Pioneering Synthetic Strategies of 2-Substituted Benzothiazoles Using 2-Aminothiophenol
Abstract
1. Introduction
2. Synthetic Aspects of 2-Substituted BTs
2.1. Reaction of 2-ABT and Aldehydes
- (a)
- Synthesis of 2-substituted BTs using ionic liquids (ILs)
- (b)
- Synthesis of 2-substituted BTs using nanoparticles
- (c)
- Visible-light-assisted synthesis of 2-substituted BTs
- (d)
- Acid-catalyzed preparation of 2-substituted BTs
- (e)
- Base catalyzed synthesis of 2-substituted BTs
- (f)
- Resin-supported or catalyzed synthesis of 2-substituted BTs
- (g)
- Silica supported synthesis of 2-substituted BTs
- (h)
- Metal oxide and sulfate-mediated synthesis of 2-substituted BTs
- (i)
- Synthesis of 2-substituted BTs by cyclodextrins and fruit juice
- (j)
- Synthesis of 2-substituted BTs using polymer support
- (k)
- Microwave-induced synthesis of 2-substituted BTs
- (l)
- Ultrasound-assisted synthesis of 2-substituted BTs
- (m)
- Mechanochemical synthesis of 2-substituted BTs
- (1)
- Ball milling strategy
- (2)
- Grindstone technique
- (n)
- On-surface synthesis of 2-substituted BTs
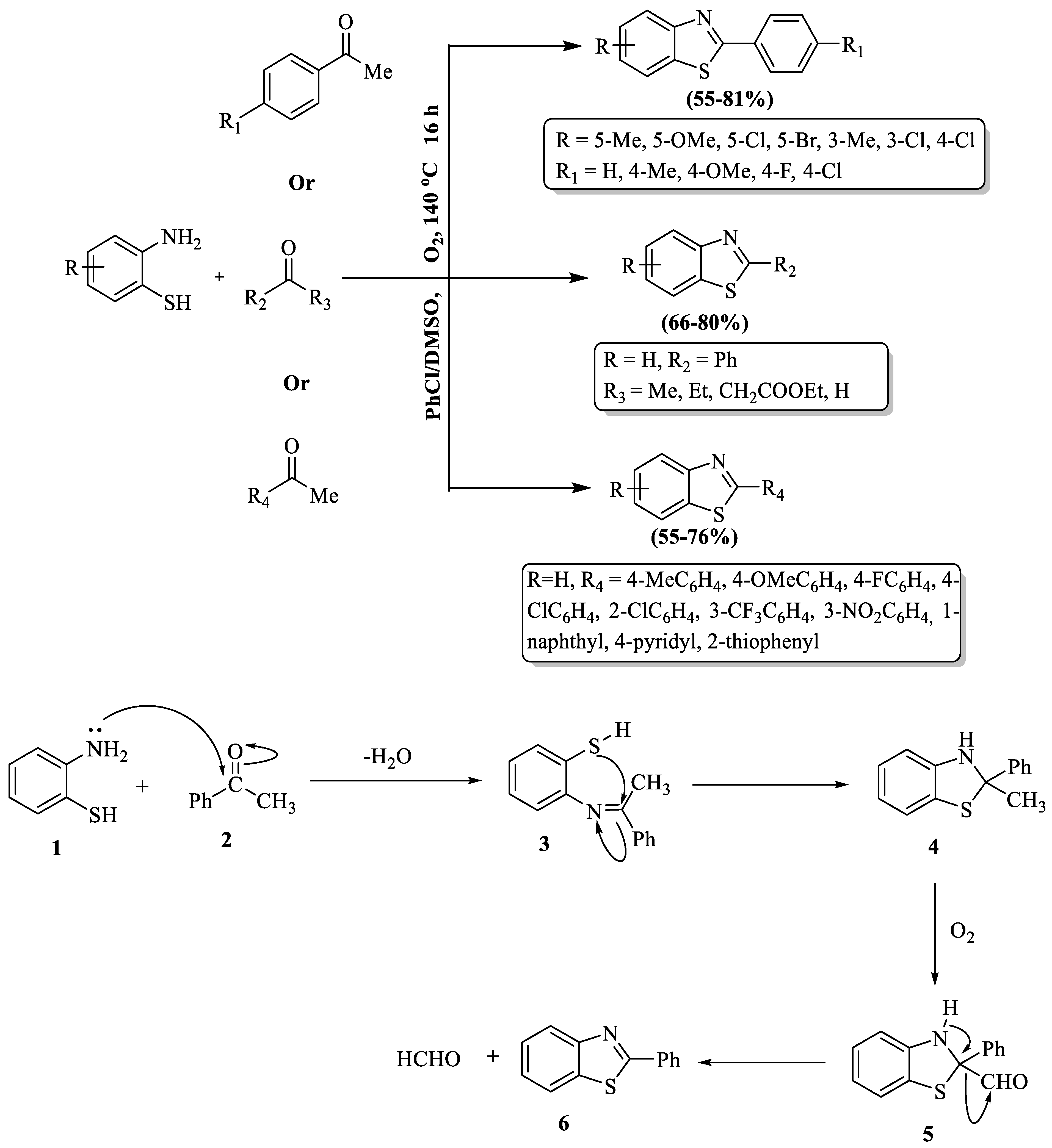
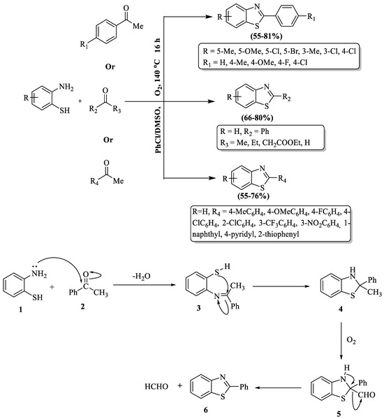
2.2. Reaction of 2-ABT and Ketones
2.3. Reaction of 2-ABT and Acids
2.4. Condensation of 2-ABT with Acyl Chloride
2.5. Condensation of 2-ABT with Amines
2.6. Reaction of 2-ABT with Nitriles/Gem Halides/Olefins as Substrates
2.7. Condensation of 2-ABT with Benzyl Alcohol
2.8. Reaction of 2-ABT and N-Methyl Thioamide
2.9. Reaction of 2-ABT and Dimethylformamide (DMF)Derivatives
2.10. Reaction of 2-ABT and Isocyanate/Isothiocyanate
2.11. Reaction of 2-ABTs and Carbon Disulfide
2.12. Condensation of 2-ABTs with Carbon Dioxide
2.13. Reaction of 2-ABTs and Thiocarbomyl Chloride/Tetramethyl Thiuram Disulfide/Sodium Dimethyl Dithiocarbamate
3. Discussion
4. Conclusions and Future Perspectives
Author Contributions
Funding
Data Availability Statement
Acknowledgments
Conflicts of Interest
References
- Balaban, A.T.; Oniciu, D.C.; Katritzky, A.R. Aromaticity as a cornerstone of heterocyclic chemistry. Chem. Rev. 2004, 104, 2777–2812. [Google Scholar] [CrossRef]
- Arora, P.; Arora, V.; Lamba, H.; Wadhwa, D. Importance of heterocyclic chemistry: A review. Int. J. Pharm. Sci. Res. 2012, 3, 2947. [Google Scholar]
- Soni, S.; Sahiba, N.; Teli, S.; Teli, P.; Agarwal, L.K.; Agarwal, S. Advances in the synthetic strategies of benzoxazoles using 2-aminophenol as a precursor: An up-to-date review. RSC Adv. 2023, 13, 24093–24111. [Google Scholar] [CrossRef]
- Pozharskii, A.F.; Soldatenkov, A.T.; Katritzky, A.R. Heterocycles in Life and Society: An Introduction to Heterocyclic Chemistry, Biochemistry and Applications; John Wiley & Sons: Hoboken, NJ, USA, 2011. [Google Scholar]
- Amin, A.; Qadir, T.; Sharma, P.K.; Jeelani, I.; Abe, H. A Review on The Medicinal and Industrial Applications of N-Containing Heterocycles. Open Med. Chem. J. 2022, 16, e187410452209010. [Google Scholar] [CrossRef]
- Teli, S.; Teli, P.; Soni, S.; Sahiba, N.; Agarwal, S. Synthetic aspects of 1, 4-and 1, 5-benzodiazepines using o-phenylenediamine: A study of past quinquennial. RSC Adv. 2023, 13, 3694–3714. [Google Scholar] [CrossRef]
- Channapur, M.B. Synthetic and Biological Studies on Selected Heterocyclic Systems; Goa University: Goa, India, 2019. [Google Scholar]
- Singh, M. Design, Synthesis and Biological Evaluation of Some Novel Benzothiazole Derivatives; Elsevier: Amsterdam, The Netherlands, 2016. [Google Scholar]
- Mustafa, B.S.I. Synthesis and Evaluation of the Antimicrobial Activity of Newly Synthesized Benzothiazole Derivatives; University of Petra: Amman, Jordan, 2015. [Google Scholar]
- Ambhaikar, N.B. Thiazoles and Benzothiazoles. Heterocyclic Chemistry in Drug Discovery; Li, J.K., Ed.; Wiley: Hoboken, NJ, USA, 2013; pp. 283–322. [Google Scholar]
- Botha, M. Synthesis, Characterization and Biological Evaluation of Benzo [d] Isothiazole Ring Systems, Fused to Nitrogen Heterocycles. Master’s Thesis, University of Hertfordshire, Hertfordshire, UK, 2014. [Google Scholar]
- Bhat, M.; Belagali, S.L. Structural activity relationship and importance of benzothiazole derivatives in medicinal chemistry: A comprehensive review. Mini-Rev. Org. Chem. 2020, 17, 323–350. [Google Scholar] [CrossRef]
- Liao, C.; Kim, U.-J.; Kannan, K. A review of environmental occurrence, fate, exposure, and toxicity of benzothiazoles. Environ. Sci. Technol. 2018, 52, 5007–5026. [Google Scholar] [CrossRef] [PubMed]
- Day, J.J.; Yang, Z.; Chen, W.; Pacheco, A.; Xian, M. Benzothiazole sulfinate: A water-soluble and slow-releasing sulfur dioxide donor. ACS Chem. Biol. 2016, 11, 1647–1651. [Google Scholar] [CrossRef] [PubMed]
- Tseng, H.-W.; Liu, J.-Q.; Chen, Y.-A.; Chao, C.-M.; Liu, K.-M.; Chen, C.-L.; Lin, T.-C.; Hung, C.-H.; Chou, Y.-L.; Lin, T.-C. Harnessing excited-state intramolecular proton-transfer reaction via a series of amino-type hydrogen-bonding molecules. J. Phys. Chem. Lett. 2015, 6, 1477–1486. [Google Scholar] [CrossRef] [PubMed]
- Sharma, P.C.; Sinhmar, A.; Sharma, A.; Rajak, H.; Pathak, D.P. Medicinal significance of benzothiazole scaffold: An insight view. J. Enzym. Inhib. Med. Chem. 2013, 28, 240–266. [Google Scholar] [CrossRef] [PubMed]
- Stenger-Smith, J.; Chakraborty, I.; Sameera, W.; Mascharak, P.K. Antimicrobial silver (I) complexes derived from aryl-benzothiazoles as turn-on sensors: Syntheses, properties and density functional studies. Inorg. Chim. Acta 2018, 471, 326–335. [Google Scholar] [CrossRef]
- Singh, M.; Singh, S.K.; Gangwar, M.; Nath, G.; Singh, S.K. Design, synthesis and mode of action of novel 2-(4-aminophenyl) benzothiazole derivatives bearing semicarbazone and thiosemicarbazone moiety as potent antimicrobial agents. Med. Chem. Res. 2016, 25, 263–282. [Google Scholar] [CrossRef]
- Fedorchenko, T.; Lipunova, G.; Shchepochkin, A.; Valova, M.; Tsmokalyuk, A.; Slepukhin, P.; Chupakhin, O. Synthesis and Spectral, Electrochemical, and Antioxidant Properties of 2-(5-Aryl-6-R-3-phenyl-5, 6-dihydro-4 H-1, 2, 4, 5-tetrazin-1-yl)-1, 3-benzothiazoles. Russ. J. Org. Chem. 2020, 56, 38–48. [Google Scholar] [CrossRef]
- Agarwal, D.K.; Agarwal, S.; Gandhi, D. Benzothiazole: A Versatile Synthetic Auxillary for Antiepileptic Drugs. Chem. Biol. Interface 2018, 8, 135. [Google Scholar]
- Abdellatif, K.R.; Belal, A.; El-Saadi, M.T.; Amin, N.H.; Said, E.G.; Hemeda, L.R. Design, synthesis, molecular docking and antiproliferative activity of some novel benzothiazole derivatives targeting EGFR/HER2 and TS. Bioorg. Chem. 2020, 101, 103976. [Google Scholar] [CrossRef]
- Morales-Garcia, J.A.; Salado, I.G.; Sanz-San Cristobal, M.; Gil, C.; Perez-Castillo, A.; Martínez, A.; Perez, D.I. Biological and pharmacological characterization of benzothiazole-based CK-1δ inhibitors in models of Parkinson’s disease. ACS Omega 2017, 2, 5215–5220. [Google Scholar] [CrossRef] [PubMed]
- Van Zandt, M.C.; Jones, M.L.; Gunn, D.E.; Geraci, L.S.; Jones, J.H.; Sawicki, D.R.; Sredy, J.; Jacot, J.L.; DiCioccio, A.T.; Petrova, T. Discovery of 3-[(4, 5, 7-trifluorobenzothiazol-2-yl) methyl] indole-N-acetic acid (lidorestat) and congeners as highly potent and selective inhibitors of aldose reductase for treatment of chronic diabetic complications. J. Med. Chem. 2005, 48, 3141–3152. [Google Scholar] [CrossRef] [PubMed]
- Takasu, K.; Inoue, H.; Kim, H.-S.; Suzuki, M.; Shishido, T.; Wataya, Y.; Ihara, M. Rhodacyanine dyes as antimalarials. 1. Preliminary evaluation of their activity and toxicity. J. Med. Chem. 2002, 45, 995–998. [Google Scholar] [CrossRef]
- Ghonim, A.E.; Ligresti, A.; Rabbito, A.; Mahmoud, A.M.; Di Marzo, V.; Osman, N.A.; Abadi, A.H. Structure-activity relationships of thiazole and benzothiazole derivatives as selective cannabinoid CB2 agonists with in vivo anti-inflammatory properties. Eur. J. Med. Chem. 2019, 180, 154–170. [Google Scholar] [CrossRef]
- Bilel, M.; Mehdi, B.; Elhadi, S.M.; Lyamine, M.; Ali, B.; Hocine, M.; Aissa, C.; Sofiane, B.; Abdelmalek, B. Synthesis, X-ray structure and theoretical study of benzazole thioether and its zinc complex as corrosion inhibitors for steel in acidic medium. Res. Chem. Intermed. 2016, 42, 7447–7470. [Google Scholar] [CrossRef]
- Soriano, E.; Holder, C.; Levitz, A.; Henary, M. Benz [c, d] indolium-containing monomethine cyanine dyes: Synthesis and photophysical properties. Molecules 2015, 21, 23. [Google Scholar] [CrossRef]
- Huang, Y.-T.; Wang, W.-C.; Hsu, C.-P.; Lu, W.-Y.; Chuang, W.-J.; Chiang, M.Y.; Lai, Y.-C.; Chen, H.-Y. The ring-opening polymerization of ε-caprolactone and l-lactide using aluminum complexes bearing benzothiazole ligands as catalysts. Polym. Chem. 2016, 7, 4367–4377. [Google Scholar] [CrossRef]
- Zhao, Y.; Zhang, P.; Zhai, Y.; Chen, C.; Wang, Q.; Han, J.; Zhang, Z.; Liu, F.; Mu, W. Sublethal concentration of benzothiazole adversely affect development, reproduction and longevity of Bradysiaodoriphaga (Diptera: Sciaridae). Phytoparasitica 2016, 44, 115–124. [Google Scholar] [CrossRef]
- Luongo, G.; Avagyan, R.; Hongyu, R.; Östman, C. The washout effect during laundry on benzothiazole, benzotriazole, quinoline, and their derivatives in clothing textiles. Environ. Sci. Pollut. Res. 2016, 23, 2537–2548. [Google Scholar] [CrossRef] [PubMed]
- Navizet, I.; Liu, Y.-J.; Ferré, N.; Xiao, H.-Y.; Fang, W.-H.; Lindh, R. Color-tuning mechanism of firefly investigated by multi-configurational perturbation method. J. Am. Chem. Soc. 2010, 132, 706–712. [Google Scholar] [CrossRef]
- Bhagdev, K.; Sarkar, S. In Benzothiazole moiety and its derivatives as antiviral agents. Med. Sci. Forum 2021, 7, 9. [Google Scholar]
- Jena, J. Significance of benzothiazole moiety in the field of cancer. Int. J. Pharm. Pharm. Sci 2014, 6, 16–22. [Google Scholar]
- Amir, M.; Javed, S.A.; Zaheen Hassan, M. Synthesis and antimicrobial activity of pyrazolinones and pyrazoles having benzothiazole moiety. Med. Chem. Res. 2012, 21, 1261–1270. [Google Scholar] [CrossRef]
- Gordon, D.M. Ethoxzolamide: A new carbonic anhydrase inhibitor. Am. J. Ophthalmol. 1958, 46, 41–44. [Google Scholar] [CrossRef]
- Miller, R.G.; Mitchell, J.D.; Moore, D.H. Riluzole for amyotrophic lateral sclerosis (ALS)/motor neuron disease (MND). Cochrane Database Syst. Rev. 2012, 4. [Google Scholar] [CrossRef]
- Chrienova, Z.; Rysanek, D.; Novak, J.; Vasicova, P.; Oleksak, P.; Andrys, R.; Skarka, A.; Dumanovic, J.; Milovanovic, Z.; Jacevic, V. Frentizole derivatives with mTOR inhibiting and senomorphic properties. Biomed. Pharmacother. 2023, 167, 115600. [Google Scholar] [CrossRef] [PubMed]
- Cavalluzzi, M.M.; Budriesi, R.; De Salvia, M.A.; Quintieri, L.; Piarulli, M.; Milani, G.; Gualdani, R.; Micucci, M.; Corazza, I.; Rosato, A. Lubeluzole: From anti-ischemic drug to preclinical antidiarrheal studies. Pharmacol. Rep. 2021, 73, 172–184. [Google Scholar] [CrossRef]
- Bahrami, K.; Khodaei, M.M.; Naali, F. Mild and highly efficient method for the synthesis of 2-arylbenzimidazoles and 2-arylbenzothiazoles. J. Org. Chem. 2008, 73, 6835–6837. [Google Scholar] [CrossRef]
- Panda, S.S.; Ibrahim, M.A.; Oliferenko, A.A.; Asiri, A.M.; Katritzky, A.R. Catalyst-free facile synthesis of 2-substituted benzothiazoles. Green Chem. 2013, 15, 2709–2712. [Google Scholar] [CrossRef]
- Senapak, W.; Saeeng, R.; Jaratjaroonphong, J.; Sirion, U. Brönsted acid-surfactant-combined ionic liquid catalyzed green synthesis of 2-alkyl and 2-arylbenzothiazoles in water: Reusable catalyst and metal-free conditions. Mol. Catal. 2018, 458, 97–105. [Google Scholar] [CrossRef]
- Zhou, Y.; Liu, W.; Liu, Y.; Guan, J.; Yan, J.; Yuan, J.-J.; Tao, D.-J.; Song, Z. Oxidative NHC catalysis for base-free synthesis of benzoxazinones and benzoazoles by thermal activated NHCs precursor ionic liquid catalyst using air as oxidant. Mol. Catal. 2020, 492, 111013. [Google Scholar] [CrossRef]
- Ghafuri, H.; Esmaili, E.; Talebi, M. Fe3O4@ SiO2/collagen: An efficient magnetic nanocatalyst for the synthesis of benzimidazole and benzothiazole derivatives. Comptes Rendus Chim. 2016, 19, 942–950. [Google Scholar] [CrossRef]
- Kommula, D.; Madugula, S.R.M. Synthesis of benzimidazoles/benzothiazoles by using recyclable, magnetically separable nano-Fe2O3 in aqueous medium. J. Iran. Chem. Soc. 2017, 14, 1665–1671. [Google Scholar] [CrossRef]
- Goswami, M.; Dutta, M.M.; Phukan, P. Sulfonic-acid-functionalized activated carbon made from tea leaves as green catalyst for synthesis of 2-substituted benzimidazole and benzothiazole. Res. Chem. Intermed. 2018, 44, 1597–1615. [Google Scholar] [CrossRef]
- Gandhi, D.; Agarwal, S. Urea nitrate catalyzed synthesis of 2-arylbenzothiazoles using the grindstone technique. Heterocycl. Commun. 2018, 24, 307–310. [Google Scholar] [CrossRef]
- Kaur, G.; Moudgil, R.; Shamim, M.; Gupta, V.K.; Banerjee, B. Camphor sulfonic acid catalyzed a simple, facile, and general method for the synthesis of 2-arylbenzothiazoles, 2-arylbenzimidazoles, and 3 H-spiro [benzo [d] thiazole-2, 3′-indolin]-2′-ones at room temperature. Synth. Commun. 2021, 51, 1100–1120. [Google Scholar] [CrossRef]
- Ye, L.-m.; Chen, J.; Mao, P.; Mao, Z.-f.; Zhang, X.-j.; Yan, M. Visible-light-promoted synthesis of benzothiazoles from 2-aminothiophenols and aldehydes. Tetrahedron Lett. 2017, 58, 874–876. [Google Scholar] [CrossRef]
- Sirgamalla, R.; Kommakula, A.; Konduru, S.; Ponakanti, R.; Devaram, J.; Boda, S. Cupper-catalyzed an efficient synthesis, characterization of 2-substituted benzoxazoles, 2-substituted benzothiazoles derivatives and their anti-fungal activity. Chem. Data Collect. 2020, 27, 100362. [Google Scholar] [CrossRef]
- Maphupha, M.; Juma, W.P.; de Koning, C.B.; Brady, D. A modern and practical laccase-catalysed route suitable for the synthesis of 2-arylbenzimidazoles and 2-arylbenzothiazoles. RSC Adv. 2018, 8, 39496–39510. [Google Scholar] [CrossRef]
- Fan, X.; Wang, Y.; He, Y.; Zhang, X.; Wang, J. Ru (III)-catalyzed oxidative reaction in ionic liquid: An efficient and practical route to 2-substituted benzothiazoles and their hybrids with pyrimidine nucleoside. Tetrahedron Lett. 2010, 51, 3493–3496. [Google Scholar] [CrossRef]
- Sharma, P.; Gupta, M.; Kant, R.; Gupta, V.K. Formation of a nanorod shaped ionogel and its high catalytic activity for one-pot synthesis of benzothiazoles. New J. Chem. 2015, 39, 5116–5120. [Google Scholar] [CrossRef]
- Sayyahi, S.; Shabani, S.; Ghasemi, S.; Azin, A.; Hasani, S.M. Magnetic ionic liquid [bmim][FeCl4] as an efficient catalyst for the synthesis of 2-aryl benzimidazoles and 2-aryl benzothiazoles derivatives. Orient. J. Chem. 2015, 31, 1773. [Google Scholar] [CrossRef]
- Hang, A.-H.T.; Nguyen, T.-L.H.; Chau, D.-K.N.; Tran, P.H. Phosphonium acidic ionic liquid: An efficient and recyclable homogeneous catalyst for the synthesis of 2-arylbenzoxazoles, 2-arylbenzimidazoles, and 2-arylbenzothiazoles. RSC Adv. 2018, 8, 11834–11842. [Google Scholar]
- Nasr-Esfahani, M.; Mohammadpoor-Baltork, I.; Khosropour, A.R.; Moghadam, M.; Mirkhani, V.; Tangestaninejad, S. Synthesis and characterization of Cu (II) containing nanosilica triazine dendrimer: A recyclable nanocomposite material for the synthesis of benzimidazoles, benzothiazoles, bis-benzimidazoles and bis-benzothiazoles. J. Mol. Catal. A Chem. 2013, 379, 243–254. [Google Scholar] [CrossRef]
- Shelkar, R.; Sarode, S.; Nagarkar, J. Nano ceria catalyzed synthesis of substituted benzimidazole, benzothiazole, and benzoxazole in aqueous media. Tetrahedron Lett. 2013, 54, 6986–6990. [Google Scholar] [CrossRef]
- Banerjee, S.; Payra, S.; Saha, A.; Sereda, G. ZnO nanoparticles: A green efficient catalyst for the room temperature synthesis of biologically active 2-aryl-1, 3-benzothiazole and 1, 3-benzoxazole derivatives. Tetrahedron Lett. 2014, 55, 5515–5520. [Google Scholar] [CrossRef]
- Bahrami, K.; Khodaei, M.M.; Naali, F. TiO2 nanoparticles catalysed synthesis of 2-arylbenzimidazoles and 2-arylbenzothiazoles using hydrogen peroxide under ambient light. J. Exp. Nanosci. 2016, 11, 148–160. [Google Scholar] [CrossRef]
- Dighore, N.R.; Anandgaonker, P.; Gaikwad, S.T.; Rajbhoj, A.S. Green synthesis of 2-aryl benzothiazole heterogenous catalyzed by MoO3 nanorods. Green Process. Synth. 2016, 5, 139–143. [Google Scholar] [CrossRef]
- Sharma, J.; Bansal, R.; Soni, P.; Singh, S.; Halve, A. One Pot synthesis of 2-substituted benzothiazoles catalyzed by Bi2O3 nanoparticles. Asian J. Nanosci. Mater. 2018, 1, 135–142. [Google Scholar]
- Pesyan, N.N.; Batmani, H.; Havasi, F. Copper supported on functionalized MCM-41 as a novel and a powerful heterogeneous nanocatalyst for the synthesis of benzothiazoles. Polyhedron 2019, 158, 248–254. [Google Scholar] [CrossRef]
- Hassanloie, N.; NorooziPesyan, N.; Sheykhaghaei, G.; Aalinejad, M.; OjaghiAghbash, K.; Alamgholiloo, H. Preparation of Fe3O4@ SiO2@ Cu-MoO3 core–shell nanostructures: Synergistics effects of copper and molybdenum for catalytic enhancement. J. Porous Mater. 2023, 30, 859–869. [Google Scholar] [CrossRef]
- Cai, Y.; Yuan, H.; Gao, Q.; Wu, L.; Xue, L.; Feng, N.; Sun, Y. Palladium (II) complex supported on magnetic nanoparticles modified with phenanthroline: A highly active reusable nanocatalyst for the synthesis of benzoxazoles, benzothiazoles and cyanation of aryl halides. Catal. Lett. 2023, 153, 460–476. [Google Scholar] [CrossRef]
- Das, S.; Samanta, S.; Maji, S.K.; Samanta, P.K.; Dutta, A.K.; Srivastava, D.N.; Adhikary, B.; Biswas, P. Visible-light-driven synthesis of 2-substituted benzothiazoles using CdS nanosphere as heterogenous recyclable catalyst. Tetrahedron Lett. 2013, 54, 1090–1096. [Google Scholar] [CrossRef]
- Samanta, S.; Das, S.; Biswas, P. Photocatalysis by 3, 6-disubstituted-s-tetrazine: Visible-light driven metal-free green synthesis of 2-substituted benzimidazole and benzothiazole. J. Org. Chem. 2013, 78, 11184–11193. [Google Scholar] [CrossRef]
- Wade, A.R.; Pawar, H.R.; Biware, M.V.; Chikate, R.C. Synergism in semiconducting nanocomposites: Visible light photocatalysis towards the formation of C–S and C–N bonds. Green Chem. 2015, 17, 3879–3888. [Google Scholar] [CrossRef]
- Le, H.A.N.; Nguyen, L.H.; Nguyen, Q.N.B.; Nguyen, H.T.; Nguyen, K.Q.; Tran, P.H. Straightforward synthesis of benzoxazoles and benzothiazoles via photocatalytic radical cyclization of 2-substituted anilines with aldehydes. Catal. Commun. 2020, 145, 106120. [Google Scholar] [CrossRef]
- Kumar, P.; Bhatia, R.; Kumar, D.; Kamboj, R.C.; Kumar, S.; Kamal, R.; Kumar, R. An economic, simple and convenient synthesis of 2-aryl/heteroaryl/styryl/alkylbenzothiazoles using SiO2–HNO3. Res. Chem. Intermed. 2015, 41, 4283–4292. [Google Scholar] [CrossRef]
- Kumar, P.; Bhatia, R.; Khanna, R.; Dalal, A.; Kumar, D.; Surain, P.; Kamboj, R.C. Synthesis of some benzothiazoles by developing a new protocol using urea nitrate as a catalyst and their antimicrobial activities. J. Sulfur Chem. 2017, 38, 585–596. [Google Scholar] [CrossRef]
- Shaikh, K.A.; Chaudhar, U.N.; Ningdale, V.B. A facile and rapid access towards the synthesis of 2-aryl benzothiazoles using succinimide-N-sulphonic acid: A Reusable catalyst. Can. Chem. Trans. 2016, 4, 133–142. [Google Scholar]
- Guo, H.Y.; Li, J.C.; Le Shang, Y. A simple and efficient synthesis of 2-substituted benzothiazoles catalyzed by H2O2/HCl. Chin. Chem. Lett. 2009, 20, 1408–1410. [Google Scholar] [CrossRef]
- Sahu, P.K. A green approach to the synthesis of a nano catalyst and the role of basicity, calcination, catalytic activity and aging in the green synthesis of 2-aryl bezimidazoles, benzothiazoles and benzoxazoles. RSC Adv. 2017, 7, 42000–42012. [Google Scholar] [CrossRef]
- Chhabra, M.; Sinha, S.; Banerjee, S.; Paira, P. An efficient green synthesis of 2-arylbenzothiazole analogues as potent antibacterial and anticancer agents. Bioorg. Med. Chem. Lett. 2016, 26, 213–217. [Google Scholar] [CrossRef] [PubMed]
- Waengdongbung, W.; Hahnvajanawong, V.; Theramongkol, P. A Simple and Efficient Route for Synthesis of 2-alkylbenzothiazoles. Orient. J. Chem 2016, 32, 941–945. [Google Scholar] [CrossRef][Green Version]
- Mohammadi, M.; Bardajee, G.R.; Pesyan, N.N. A novel method for the synthesis of benzothiazole heterocycles catalyzed by a copper—DiAmSar complex loaded on SBA-15 in aqueous media. RSC Adv. 2014, 4, 62888–62894. [Google Scholar] [CrossRef]
- Samanta, P.K.; Biswas, R.; Das, T.; Nandi, M.; Adhikary, B.; Richards, R.M.; Biswas, P. Mesoporous silica supported samarium as recyclable heterogeneous catalyst for synthesis of 5-substituted tetrazole and 2-substituted benzothiazole. J. Porous Mater. 2019, 26, 145–155. [Google Scholar] [CrossRef]
- Sakiyama, R.; Aoyama, T.; Akazawa, H.; Kikuchi, N.; Omura, K.; Ohsaki, A.; Yasukawa, K.; Iida, T.; Kodomari, M. Solvent-free synthesis of 2-alkylbenzothiazoles and bile acid derivatives containing benzothiazole ring by using active carbon/silica gel and microwave. J. Oleo Sci. 2018, 67, 1209–1217. [Google Scholar] [CrossRef] [PubMed]
- Chaudhari, C.; Siddiki, S.H.; Shimizu, K.-i. Acceptorless dehydrogenative synthesis of benzothiazoles and benzimidazoles from alcohols or aldehydes by heterogeneous Pt catalysts under neutral conditions. Tetrahedron Lett. 2015, 56, 4885–4888. [Google Scholar] [CrossRef]
- Digwal, C.S.; Yadav, U.; Sakla, A.P.; Ramya, P.S.; Aaghaz, S.; Kamal, A. VOSO4 catalyzed highly efficient synthesis of benzimidazoles, benzothiazoles, and quinoxalines. Tetrahedron Lett. 2016, 57, 4012–4016. [Google Scholar] [CrossRef]
- Katla, R.; Chowrasia, R.; Manjari, P.S.; Domingues, N.L.C. An efficient aqueous phase synthesis of benzimidazoles/benzothiazoles in the presence of β-cyclodextrin. RSC Adv. 2015, 5, 41716–41720. [Google Scholar] [CrossRef]
- El-Remaily, M.A.E.A.A.A.; Soliman, A.M. Epichlorohydrin cross-linked β-cyclodextrin: An environmental method for the synthesis of 2-arylbenzothiazoles derivatives in water. J. Sulfur Chem. 2016, 37, 70–79. [Google Scholar] [CrossRef]
- Patil, M.A.; Ubale, P.A.; Karhale, S.S.; Helavi, V.B. Lemon juice: An environmentally benign catalyst for synthesis of benzothiazoles and benzoxazole derivatives in aqueous medium. Chem. Sin. 2017, 8, 198–205. [Google Scholar]
- Yang, D.; Liu, P.; Zhang, N.; Wei, W.; Yue, M.; You, J.; Wang, H. Mesoporous poly (melamine–formaldehyde): A green and recyclable heterogeneous organocatalyst for the synthesis of benzoxazoles and benzothiazoles using dioxygen as oxidant. ChemCatChem 2014, 6, 3434–3439. [Google Scholar] [CrossRef]
- Lee, A.S.-Y.; Chung, C.-H.; Chang, Y.-T.; Chen, P.-L. L-proline catalyzed condensation reaction of aldehyde or carboxylic acid with 2-aminothiophenol under solvent-free and microwave irradiation. J. Appl. Sci. Eng. 2012, 15, 311–315. [Google Scholar]
- Zhang, X.-Z.; Zhou, W.-J.; Yang, M.; Wang, J.-X.; Bai, L. Microwave-assisted synthesis of benzothiazole derivatives using glycerol as green solvent. J. Chem. Res. 2012, 36, 489–491. [Google Scholar] [CrossRef]
- Praveen, C.; Nandakumar, A.; Dheenkumar, P.; Muralidharan, D.; Perumal, P. Microwave-assisted one-pot synthesis of benzothiazole and benzoxazole libraries as analgesic agents. J. Chem. Sci. 2012, 124, 609–624. [Google Scholar] [CrossRef]
- Sakram, B.; Rambabu, S.; Ashok, K.; Sonyanaik, B.; Ravi, D. Microwave assisted aqueous phase synthesis of benzothiazoles and benzimidazoles in the presence ofAg2O. Russ. J. Gen. Chem. 2016, 86, 2737–2743. [Google Scholar] [CrossRef]
- Chen, G.-F.; Jia, H.-M.; Zhang, L.-Y.; Chen, B.-H.; Li, J.-T. An efficient synthesis of 2-substituted benzothiazoles in the presence of FeCl3/Montmorillonite K-10 under ultrasound irradiation. Ultrason. Sonochem. 2013, 20, 627–632. [Google Scholar] [CrossRef]
- Pardeshi, S.D.; Sonar, J.P.; Pawar, S.S.; Dekhane, D.; Gupta, S.; Zine, A.M.; Thore, S.N. Sonicated assisted synthesis of benzimidazoles, benzoxazoles and benzothiazoles in aqueous media. J. Chil. Chem. Soc. 2014, 59, 2335–2340. [Google Scholar] [CrossRef][Green Version]
- Sharma, H.; Singh, N.; Jang, D.O. A ball-milling strategy for the synthesis of benzothiazole, benzimidazole and benzoxazole derivatives under solvent-free conditions. Green Chem. 2014, 16, 4922–4930. [Google Scholar] [CrossRef]
- Banerjee, M.; Chatterjee, A.; Kumar, V.; Bhutia, Z.T.; Khandare, D.G.; Majik, M.S.; Roy, B.G. A simple and efficient mechanochemical route for the synthesis of 2-aryl benzothiazoles and substituted benzimidazoles. RSC Adv. 2014, 4, 39606–39611. [Google Scholar] [CrossRef]
- Shi, H.; Liu, Y.; Song, J.; Lu, X.; Geng, Y.; Zhang, J.; Xie, J.; Zeng, Q. On-surface synthesis of self-assembled monolayers of benzothiazole derivatives studied by STM and XPS. Langmuir 2017, 33, 4216–4223. [Google Scholar] [CrossRef]
- Elderfield, R.C.; McClenachan, E.C. Pyrolysis of the products of the reaction of o-aminobenzenethiols with ketones1. J. Am. Chem. Soc. 1960, 82, 1982–1988. [Google Scholar] [CrossRef]
- Liao, Y.; Qi, H.; Chen, S.; Jiang, P.; Zhou, W.; Deng, G.-J. Efficient 2-aryl benzothiazole formation from aryl ketones and 2-aminobenzenethiols under metal-free conditions. Org. Lett. 2012, 14, 6004–6007. [Google Scholar] [CrossRef]
- Mali, J.K.; Mali, D.A.; Telvekar, V.N. Copper-II mediated tandem reaction between aromatic ketones and 2-aminobenzenethiol for the synthesis of 2-aroylbenzothiazoles. Tetrahedron Lett. 2016, 57, 2324–2326. [Google Scholar] [CrossRef]
- Mayo, M.S.; Yu, X.; Zhou, X.; Feng, X.; Yamamoto, Y.; Bao, M. Convenient synthesis of benzothiazoles and benzimidazoles through Brønsted acid catalyzed cyclization of 2-amino thiophenols/anilines with β-diketones. Org. Lett. 2014, 16, 764–767. [Google Scholar] [CrossRef]
- Khoobi, M.; Ramazani, A.; Foroumadi, A.; Hamadi, H.; Hojjati, Z.; Shafiee, A. Efficient microwave-assisted synthesis of 3-benzothiazolo and 3-benzothiazolino coumarin derivatives catalyzed by heteropoly acids. J. Iran. Chem. Soc. 2011, 8, 1036–1042. [Google Scholar] [CrossRef]
- Gupta, S.D.; Singh, H.P.; Moorthy, N. Iodine-catalyzed, one-pot, solid-phase synthesis of benzothiazole derivatives. Synth. Commun. 2007, 37, 4327–4329. [Google Scholar] [CrossRef]
- Rauf, A.; Gangal, S.; Sharma, S. Solvent-free synthesis of 2-alkyl and 2-alkenylbenzothiazoles from fatty acids under microwave irradiation. Indian. J. Chem. 2008, 47B, 601–605. [Google Scholar] [CrossRef]
- Monga, A.; Bagchi, S.; Soni, R.K.; Sharma, A. Synthesis of benzothiazoles via photooxidative decarboxylation of α-keto acids. Adv. Synth. Catal. 2020, 362, 2232–2237. [Google Scholar] [CrossRef]
- Kumar, K.R.; Satyanarayana, P.; Srinivasa Reddy, B. NaHSO4-SiO2-Promoted solvent-free synthesis of benzoxazoles, benzimidazoles, and benzothiazole derivatives. J. Chem. 2013, 2013. [Google Scholar] [CrossRef]
- Dar, A.A.; Shadab, M.; Khan, S.; Ali, N.; Khan, A.T. One-pot synthesis and evaluation of antileishmanial activities of functionalized S-alkyl/aryl benzothiazole-2-carbothioate scaffold. J. Org. Chem. 2016, 81, 3149–3160. [Google Scholar] [CrossRef]
- Luo, B.; Li, D.; Zhang, A.-L.; Gao, J.-M. Synthesis, antifungal activities and molecular docking studies of benzoxazole and benzothiazole derivatives. Molecules 2018, 23, 2457. [Google Scholar] [CrossRef]
- Bahadorikhalili, S.; Sardarian, A.R. KF-Al2O3 as a base heterogeneous catalyst for the synthesis of 2-substituted benzoxazoles and benzothiazoles under mild reaction conditions at room temperature. Polycycl. Aromat. Compd. 2020, 40, 990–997. [Google Scholar] [CrossRef]
- Hudwekar, A.D.; Verma, P.K.; Kour, J.; Balgotra, S.; Sawant, S.D. Transition metal-free oxidative coupling of primary amines in polyethylene glycol at room temperature: Synthesis of imines, azobenzenes, benzothiazoles, and disulfides. Eur. J. Org. Chem. 2019, 2019, 1242–1250. [Google Scholar] [CrossRef]
- Naresh, G.; Kant, R.; and Narender, T. Molecular iodine promoted divergent synthesis of benzimidazoles, benzothiazoles, and 2-benzyl-3-phenyl-3, 4-dihydro-2 H-benzo [e][1, 2, 4] thiadiazines. J. Org. Chem. 2014, 79, 3821–3829. [Google Scholar] [CrossRef]
- Elsanousi, A.; Riadi, Y.; Ouerghi, O.; Geesi, M.H. Synthesis, Characterization of TiO2-based nanostructure as efficient catalyst for the synthesis of new heterocycles benzothiazole-linked pyrrolidin-2-one: Catalytic performances are particle’s size dependent. Polycycl. Aromat. Compd. 2023, 43, 2404–2417. [Google Scholar] [CrossRef]
- Sun, Y.; Jiang, H.; Wu, W.; Zeng, W.; Wu, X. Copper-catalyzed synthesis of substituted benzothiazoles via condensation of 2-aminobenzenethiols with nitriles. Organ. Lett. 2013, 15, 1598–1601. [Google Scholar] [CrossRef]
- Ghosh, A.; Gattu, R.; Khan, A.T. Synthesis of benzothiazoles via condensation reaction of 2-aminothiophenols and β-oxodithioesters using a combination of PTSA and CuI as catalyst. ChemistrySelect 2018, 3, 13773–13776. [Google Scholar] [CrossRef]
- Srivastava, A.; Shukla, G.; Singh, M.S. p-Toluenesulfonic acid-catalyzed metal-free formal [4+ 1] heteroannulation via NH/OH/SH functionalization: One-pot access to 2-aryl/hetaryl/alkyl benzazole derivatives. Tetrahedron 2017, 73, 879–887. [Google Scholar] [CrossRef]
- Shaikh, A.; Ravi, O.; Ragini, S.P.; Sadhana, N.; Bathula, S.R. Benzimidazoles and benzothiazoles from styrenes and N-vinylimidazole via palladium catalysed oxidative CC and CN bond cleavage. Tetrahedron Lett. 2020, 61, 151356. [Google Scholar] [CrossRef]
- Siddappa, C.; Kambappa, V.; Umashankara, M.; Rangappa, K.S. One-pot approach for the synthesis of 2-aryl benzothiazoles via a two-component coupling of gem-dibromomethylarenes and o-aminothiophenols. Tetrahedron Lett. 2011, 52, 5474–5477. [Google Scholar] [CrossRef]
- Yu, X.; Yin, Q.; Zhang, Z.; Huang, T.; Pu, Z.; Bao, M. Synthesis of 2-substituted benzothiazoles via the Brønsted acid catalyzed cyclization of 2-amino thiophenols with nitriles. Tetrahedron Lett. 2019, 60, 1964–1966. [Google Scholar] [CrossRef]
- Hameed Mahmood, Z.; Riadi, Y.; Hammoodi, H.A.; Alkaim, A.F.; Fakri Mustafa, Y. Magnetic nanoparticles supported copper nanocomposite: A highly active nanocatalyst for synthesis of benzothiazoles and polyhydroquinolines. Polycycl. Aromat. Compd. 2023, 43, 3687–3705. [Google Scholar] [CrossRef]
- Das, K.; Mondal, A.; Srimani, D. Phosphine free Mn-complex catalysed dehydrogenative C–C and C–heteroatom bond formation: A sustainable approach to synthesize quinoxaline, pyrazine, benzothiazole and quinoline derivatives. Chem. Commun. 2018, 54, 10582–10585. [Google Scholar] [CrossRef]
- Wang, D.; Albero, J.; García, H.; Li, Z. Visible-light-induced tandem reaction of o-aminothiophenols and alcohols to benzothiazoles over Fe-based MOFs: Influence of the structure elucidated by transient absorption spectroscopy. J. Catal. 2017, 349, 156–162. [Google Scholar] [CrossRef]
- Karami, N.; Zarnegaryan, A. Fabrication of immobilized molybdenum complex on functionalized graphene oxide as a novel catalyst for the synthesis of benzothiazoles. J. Organomet. Chem. 2023, 992, 122696. [Google Scholar] [CrossRef]
- Kazi, I.; Sekar, G. An efficient synthesis of benzothiazole using tetrabromomethane as a halogen bond donor catalyst. Org. Biomol. Chem. 2019, 17, 9743–9756. [Google Scholar] [CrossRef] [PubMed]
- Tian, Q.; Luo, W.; Gan, Z.; Li, D.; Dai, Z.; Wang, H.; Wang, X.; Yuan, J. Eco-friendly syntheses of 2-substituted benzoxazoles and 2-substituted benzothiazoles from 2-aminophenols, 2-aminothiophenols and DMF derivatives in the presence of imidazolium chloride. Molecules 2019, 24, 174. [Google Scholar] [CrossRef] [PubMed]
- Jing, Y.; Liu, R.; Lin, Y.; Zhou, X. Lanthanide-catalyzed cyclocarbonylation and cyclothiocarbonylation: A facile synthesis of benzannulated 1, 3-diheteroatom five-and six-membered heterocycles. Sci. China Chem. 2014, 57, 1117–1125. [Google Scholar] [CrossRef]
- El-Sharief, A.S.; Ammar, Y.; Zahran, M.; Sabet, H.K. 1, 4-Phenylenediisothiocyanate in the synthesis of bis-(thiourea, benzothiazole, quinazoline, 1, 3-benzoxazine and imidazolidineiminothiones) derivatives. Phosphorus Sulfur Silicon 2004, 179, 267–275. [Google Scholar] [CrossRef]
- Ballabeni, M.; Ballini, R.; Bigi, F.; Maggi, R.; Parrini, M.; Predieri, G.; Sartori, G. Synthesis of symmetrical N, N’-disubstituted thioureas and heterocyclic thiones from amines and CS (2) over a ZnO/Al (2) O (3) composite as heterogeneous and reusable catalyst. J. Org. Chem. 1999, 64, 1029–1032. [Google Scholar] [CrossRef] [PubMed]
- Politanskaya, L.; Duan, Z.; Bagryanskaya, I.; Eltsov, I.; Tretyakov, E.; Xi, C. Highly efficient synthesis of polyfluorinated 2-mercaptobenzothiazole derivatives. J. Fluor. Chem. 2018, 212, 130–136. [Google Scholar] [CrossRef]
- Gao, X.; Deng, Y.; Lu, C.; Zhang, L.; Wang, X.; Yu, B. Organic base-catalyzed C–S bond construction from CO2: A new route for the synthesis of benzothiazolones. Catalysts 2018, 8, 271. [Google Scholar] [CrossRef]
- Xu, W.; Zeng, M.-T.; Liu, S.-S.; Li, Y.-S.; Dong, Z.-B. Copper catalyzed synthesis of benzoxazoles and benzothiazoles via tandem manner. Tetrahedron Lett. 2017, 58, 4289–4292. [Google Scholar] [CrossRef]
- Liu, X.; Liu, M.; Xu, W.; Zeng, M.-T.; Zhu, H.; Chang, C.-Z.; Dong, Z.-B. An environmentally benign and efficient synthesis of substituted benzothiazole-2-thiols, benzoxazole-2-thiols, and benzimidazoline-2-thiones in water. Green Chem. 2017, 19, 5591–5598. [Google Scholar] [CrossRef]
- Liu, X.; Zhang, S.-B.; Zhu, H.; Dong, Z.-B. Copper (I)-catalyzed tandem one-pot synthesis of 2-arylthiobenzothiazoles and 2-arylthiobenzoxazoles in water. J. Org. Chem. 2018, 83, 11703–11711. [Google Scholar] [CrossRef] [PubMed]
- Liu, X.; Zhang, S.B.; Dong, Z.B. AlCl3-promoted synthesis of 2-mercapto benzoheterocycles by using sodium dimethyldithiocarbamate as thiocarbonyl surrogate. Eur. J. Org. Chem. 2018, 2018, 5406–5411. [Google Scholar] [CrossRef]









































| Entry | Catalyst | Reaction Condition | Reaction Time | Yield (%) | Ref. |
|---|---|---|---|---|---|
| Ionic Liquids | |||||
| 1. | RuCl3 | [bmim]PF6, air, 80 °C | 0.5–6 h | 43–88 | [51] |
| 2. | Ionogel | Solvent free, 80 °C | 10–25 min | 84–95 | [52] |
| 3. | [bmim][FeCl4] | EtOH, reflux | 30–90 min | 82–94 | [53] |
| 4. | Phosphonium acidic IL | Solvent free, 120 °C | 25–90 min | 75–92 | [54] |
| Nanoparticles | |||||
| 5. | Cu(II)-TD@SiO2 | EtOAc, Air, 50 °C | 15–90 min | 87–98 | [55] |
| 6. | CeO2 NPs | H2O, RT | 20–30 min | 66–98 | [56] |
| 7. | ZnO NPs | EtOH/neat, RT | 2–8 min | 90–99 | [57] |
| 8. | TiO2 NPs | Solvent-free, 50 °C | 5–27 min | 90–97 | [58] |
| 9. | MoO3 NPs | Solvent-free, 80 °C | 45–110 min | 85–95 | [59] |
| 10. | Nano-Fe2O3 | Water, 80 °C | 2–3 h | 75–85 | [44] |
| 11. | Bi2O3 NPs | Ethanol, 60 °C | 1–2 h | 75–95 | [60] |
| 12. | Cu(II)-Glycerol/MCM-41 | EtOH, RT | 2–5 h | 84–98 | [61] |
| 13. | Fe3O4@SiO2@Cu-MoO3 | Ethanol, RT | 2–4 h | 78–98 | [62] |
| 14. | MNPs-phenanthroline-Pd | O2, K2CO3, PEG, 80 °C | 6 h | 89–98 | [63] |
Disclaimer/Publisher’s Note: The statements, opinions and data contained in all publications are solely those of the individual author(s) and contributor(s) and not of MDPI and/or the editor(s). MDPI and/or the editor(s) disclaim responsibility for any injury to people or property resulting from any ideas, methods, instructions or products referred to in the content. |
© 2024 by the authors. Licensee MDPI, Basel, Switzerland. This article is an open access article distributed under the terms and conditions of the Creative Commons Attribution (CC BY) license (https://creativecommons.org/licenses/by/4.0/).
Share and Cite
Teli, S.; Sethiya, A.; Agarwal, S. Pioneering Synthetic Strategies of 2-Substituted Benzothiazoles Using 2-Aminothiophenol. Chemistry 2024, 6, 165-206. https://doi.org/10.3390/chemistry6010009
Teli S, Sethiya A, Agarwal S. Pioneering Synthetic Strategies of 2-Substituted Benzothiazoles Using 2-Aminothiophenol. Chemistry. 2024; 6(1):165-206. https://doi.org/10.3390/chemistry6010009
Chicago/Turabian StyleTeli, Sunita, Ayushi Sethiya, and Shikha Agarwal. 2024. "Pioneering Synthetic Strategies of 2-Substituted Benzothiazoles Using 2-Aminothiophenol" Chemistry 6, no. 1: 165-206. https://doi.org/10.3390/chemistry6010009
APA StyleTeli, S., Sethiya, A., & Agarwal, S. (2024). Pioneering Synthetic Strategies of 2-Substituted Benzothiazoles Using 2-Aminothiophenol. Chemistry, 6(1), 165-206. https://doi.org/10.3390/chemistry6010009

