gold”. Int. Dairy J. 2008, 18, 695–704. [Google Scholar] [CrossRef]
- Ketterings, Q.; Czymmek, K.; Gami, S.; Godwin, G.; Ganoe, K. Guidelines for Land Application of Acid Whey; Cornell University Department of Animal Science Publication Series; Cornell University: Ithaca, NY, USA, 2017; Volume 247. [Google Scholar]
- Fischer, C.; Kleinschmidt, T. Synthesis of Galactooligosaccharides in Milk and Whey: A Review. Compr. Rev. Food Sci. Food Saf. 2018, 17, 678–697. [Google Scholar] [CrossRef]
- Gosling, A.; Stevens, G.W.; Barber, A.R.; Kentish, S.E.; Gras, S.L. Recent Advances Refining Galactooligosaccharide Production from Lactose. Food Chem. 2010, 121, 307–318. [Google Scholar] [CrossRef]
- Torres, D.P.M.; Gonçalves, M.d.P.F.; Teixeira, J.A.; Rodrigues, L.R. Galacto-Oligosaccharides: Production, Properties, Applications, and Significance as Prebiotics. Compr. Rev. Food Sci. Food Saf. 2010, 9, 438–454. [Google Scholar] [CrossRef] [PubMed]
- Yin, H.; Bultema, J.B.; Dijkhuizen, L.; van Leeuwen, S.S. Reaction Kinetics and Galactooligosaccharide Product Profiles of the β-Galactosidases from Bacillus Circulans, Kluyveromyces Lactis and Aspergillus Oryzae. Food Chem. 2017, 225, 230–238. [Google Scholar] [CrossRef] [PubMed]
- Barile, D.; Rastall, R.A. Human Milk and Related Oligosaccharides as Prebiotics. Curr. Opin. Biotechnol. 2013, 24, 214–219. [Google Scholar] [CrossRef] [PubMed]
- Rodriguez-Colinas, B.; Fernandez-Arrojo, L.; Ballesteros, A.O.; Plou, F.J. Galactooligosaccharides Formation during Enzymatic Hydrolysis of Lactose: Towards a Prebiotic-Enriched Milk. Food Chem. 2014, 145, 388–394. [Google Scholar] [CrossRef] [PubMed]
- Urrutia, P.; Rodriguez-Colinas, B.; Fernandez-Arrojo, L.; Ballesteros, A.O.; Wilson, L.; Illanes, A.; Plou, F.J. Detailed Analysis of Galactooligosaccharides Synthesis with β-Galactosidase from Aspergillus Oryzae. J. Agric. Food Chem. 2013, 61, 1081–1087. [Google Scholar] [CrossRef] [PubMed]
- Srivastava, A.; Mishra, S.; Chand, S. Transgalactosylation of Lactose for Synthesis of Galacto-Oligosaccharides Using Kluyveromyces Marxianus NCIM 3551. N. Biotechnol. 2015, 32, 412–418. [Google Scholar] [CrossRef] [PubMed]
- Yañez-Ñeco, C.V.; Cervantes, F.V.; Amaya-Delgado, L.; Ballesteros, A.O.; Plou, F.J.; Arrizon, J. Synthesis of β(1 → 3) and β(1 → 6) Galactooligosaccharides from Lactose and Whey Using a Recombinant β-Galactosidase from Pantoea Anthophila. Electron. J. Biotechnol. 2021, 49, 14–21. [Google Scholar] [CrossRef]
- Zeuner, B.; Nyffenegger, C.; Mikkelsen, J.D.; Meyer, A.S. Thermostable β-Galactosidases for the Synthesis of Human Milk Oligosaccharides. N. Biotechnol. 2016, 33, 355–360. [Google Scholar] [CrossRef] [PubMed][Green Version]
- Fischer, C.; Kleinschmidt, T. Synthesis of Galactooligosaccharides Using Sweet and Acid Whey as a Substrate. Int. Dairy J. 2015, 48, 15–22. [Google Scholar] [CrossRef]
- Simović, M.; Milivojević, A.; Ćorović, M.; Banjanac, K.; Bezbradica, D. Whey Valorization Using Transgalactosylation Activity of Immobilized β-Galactosidase. Int. J. Food Sci. Technol. 2019, 54, 3074–3082. [Google Scholar] [CrossRef]
- Zerva, A.; Limnaios, A.; Kritikou, A.S.; Thomaidis, N.S.; Taoukis, P.; Topakas, E. A Novel Thermophile β-Galactosidase from Thermothielavioides Terrestris Producing Galactooligosaccharides from Acid Whey. N. Biotechnol. 2021, 63, 45–53. [Google Scholar] [CrossRef]
- Kjeldahl, J. Neue Methode Zur Bestimmung Des Stickstoffs in Organischen Körpern. Z. Anal. Chem. 1883, 22, 366–382. [Google Scholar] [CrossRef]
- van Boekel, M.A.J.S.; Ribadeau Dumas, B. Addendum to the Evaluation of the Kjeldahl Factor for Conversion of the Nitrogen Content of Milk and Milk Products to Protein Content. Neth. Milk Dairy J. 1987, 41, 281–284. [Google Scholar]
- O’Connor, T.P.; O’Brien, N.M. LIPIDS | Analytical Methods. Encycl. Dairy Sci. 2002, 1583–1587. [Google Scholar]
- Borshchevskaya, L.N.; Gordeeva, T.L.; Kalinina, A.N.; Sineokii, S.P. Spectrophotometric Determination of Lactic Acid. J. Anal. Chem. 2016, 71, 755–758. [Google Scholar] [CrossRef]
- Limnaios, A.; Tsevdou, M.; Tsika, E.; Korialou, N.; Zerva, A.; Topakas, E.; Taoukis, P. Production of Prebiotic Galacto-Oligosaccharides from Acid Whey Catalyzed by a Novel β-Galactosidase from Thermothielavioides Terrestris and Commercial Lactases: A Comparative Study. Catalysts 2023, 13, 1360. [Google Scholar] [CrossRef]
- González-Delgado, I.; López-Muñoz, M.J.; Morales, G.; Segura, Y. Optimisation of the Synthesis of High Galacto-Oligosaccharides (GOS) from Lactose with β-Galactosidase from Kluyveromyces Lactis. Int. Dairy J. 2016, 61, 211–219. [Google Scholar] [CrossRef]
- Mano, M.C.R.; Paulino, B.N.; Pastore, G.M. Whey Permeate as the Raw Material in Galacto-Oligosaccharide Synthesis Using Commercial Enzymes. Food Res. Int. 2019, 124, 78–85. [Google Scholar] [CrossRef]
- Jenab, E.; Omidghane, M.; Mussone, P.; Armada, D.H.; Cartmell, J.; Montemagno, C. Enzymatic Conversion of Lactose into Galacto-Oligosaccharides: The Effect of Process Parameters, Kinetics, Foam Architecture, and Product Characterization. J. Food Eng. 2018, 222, 63–72. [Google Scholar] [CrossRef]
- Rico-Rodríguez, F.; Noriega, M.A.; Lancheros, R.; Serrato-Bermúdez, J.C. Kinetics of Galactooligosaccharide (GOS) Production with Two β-Galactosidases Combined: Mathematical Model and Raw Material Effects. Int. Dairy J. 2021, 118, 105015. [Google Scholar] [CrossRef]





| Compound | Sweet Whey | Acid Whey * | |
|---|---|---|---|
| Concentration (g/L) | |||
| Total sugars | 56.33 ± 0.82 a | 38.72 ± 2.81 b | |
| of which: | Lactose | 50.76 ± 0.80 a | 31.18 ± 2.34 b |
| Galactose | 0.88 ± 0.16 a | 7.42 ± 1.56 b | |
| Glucose | n.d. | 0.12 ± 0.09 | |
| Total proteins | 14.06 ± 0.42 a | 2.752 ± 0.421 b | |
| Fat | 0.037 ± 0.009 a | 0.719 ± 0.120 b | |
| Lactic acid | 0.578 ± 0.003 a | 1.37 ± 0.05 b | |
| Solid residue | 73.49 ± 1.40 a | 53.75 ± 2.50 b | |
| Ash | 4.489 ± 0.960 a | 8.964 ± 0.198 b | |
| K+ | 1.363 ± 0.092 a | 1.131 ± 0.038 b | |
| Na+ | 0.3844 ± 0.0255 a | 0.3432 ± 0.0504 a | |
| Ca2+ | 0.3445 ± 0.0730 a | 1.175 ± 0.028 b | |
| Mg2+ | 0.01492 ± 0.00187 a | 0.02926 ± 0.00620 b | |
Disclaimer/Publisher’s Note: The statements, opinions and data contained in all publications are solely those of the individual author(s) and contributor(s) and not of MDPI and/or the editor(s). MDPI and/or the editor(s) disclaim responsibility for any injury to people or property resulting from any ideas, methods, instructions or products referred to in the content. |
© 2024 by the authors. Licensee MDPI, Basel, Switzerland. This article is an open access article distributed under the terms and conditions of the Creative Commons Attribution (CC BY) license (https://creativecommons.org/licenses/by/4.0/).
Share and Cite
Limnaios, A.; Tsevdou, M.; Zafeiri, E.; Topakas, E.; Taoukis, P. Cheese and Yogurt By-Products as Valuable Ingredients for the Production of Prebiotic Oligosaccharides. Dairy 2024, 5, 78-92. https://doi.org/10.3390/dairy5010007
Limnaios A, Tsevdou M, Zafeiri E, Topakas E, Taoukis P. Cheese and Yogurt By-Products as Valuable Ingredients for the Production of Prebiotic Oligosaccharides. Dairy. 2024; 5(1):78-92. https://doi.org/10.3390/dairy5010007
Chicago/Turabian StyleLimnaios, Athanasios, Maria Tsevdou, Eirini Zafeiri, Evangelos Topakas, and Petros Taoukis. 2024. "Cheese and Yogurt By-Products as Valuable Ingredients for the Production of Prebiotic Oligosaccharides" Dairy 5, no. 1: 78-92. https://doi.org/10.3390/dairy5010007
APA StyleLimnaios, A., Tsevdou, M., Zafeiri, E., Topakas, E., & Taoukis, P. (2024). Cheese and Yogurt By-Products as Valuable Ingredients for the Production of Prebiotic Oligosaccharides. Dairy, 5(1), 78-92. https://doi.org/10.3390/dairy5010007

