An Appraisal of the Understanding Pressure Effects on Structural, Optical, and Magnetic Properties of CsMnF4 and Other 3dn Compounds
Abstract
1. Introduction
2. Results and Discussions
2.1. Structure of CsMnF4
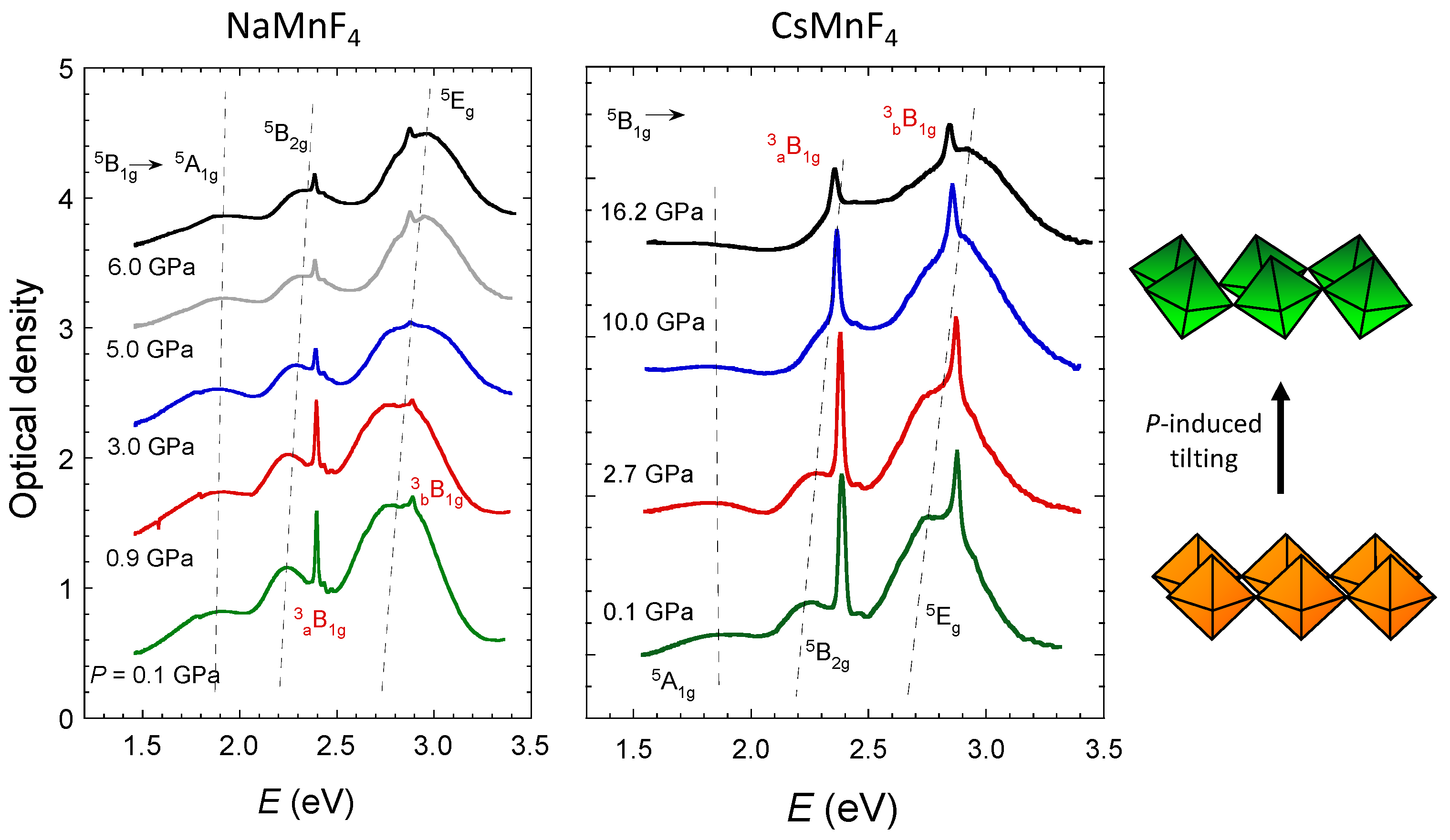
2.2. Pressure Dependence of the Optical and Electronic Properties
2.3. Optical Band Assignment of Mn3+ Fluorides
2.4. Magnetic Properties of CsMnF4
2.5. High-Spin to Low-Spin Transition at 37 GPa
2.6. The Jahn–Teller Effect: Theorem, Theory, and Molecular Distortion
3. Conclusions
Funding
Data Availability Statement
Acknowledgments
Conflicts of Interest
Abbreviations
| JT | Jahn–Teller |
| XRD | X-ray diffraction |
| HS | High Spin |
| LS | Low Spin |
| nD | n Dimensional |
Appendix A

References
- Santamaría, G.; Fernández-Ruiz, T.; García-Lastra, J.M.; García-Fernández, P.; Sánchez-Movellán, I.; Moreno, M.; Aramburu, J.A. Understanding Pressure Effects on Structural, Optical, and Magnetic Properties of CsMnF4 and Other 3dn Compounds. Inorg. Chem. 2024, 63, 13231–13243. [Google Scholar] [CrossRef]
- Morón, M.C.; Palacio, F.; Clark, S.M.; Paduan-Filho, A. Structural and magnetic behavior of the S= 2 layered ferromagnet CsMnF4 under hydrostatic pressure. Phys. Rev. B (Rapid Comm.) 1995, 51, 8660. [Google Scholar] [CrossRef] [PubMed]
- Morón, M.C.; Palacio, F.; Clark, S.M. Pressure-induced structural phase transitions in the AMnF4 series (A= Cs, Rb, K) studied by synchrotron x-ray powder diffraction: Correlation between hydrostatic and chemical pressure. Phys. Rev. B 1996, 54, 7052. [Google Scholar] [CrossRef] [PubMed]
- Rodríguez, F.; Aguado, F.; Itie, J.P.; Hanfland, M. Structural Correlation in Jahn–Teller Systems of Cu2+ and Mn3+ under Pressure. J. Phys. Soc. Jpn. 2007, 76, 1–4. [Google Scholar] [CrossRef]
- Aguado, F.; Rodríguez, F.; Valiente, R.; Señas, A.; Goncharenko, I. Three-dimensional magnetic ordering in the Rb2CuCl4 layer perovskite—Structural correlations. J. Phys. Cond. Matter 2004, 16, 1927. [Google Scholar] [CrossRef][Green Version]
- Santamaría Fernández, G. Propiedades Estructurales, Magnéticas y Ópticas del Material en Capas CsMnF4 Reanalizadas a la luz de Simulaciones de Primeros Principios. Bachelor Thesis, University of Cantabria, Santander, Spain, 2021. Available online: http://hdl.handle.net/10902/23584 (accessed on 2 March 2025).
- Aguado, F.; Rodriguez, F.; Núñez, P. Pressure-induced Jahn-Teller suppression and simultaneous high-spin to low-spin transition in the layered perovskite CsMnF4. Phys. Rev. B 2007, 76, 094417. [Google Scholar] [CrossRef]
- Rodríguez, F.; Aguado, F. Correlations between structure and optical properties in Jahn–Teller Mn3+ fluorides: A study of TlMnF4 and NaMnF4 under pressure. J. Chem. Phys. 2003, 118, 10867–10875. [Google Scholar] [CrossRef]
- Aguado, F.; Rodríguez, F.; Núñez, P. Pressure effects on NaMnF4: Structural correlations and Jahn-Teller effect from crystal-field spectroscopy. Phys. Rev. B 2003, 67, 205101. [Google Scholar] [CrossRef]
- Rodríguez, F.; Núñez, P.; De Lucas, M. Polarized optical absorption spectroscopy of the Tl2MnF5.H2O 1D manganese(III) single crystal. J. Sol. St. Chem. 1994, 110, 370–383. [Google Scholar] [CrossRef]
- Ishizuka, M.; Henmi, S.; Endo, S.; Morón, M.C.; Palacio, F. Magnetic behavior of CsMnF4 under high pressure. J. Magn. Magn. Mat. 1999, 196, 440–442. [Google Scholar] [CrossRef]
- Candela, M.T.; Jara, E.; Aguado, F.; Valiente, R.; Rodríguez, F. Structural Correlations in Jahn–Teller Systems of Mn3+ and Cu2+: Unraveling Local Structures through Spectroscopic Techniques. J. Phys. Chem. C 2020, 124, 22692–22703. [Google Scholar] [CrossRef]
- Tanabe, Y.; Sugano, S. On the Absorption Spectra of Complex Ions. I. J. Phys. Soc. Jpn. 1954, 9, 753–766. [Google Scholar] [CrossRef]
- Griffith, J.S. The Theory of Transition Metal Ions; Cambridge University Press: Cambridge, UK, 1980; pp. 261, 412, 413. [Google Scholar]
- Tsuchiya, T.; Wentzcovitch, R.M.; Da Silva, C.R.; De Gironcoli, S.; Tsuchiya, J. Pressure induced high spin to low spin transition in magnesiowüstite. Phys. Status Solidi (b) 2006, 243, 2111–2116. [Google Scholar] [CrossRef]
- Hsu, H.; Umemoto, K.; Cococcioni, M.; Wentzcovitch, R. First-principles study for low-spin LaCoO3 with a structurally consistent Hubbard U. Phys. Rev. B 2009, 79, 125124. [Google Scholar] [CrossRef]
- Hauser, A. Ligand field theoretical considerations. In Spin Crossover in Transition Metal Compounds I; Gütlich, P., Goodwin, H.A., Eds.; Springer Science & Business Media: Berlin/Heidelberg, Germany, 2004; pp. 49–58. [Google Scholar]
- Gütlich, P.; Gaspar, A.B.; Garcia, Y. Spin state switching in iron coordination compounds. Beilstein J. Org. Chem. 2013, 9, 342–391. [Google Scholar] [CrossRef] [PubMed]
- Seredyuk, M.L.; Znovjyak, K.O.; Fritsky, I.O. Influence of Cooperative Interactions on the Spin Crossover Phenomenon in Iron(II) Complexes: A Review. Theor. Exp. Chem. 2022, 58, 75–89. [Google Scholar] [CrossRef]
- Jahn, H.A.; Teller, E. Stability of Polyatomic Molecules in Degenerate Electronic States I. Orbital Degeneracy. Proc. R. Soc. A 1937, 161, 220–235. [Google Scholar] [CrossRef]
- Öpik, U.; Pryce, M.H.L. Studies of the Jahn-Teller effect. I. A survey of the static problem. Proc. R. Soc. A 1957, 238, 425–447. [Google Scholar] [CrossRef]
- Hitchman, M.A. The influence of vibronic coupling on the spectroscopic properties and stereochemistry of simple 4- and 6- coordinate copper (II) complexes. Comments Inorg. Chem. 1994, 15, 197–254. [Google Scholar] [CrossRef]
- Riley, M.J. Geometric and Electronic Information from the Spectroscopy of Six-Coordinate Copper(II) Compounds. In Transition Metal and Rare Earth Compounds; Yersin, H., Ed.; Springer: Berlin/Heidelberg, Germany, 2001; pp. 57–80. [Google Scholar]
- Reinen, D. The modulation of Jahn-Teller coupling by elastic and binding strain perturbations—A novel view on an old phenomenon and examples from solid-state chemistry. Inorg. Chem. 2012, 51, 4458–4472. [Google Scholar] [CrossRef]
- Rodríguez, F. Unveiling the Local Structure of Cu2+ Ions from d-Orbital Splitting. Application to K2ZnF4: Cu2+ and KZnF3: Cu2+. Inorg. Chem. 2017, 56, 2029–2036. [Google Scholar] [CrossRef]
- Gaǎzo, J.; Bersuker, I.B.; Garaj, J.; Kabesova, M.; Kohout, J.; Langfelderova, H.; Melnik, M.; Serator, M.; Valach, F. Plasticity of the coordination sphere of copper(II) complexes, its manifestation and causes. Coord. Chem. Rev. 1976, 19, 253–297. [Google Scholar] [CrossRef]
- Polinger, V.; Bersuker, I.B. Orientational polarizability of solids induced by the Jahn-Teller and pseudo-Jahn-Teller effects. Phys. Rev. B 2024, 109, 224207. [Google Scholar] [CrossRef]







Disclaimer/Publisher’s Note: The statements, opinions and data contained in all publications are solely those of the individual author(s) and contributor(s) and not of MDPI and/or the editor(s). MDPI and/or the editor(s) disclaim responsibility for any injury to people or property resulting from any ideas, methods, instructions or products referred to in the content. |
© 2026 by the author. Licensee MDPI, Basel, Switzerland. This article is an open access article distributed under the terms and conditions of the Creative Commons Attribution (CC BY) license.
Share and Cite
Rodríguez, F. An Appraisal of the Understanding Pressure Effects on Structural, Optical, and Magnetic Properties of CsMnF4 and Other 3dn Compounds. Chemistry 2026, 8, 10. https://doi.org/10.3390/chemistry8010010
Rodríguez F. An Appraisal of the Understanding Pressure Effects on Structural, Optical, and Magnetic Properties of CsMnF4 and Other 3dn Compounds. Chemistry. 2026; 8(1):10. https://doi.org/10.3390/chemistry8010010
Chicago/Turabian StyleRodríguez, Fernando. 2026. "An Appraisal of the Understanding Pressure Effects on Structural, Optical, and Magnetic Properties of CsMnF4 and Other 3dn Compounds" Chemistry 8, no. 1: 10. https://doi.org/10.3390/chemistry8010010
APA StyleRodríguez, F. (2026). An Appraisal of the Understanding Pressure Effects on Structural, Optical, and Magnetic Properties of CsMnF4 and Other 3dn Compounds. Chemistry, 8(1), 10. https://doi.org/10.3390/chemistry8010010

