Machine Learning-Based Flood Forecasting System for Window Cliffs State Natural Area, Tennessee
Abstract
1. Introduction
2. Materials and Methods
2.1. Study Area
2.2. Data Collection and Preparation
2.2.1. Data Correction and Rescaling
2.2.2. Feature Selection
2.2.3. Training, Testing, and Inference Data Split
2.3. Machine Learning Model Development
2.3.1. Model Architecture Selection
2.3.2. LSTM Model 1
2.3.3. LSTM Model 2
2.3.4. SVR Model
2.3.5. RFR Model
2.4. Hyperparameter Tuning
Model Training
2.5. Model Evaluation
2.5.1. Inclusion of Rainfall Data
2.5.2. Test on the Cumberland River at Ashland City, Tennessee
2.6. Flood Forecasting Interface
3. Results
3.1. Data Collection and Preparation
3.2. Machine Learning Model Development
3.3. Model Evaluation
3.3.1. Inclusion of Rainfall Data
3.3.2. Test on the Cumberland River at Ashland City, Tennessee
3.4. Flood Forecasting Interface
4. Discussion
5. Conclusions
Limitations and Recommendations
Author Contributions
Funding
Institutional Review Board Statement
Data Availability Statement
Acknowledgments
Conflicts of Interest
Abbreviations
| FEWS | Flood early warning system |
| GUI | Graphical user interface |
| HUC | Hydrologic unit code |
| LASSO | Least absolute shrinkage and selection operator |
| LSTM | Long short-term memory |
| MAE | Mean absolute error |
| MSE | Mean squared error |
| NSE | Nash–Sutcliffe model efficiency coefficient |
| NWS | National Weather Service |
| PBIAS | Percent bias |
| RF | Random forest |
| RFC | River forecasting center |
| RFR | Random forest regression |
| SVR | Support vector regression |
| TDEC | Tennessee Department of Environment and Conservation |
| TTU | Tennessee Technological University |
| U.S. | United States |
| USACE | United States Army Corp of Engineers |
| USGS | United States Geological Survey |
Appendix A. Data Availability Chart

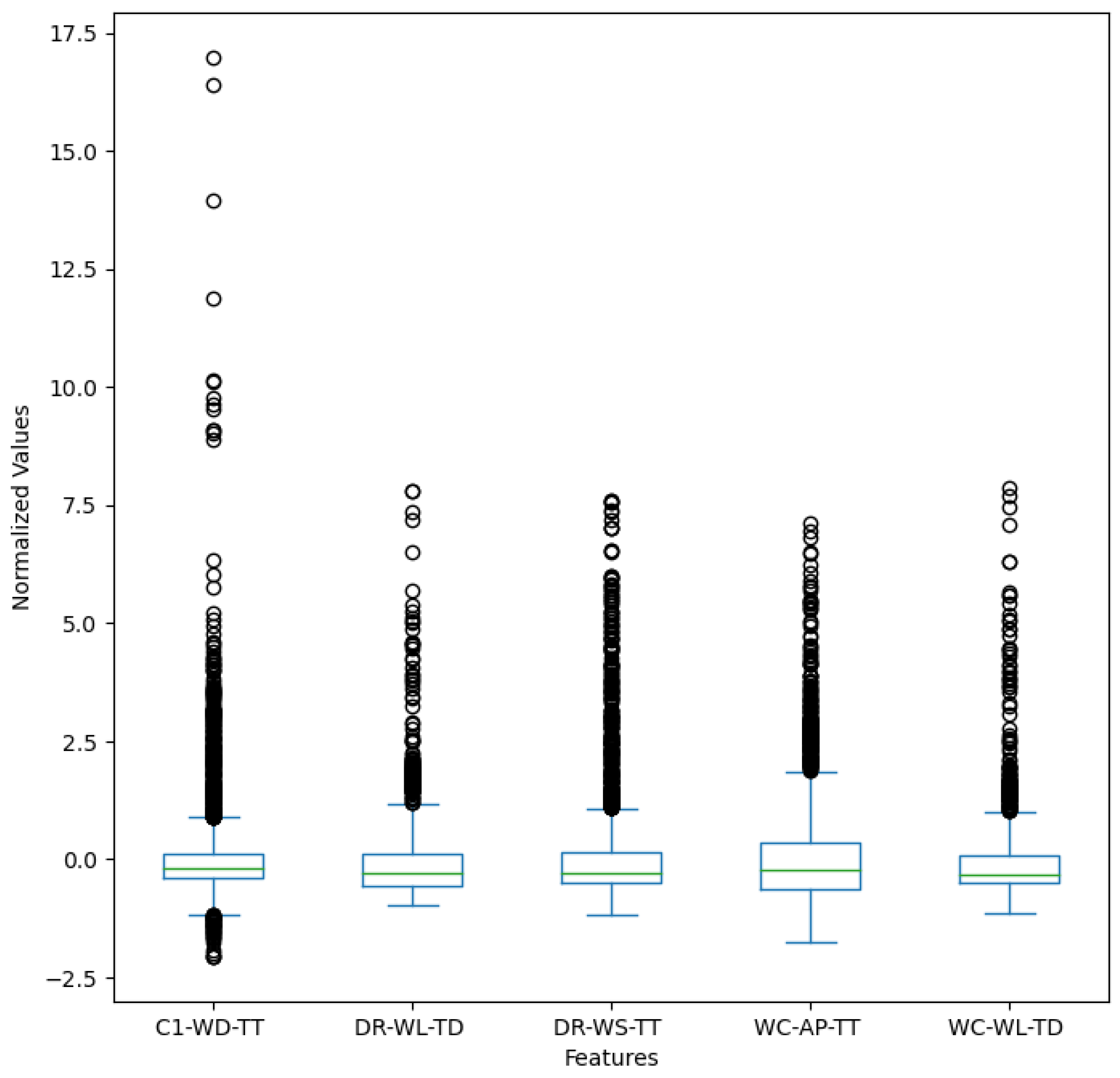
Appendix B. Distribution of Input Features

Appendix C. Spearman’s Ranked Correlation Analysis
| Data Location | Historical Timesteps (h) | |||||||
|---|---|---|---|---|---|---|---|---|
| t − 0 | t − 1 | t − 2 | t − 3 | t − 4 | t − 5 | t − 6 | t − 7 | |
| C1-AP-TT | 0.63 | 0.60 | 0.58 | 0.56 | 0.54 | 0.52 | 0.51 | 0.49 |
| C1-BP-TT | 0.15 | 0.14 | 0.13 | 0.12 | 0.11 | 0.11 | 0.10 | 0.09 |
| C1-DP-TT | 0.72 | 0.68 | 0.65 | 0.63 | 0.61 | 0.59 | 0.57 | 0.55 |
| C1-TP-TT | −0.05 | −0.01 | 0.02 | 0.04 | 0.06 | 0.07 | 0.07 | 0.08 |
| C1-WD-TT | 0.72 | 0.68 | 0.65 | 0.63 | 0.61 | 0.59 | 0.57 | 0.55 |
| DR-RF-TD | 0.19 | 0.20 | 0.21 | 0.21 | 0.21 | 0.22 | 0.21 | 0.20 |
| DR-WL-TD | 0.57 | 0.56 | 0.56 | 0.56 | 0.55 | 0.55 | 0.54 | 0.54 |
| DR-WS-TT | 0.59 | 0.60 | 0.61 | 0.62 | 0.62 | 0.62 | 0.62 | 0.61 |
| HP-RF-TD | 0.05 | 0.06 | 0.07 | 0.08 | 0.07 | 0.06 | 0.05 | 0.04 |
| WC-AP-TT | 0.55 | 0.55 | 0.54 | 0.54 | 0.53 | 0.52 | 0.52 | 0.51 |
| WC-BP-TT | 0.14 | 0.13 | 0.12 | 0.12 | 0.11 | 0.10 | 0.10 | 0.09 |
| WC-DP-TT | 0.41 | 0.41 | 0.41 | 0.41 | 0.41 | 0.41 | 0.41 | 0.41 |
| WC-TP-TT | −0.17 | −0.15 | −0.13 | −0.12 | −0.11 | −0.10 | −0.09 | −0.08 |
| WC-WD-TT | 0.41 | 0.41 | 0.41 | 0.41 | 0.41 | 0.41 | 0.41 | 0.41 |
| WC-WL-TD | 0.55 | 0.56 | 0.57 | 0.58 | 0.58 | 0.58 | 0.59 | 0.59 |

Appendix D. Hyperparameter Tuning Results
| Model | Hyperparameter (Hypertune Metric) | Rank | ||||
|---|---|---|---|---|---|---|
| 1st | 2nd | 3rd | 4th | 5th | ||
| LSTM 1 | No. of LSTM units | 90 | 50 | 110 | 50 | 170 |
| No. of dense units | 180 | 140 | 140 | 230 | 130 | |
| No. of dense layers | 4 | 5 | 1 | 3 | 2 | |
| Learning rate | 0.0560 | 0.0810 | 0.0960 | 0.0660 | 0.0960 | |
| (MSE [ m2]) | 2.211 | 2.230 | 2.230 | 2.239 | 2.239 | |
| LSTM 2 | No. of LSTM units | 25 | 115 | 330 | 25 | 100 |
| No. of dense units | 390 | 265 | 300 | 415 | 355 | |
| No. of ense layers | 2 | 3 | 1 | 4 | 1 | |
| Learning rate | 0.0945 | 0.0937 | 0.0927 | 0.0939 | 0.0728 | |
| (MSE [ m2]) | 0.0316 | 0.0318 | 0.0319 | 0.0321 | 0.0323 | |
| RFR | No. of estimators | 161 | 175 | 163 | 127 | 85 |
| (MSE [ m2]) | 1.384 | 1.384 | 1.384 | 1.394 | 1.394 | |
| SVR | Epsilon | 0.0406 | 0.0502 | 0.0684 | 0.0880 | 0.0739 |
| C | 1.3137 | 7.4276 | 7.9804 | 9.0464 | 6.5188 | |
| (MSE [ m2]) | 2.025 | 2.025 | 2.025 | 2.025 | 2.035 | |
| Model | Hyperparameter (Hypertune Metric) | Rank | ||||
|---|---|---|---|---|---|---|
| 1st | 2nd | 3rd | 4th | 5th | ||
| LSTM 1 | No. of LSTM units | 20 | 150 | 20 | 80 | 20 |
| No. of dense units | 140 | 120 | 160 | 140 | 230 | |
| No. of dense layers | 5 | 2 | 1 | 2 | 1 | |
| Learning rate | 0.0710 | 0.0960 | 0.0760 | 0.0860 | 0.0960 | |
| (MSE [ m2]) | 2.806 | 2.824 | 2.843 | 2.852 | 2.852 | |
| LSTM 2 | No. of LSTM units | 385 | 275 | 60 | 45 | 500 |
| No. of dense units | 400 | 60 | 405 | 335 | 70 | |
| No. of dense layers | 1 | 5 | 1 | 6 | 3 | |
| Learning rate | 0.0969 | 0.0931 | 0.0768 | 0.0984 | 0.0915 | |
| (MSE [ m2]) | 4.534 | 4.562 | 4.580 | 4.580 | 4.580 | |
| RFR | No. of estimators | 155 | 100 | 157 | 166 | 130 |
| (MSE [ m2]) | 1.682 | 1.682 | 1.691 | 1.691 | 1.691 | |
| SVR | Epsilon | 0.0543 | 0.1104 | 0.0253 | 0.0326 | 0.1026 |
| C | 7.7472 | 9.2149 | 4.0142 | 6.6004 | 7.2953 | |
| (MSE [ m2]) | 2.564 | 2.564 | 2.573 | 2.573 | 2.573 | |
| Model | Hyperparameter (Hypertune Metric) | Rank | ||||
|---|---|---|---|---|---|---|
| 1st | 2nd | 3rd | 4th | 5th | ||
| LSTM 1 | No. of LSTM units | 30 | 50 | 60 | 80 | 140 |
| No. of dense units | 100 | 60 | 70 | 250 | 280 | |
| No. of dense layers | 2 | 2 | 4 | 2 | 4 | |
| Learning rate | 0.0460 | 0.0860 | 0.0910 | 0.0710 | 0.0860 | |
| (MSE [ m2]) | 3.317 | 3.363 | 3.372 | 3.372 | 3.391 | |
| LSTM 2 | No. of LSTM units | 195 | 305 | 115 | 35 | 370 |
| No. of dense units | 240 | 65 | 240 | 380 | 280 | |
| No. of dense layers | 2 | 1 | 4 | 6 | 7 | |
| Learning rate | 0.0853 | 0.0802 | 0.0880 | 0.0666 | 0.0965 | |
| (MSE [ m2]) | 6.680 | 6.773 | 6.773 | 6.782 | 6.801 | |
| RFR | No. of estimators | 83 | 163 | 161 | 149 | 72 |
| (MSE [ m2]) | 1.747 | 1.774 | 1.774 | 1.784 | 1.793 | |
| SVR | Epsilon | 0.0773 | 0.0675 | 0.0585 | 0.0218 | 0.0545 |
| C | 8.9307 | 9.9592 | 5.5814 | 9.3182 | 5.2299 | |
| (MSE [ m2]) | 2.899 | 2.908 | 2.926 | 2.964 | 2.964 | |
| Model | Hyperparameter (Hypertune Metric) | Rank | ||||
|---|---|---|---|---|---|---|
| 1st | 2nd | 3rd | 4th | 5th | ||
| LSTM 1 | No. of LSTM units | 30 | 60 | 20 | 190 | 80 |
| No. of dense units | 30 | 210 | 250 | 90 | 90 | |
| No. of dense layers | 3 | 3 | 3 | 2 | 4 | |
| Learning rate | 0.0610 | 0.0860 | 0.0960 | 0.0860 | 0.0710 | |
| (MSE [ m2]) | 3.735 | 3.753 | 3.800 | 3.809 | 3.837 | |
| LSTM 2 | No. of LSTM units | 205 | 455 | 305 | 85 | 335 |
| No. of dense units | 150 | 350 | 110 | 220 | 315 | |
| No. of dense layers | 2 | 5 | 1 | 2 | 1 | |
| Learning rate | 0.0964 | 0.0869 | 0.0721 | 0.0915 | 0.0918 | |
| (MSE [ m2]) | 9.235 | 9.262 | 9.290 | 9.300 | 9.327 | |
| RFR | No. of estimators | 183 | 61 | 191 | 166 | 97 |
| (MSE [ m2]) | 1.858 | 1.858 | 1.867 | 1.877 | 1.877 | |
| SVR | Epsilon | 0.0758 | 0.0801 | 0.0615 | 0.0679 | 0.0467 |
| C | 8.8529 | 7.3196 | 7.3582 | 6.6954 | 7.2667 | |
| (MSE [ m2]) | 3.214 | 3.224 | 3.233 | 3.242 | 3.242 | |
Appendix E. Model Evaluation Results
| Evaluation Metric | Model | Testing Dataset | Inference Dataset | ||||||
|---|---|---|---|---|---|---|---|---|---|
| 3 h | 4 h | 5 h | 6 h | 3 h | 4 h | 5 h | 6 h | ||
| MSE ( m2) | LSTM 1 | 3.995 | 6.503 | 6.317 | 6.968 | 10.684 | 16.165 | 18.859 | 20.717 |
| LSTM 2 | 3.437 | 5.295 | 4.831 | 6.596 | 7.061 | 10.405 | 14.307 | 20.532 | |
| RFR | 2.230 | 4.274 | 3.159 | 3.437 | 11.148 | 14.307 | 17.744 | 21.182 | |
| SVR | 3.623 | 5.946 | 4.831 | 5.574 | 10.312 | 18.859 | 19.324 | 22.947 | |
| PBIAS (%) | LSTM 1 | 1.334 | 6.048 | 2.509 | 1.748 | 12.976 | 17.374 | 19.576 | 21.467 |
| LSTM 2 | −2.408 | −0.604 | 0.114 | 11.461 | 10.654 | 12.408 | 16.281 | 22.289 | |
| RFR | 1.520 | 3.945 | 1.889 | 2.379 | 18.496 | 21.325 | 22.989 | 25.266 | |
| SVR | 3.502 | 5.984 | 5.468 | 5.890 | 18.289 | 27.512 | 26.324 | 28.274 | |
| NSE | LSTM 1 | 0.573 | 0.352 | 0.341 | 0.285 | 0.286 | −0.105 | −0.323 | −0.496 |
| LSTM 2 | 0.637 | 0.467 | 0.503 | 0.325 | 0.526 | 0.287 | −0.007 | −0.483 | |
| RFR | 0.760 | 0.576 | 0.677 | 0.652 | 0.252 | 0.021 | −0.244 | −0.530 | |
| SVR | 0.609 | 0.405 | 0.496 | 0.428 | 0.307 | −0.290 | −0.359 | −0.659 | |
| R2 | LSTM 1 | 0.581 | 0.370 | 0.350 | 0.290 | 0.453 | 0.214 | 0.110 | 0.059 |
| LSTM 2 | 0.639 | 0.477 | 0.503 | 0.383 | 0.639 | 0.474 | 0.311 | 0.168 | |
| RFR | 0.774 | 0.584 | 0.688 | 0.669 | 0.600 | 0.488 | 0.325 | 0.179 | |
| SVR | 0.624 | 0.421 | 0.522 | 0.453 | 0.689 | 0.489 | 0.384 | 0.231 | |
| MAE ( m) | LSTM 1 | 3.048 | 3.840 | 3.993 | 4.145 | 6.279 | 8.169 | 8.992 | 9.571 |
| LSTM 2 | 2.743 | 3.078 | 3.353 | 4.176 | 4.846 | 6.005 | 7.650 | 9.876 | |
| RFR | 1.920 | 2.256 | 2.377 | 2.499 | 8.443 | 9.388 | 10.058 | 10.942 | |
| SVR | 2.225 | 2.652 | 2.835 | 3.109 | 7.498 | 10.820 | 10.516 | 11.217 | |
Appendix F. Evaluation Results with Rainfall Data
| Included Rainfall | Model | NSE | % Peak Difference | Peak Delay (h) |
|---|---|---|---|---|
| DR-RF-TD only | 6 h LSTM 1 | 0.292 | 35.9 | 12 |
| 3 h LSTM 2 | 0.589 | 6.2 | 4 | |
| 3 h RFR | 0.774 | 21.1 | 4 | |
| 3 h SVR | 0.613 | 22.1 | 2 | |
| HP-RF-TD only | 6 h LSTM 1 | 0.299 | 35.0 | 11 |
| 3 h LSTM 2 | 0.603 | 11.2 | 4 | |
| 3 h RFR | 0.765 | 23.5 | 5 | |
| 3 h SVR | 0.617 | 19.2 | 1 | |
| DR-RF-TD and HP-RF-TD | 6 h LSTM 1 | 0.263 | 38.6 | 13 |
| 3 h LSTM 2 | 0.586 | 8.3 | 6 | |
| 3 h RFR | 0.785 | 21.6 | 10 | |
| 3 h SVR | 0.607 | 18.0 | 1 |
References
- Svetlana, D.; Radovan, D.; Ján, D. The Economic Impact of Floods and their Importance in Different Regions of the World with Emphasis on Europe. Procedia Econ. Financ. 2015, 34, 649–655. [Google Scholar] [CrossRef]
- Teng, J.; Jakeman, A.J.; Vaze, J.; Croke, B.F.; Dutta, D.; Kim, S. Flood inundation modelling: A review of methods, recent advances and uncertainty analysis. Environ. Model. Softw. 2017, 90, 201–216. [Google Scholar] [CrossRef]
- Smith, A.B. U.S. Billion-Dollar Weather and Climate Disasters, 1980—Present (NCEI Accession 0209268). Version 4.4. NOAA National Centers for Environmental Information. Dataset. 2020. Available online: https://www.ncei.noaa.gov/access/metadata/landing-page/bin/iso?id=gov.noaa.nodc:0209268 (accessed on 10 December 2020).
- Ready. 2018. Available online: https://www.ready.gov/floods (accessed on 10 December 2020).
- Mosavi, A.; Ozturk, P.; Chau, K.W. Flood Prediction Using Machine Learning Models: Literature Review. Water 2018, 10, 1536. [Google Scholar] [CrossRef]
- Di Baldassarre, G.; Schumann, G.; Bates, P.D.; Freer, J.E.; Beven, K.J. Flood-plain mapping: A critical discussion of deterministic and probabilistic approaches. Hydrol. Sci. J. 2010, 55, 364–376. [Google Scholar] [CrossRef]
- Pashazadeh, A.; Javan, M. Comparison of the gene expression programming, artificial neural network (ANN), and equivalent Muskingum inflow models in the flood routing of multiple branched rivers. Theor. Appl. Climatol. 2020, 139, 1349–1362. [Google Scholar] [CrossRef]
- Solomatine, D.P.; Ostfeld, A. Data-driven modelling: Some past experiences and new approaches. J. Hydroinform. 2008, 10, 3–22. [Google Scholar] [CrossRef]
- Nguyen, T.T.; Huu, Q.N.; Li, M.J. Forecasting Time Series Water Levels on Mekong River Using Machine Learning Models. In Proceedings of the Proceedings—2015 IEEE International Conference on Knowledge and Systems Engineering (KSE), Ho Chi Minh City, Vietnam, 8–10 October 2015; pp. 292–297. [Google Scholar] [CrossRef]
- Mitchell, T. Machine Learning; McGraw-Hill Series in Computer Science; McGraw-Hill: New York, NY, USA, 1997. [Google Scholar]
- Ghorpade, P.; Gadge, A.; Lende, A.; Chordiya, H.; Gosavi, G.; Mishra, A.; Hooli, B.; Ingle, Y.S.; Shaikh, N. Flood Forecasting Using Machine Learning: A Review. In Proceedings of the 2021 8th International Conference on Smart Computing and Communications (ICSCC), Kochi, Kerala, India, 1–3 July 2021; pp. 32–36. [Google Scholar] [CrossRef]
- Nevo, S.; Morin, E.; Gerzi Rosenthal, A.; Metzger, A.; Barshai, C.; Weitzner, D.; Voloshin, D.; Kratzert, F.; Elidan, G.; Dror, G.; et al. Flood forecasting with machine learning models in an operational framework. Hydrol. Earth Syst. Sci. 2022, 26, 4013–4032. [Google Scholar] [CrossRef]
- Frame, J.M.; Kratzert, F.; Klotz, D.; Gauch, M.; Shalev, G.; Gilon, O.; Qualls, L.M.; Gupta, H.V.; Nearing, G.S. Deep learning rainfall–runoff predictions of extreme events. Hydrol. Earth Syst. Sci. 2022, 26, 3377–3392. [Google Scholar] [CrossRef]
- Adams, T.E. Chapter 10—Flood Forecasting in the United States NOAA/National Weather Service; Academic Press: Boston, UK, 2016; pp. 249–310. [Google Scholar] [CrossRef]
- McEnery, J.; Ingram, J.; Duan, Q.; Adams, T.; Anderson, L. NOAA’S Advanced Hydrologic Prediction Service: Building Pathways for Better Science in Water Forecasting. Bull. Am. Meteorol. Soc. 2005, 86, 375–386. [Google Scholar] [CrossRef]
- NOAA. NOAA—National Weather Service—Water. Available online: https://water.weather.gov/ahps/forecasts.php (accessed on 5 November 2021).
- Alund, N.N. After Flooding Deaths at Cummins Falls, NWS Ramps up Communication Efforts. The Tennessean. 2017. Available online: https://www.tennessean.com/story/news/2017/08/17/after-flooding-deaths-cummins-falls-nws-ramps-up-communication-efforts/575550001/ (accessed on 20 January 2021).
- Dance, B. Floods at Cummins Falls: What Safety Measures Are in Place? The Tennessean. 2019. Available online: https://www.tennessean.com/story/news/2019/06/10/cummins-falls-tn-park-flood-safety/1408288001 (accessed on 20 January 2021).
- Davis, A.J. Developing an Early Warning System for Floods for Window Cliffs State Natural Area, Putnam County, Tennessee. Master’s Thesis, Tennessee Technological University, Cookeville, TN, USA, 2019. [Google Scholar]
- TDEC. Window Cliffs. Available online: https://www.tn.gov/environment/program-areas/na-natural-areas/natural-areas-middle-region/middle-region/na-na-window-cliffs.html (accessed on 7 February 2020).
- Shofner, G.A.; Mills, H.H.; Duke, J.E. A simple map index of karstification and its relationship to sinkhole and cave distribution in Tennessee. J. Cave Karst Stud. 2001, 63, 67–75. [Google Scholar]
- Kim, G.; Barros, A.P. Quantitative flood forecasting using multisensor data and neural networks. J. Hydrol. 2001, 246, 45–62. [Google Scholar] [CrossRef]
- Abadi, M.; Agarwal, A.; Barham, P.; Brevdo, E.; Chen, Z.; Citro, C.; Corrado, G.S.; Davis, A.; Dean, J.; Devin, M.; et al. TensorFlow: Large-Scale Machine Learning on Heterogeneous Systems. arXiv 2016. [Google Scholar] [CrossRef]
- Pedregosa, F.; Varoquaux, G.; Gramfort, A.; Michel, V.; Thirion, B.; Grisel, O.; Blondel, M.; Prettenhofer, P.; Weiss, R.; Dubourg, V.; et al. Scikit-learn: Machine learning in Python. J. Mach. Learn. Res. 2011, 12, 2825–2830. [Google Scholar]
- Hochreiter, S.; Schmidhuber, J. Long Short-Term Memory. Neural Comput. 1997, 9, 1735–1780. [Google Scholar] [CrossRef] [PubMed]
- Drucker, H.; Burges, C.J.C.; Kaufman, L.; Smola, A.; Vapnik, V. Support Vector Regression Machines. Adv. Neural Inf. Process. Syst. 1996, 9, 155–161. [Google Scholar]
- Breiman, L. Random Forests. Mach. Learn. 2001, 45, 5–32. [Google Scholar] [CrossRef]
- Cortes, C.; Vapnik, V. Support-vector networks. Mach. Learn. 1995, 20, 273–297. [Google Scholar] [CrossRef]
- Vapnik, V.N. The Nature of Statistical Learning Theory; Springer: New York, NY, USA, 2000. [Google Scholar] [CrossRef]
- Kuhn, M.; Johnson, K. Applied Predictive Modeling; Springer: New York, NY, USA, 2013; pp. 1–600. [Google Scholar] [CrossRef]
- Bergstra, J.; Bengio, Y. Random Search for Hyper-Parameter Optimization. J. Mach. Learn. Res. 2012, 13, 281–305. [Google Scholar]
- Kingma, D.P.; Ba, J. Adam: A Method for Stochastic Optimization. In Proceedings of the 3rd International Conference on Learning Representations, ICLR 2015—Conference Track Proceedings, San Diego, CA, USA, 7–9 May 2015; pp. 1–15. [Google Scholar] [CrossRef]
- Moriasi, D.N.; Arnold, J.G.; Van Liew, M.W.; Bingner, R.L.; Harmel, R.D.; Veith, T.L. Model evaluation guidelines for systematic quantification of accuracy in watershed simulations. Trans. Asabe 2007, 50, 885–900. [Google Scholar] [CrossRef]
- Bates, B.C.; Kundzewicz, Z.; Wu, S. Climate Change and Water; Technical Paper of the Intergovernmental Panel on Climate Change; IPCC Secretariat: Geneva, Switzerland, 2008. [Google Scholar]
- Kundzewicz, Z.W.; Kanae, S.; Seneviratne, S.I.; Handmer, J.; Nicholls, N.; Peduzzi, P.; Mechler, R.; Bouwer, L.M.; Arnell, N.; Mach, K.; et al. Flood risk and climate change: Global and regional perspectives. Hydrol. Sci. J. 2014, 59, 1–28. [Google Scholar] [CrossRef]
- Union of Concerned Scientists. Climate Change, Extreme Precipitation, and Flooding. 2018. Available online: https://www.ucsusa.org/resources/climate-change-extreme-precipitation-and-flooding (accessed on 5 July 2022).
- Thomas, K.; Ragan-Kelley, B.; Pérez, F.; Granger, B.; Bussonnier, M.; Frederic, J.; Kelley, K.; Hamrick, J.; Grout, J.; Corlay, S.; et al. Jupyter Notebooks—A publishing format for reproducible computational workflows. In Proceedings of the Positioning and Power in Academic Publishing: Players, Agents and Agendas, 20th International Conference on Electronic Publishing, Göttingen, Germany, 7–9 June 2016; pp. 87–90. [Google Scholar] [CrossRef]











| Location | Data Type | Owner | Code |
|---|---|---|---|
| Cane Creek crossing 1 | Absolute pressure | TTU | C1-AP-TT |
| Barometric pressure | C1-BP-TT | ||
| Differential pressure | C1-DP-TT | ||
| Temperature | C1-TP-TT | ||
| Water depth | C1-WD-TT | ||
| Cane Creek crossing 10 | Absolute pressure | TTU | C0-AP-TT |
| Barometric pressure | C0-BP-TT | ||
| Differential pressure | C0-DP-TT | ||
| Temperature | C0-TP-TT | ||
| Water depth | C0-WD-TT | ||
| Window Cliffs Road | Absolute pressure | TTU | WC-AP-TT |
| Barometric pressure | WC-BP-TT | ||
| Differential pressure | WC-DP-TT | ||
| Temperature | WC-TP-TT | ||
| Water depth | WC-WD-TT | ||
| Ditty Road | Water surface elevation | TTU | DR-WS-TT |
| Ditty Road | Rainfall | TDEC | DR-RF-TD |
| Water level | DR-WL-TD | ||
| Highland Park Boulevard | Rainfall | TDEC | HP-RF-TD |
| Window Cliffs Road | Water level | TDEC | WC-WL-TD |
| Model | Hyperparameter | Range |
|---|---|---|
| LSTM 1 | No. of LSTM units | 20–300 |
| No. of dense units | 20–300 | |
| No. of dense layers | 1–6 | |
| Learning rate | 0.001–0.100 | |
| LSTM 2 | No. of LSTM units | 20–500 |
| No. of dense units | 20–500 | |
| No. of dense layers | 1–6 | |
| Learning rate | 0.001–0.100 | |
| RFR | No. of estimators | 20–200 |
| SVR | Epsilon () | 0.001–1.000 |
| Regularization constant (C) | 0.1–10.0 |
| Location | Data Type | Source |
|---|---|---|
| Browns Creek State Fairgrounds, Nashville | Flow (cfs); stage (ft) | USGS |
| Cumberland River, Ashland City | Flow (cfs); stage (ft) | USGS |
| Cumberland River, Nashville | Flow (cfs); stage (ft) | USGS |
| Cumberland River, Old Hickory Dam (tailwater) | Stage (ft) | USACE |
| Dry Creek, Edenwold | Flow (cfs); stage (ft) | USGS |
| Mill Creek Thompson Lane, near Woodbine | Flow (cfs); stage (ft) | USGS |
| Richland Creek Charlotte Ave, Nashville | Flow (cfs); stage (ft) | USGS |
| Stones River, U.S. Hwy 70 near Donelson | Flow (cfs); stage (ft) | USGS |
| Whites Creek, Bordeaux | Flow (cfs); stage (ft) | USGS |
| Model | Hyperparameter (Evaluation Metric) | Lead Time | |||
|---|---|---|---|---|---|
| 3 h | 4 h | 5 h | 6 h | ||
| LSTM 1 | No. of LSTM units | 90 | 20 | 30 | 30 |
| No. of dense units | 180 | 140 | 100 | 30 | |
| No. of dense layers | 4 | 5 | 2 | 3 | |
| Learning rate | 0.0560 | 0.0710 | 0.0460 | 0.0610 | |
| (MSE [ m2]) | 2.230 | 2.806 | 3.317 | 3.735 | |
| LSTM 2 | No. of LSTM units | 25 | 385 | 195 | 205 |
| No. of dense units | 390 | 400 | 240 | 150 | |
| No. of dense layers | 2 | 1 | 2 | 2 | |
| Learning rate | 0.0945 | 0.0969 | 0.0853 | 0.0964 | |
| (MSE [ m2]) | 2.936 | 4.534 | 6.680 | 9.235 | |
| RFR | No. of estimators | 161 | 155 | 83 | 183 |
| (MSE [ m2]) | 1.384 | 1.682 | 1.747 | 1.858 | |
| SVR | Epsilon | 0.0406 | 0.0543 | 0.0773 | 0.0758 |
| C | 1.3137 | 7.7472 | 8.9307 | 8.8529 | |
| (MSE [ m2]) | 2.025 | 2.564 | 2.899 | 3.214 | |
| Lead Time | Model | Observed Peak Time (yyyy-mm-dd hh:mm) | Forecast Peak Time (yyyy-mm-dd hh:mm) | Delay (hh:mm) | % Peak Difference |
|---|---|---|---|---|---|
| 3 h | LSTM 1 | 2022-01-01 21:00 | 2022-01-02 05:00 | 08:00 | 21.8 |
| LSTM 2 | 2022-01-02 01:00 | 04:00 | 8.2 | ||
| RFR | 2022-01-02 01:00 | 04:00 | 22.9 | ||
| SVR | 2022-01-01 23:00 | 02:00 | 22.9 | ||
| 4 h | LSTM 1 | 2022-01-01 21:00 | 2022-01-02 08:00 | 11:00 | 31.2 |
| LSTM 2 | 2022-01-02 02:00 | 05:00 | 9.1 | ||
| RFR | 2022-01-02 05:00 | 08:00 | 24.2 | ||
| SVR | 2022-01-01 23:00 | 02:00 | 22.8 | ||
| 5 h | LSTM 1 | 2022-01-01 21:00 | 2022-01-02 09:00 | 12:00 | 34.9 |
| LSTM 2 | 2022-01-02 04:00 | 07:00 | 19.0 | ||
| RFR | 2022-01-02 05:00 | 08:00 | 36.9 | ||
| SVR | 2022-01-02 03:00 | 06:00 | 27.7 | ||
| 6 h | LSTM 1 | 2022-01-01 21:00 | 2022-01-02 09:00 | 12:00 | 37.3 |
| LSTM 2 | 2022-01-02 08:00 | 11:00 | 22.5 | ||
| RFR | 2022-01-02 02:00 | 05:00 | 36.9 | ||
| SVR | 2022-01-02 03:00 | 06:00 | 27.7 |
| Model Type | Correlated Only | Correlated + DR-RF-TD | Correlated + HP-RF-TD | Correlated + DR-RF-TD & HP-RF-TD |
|---|---|---|---|---|
| 3 h RFR | 0.760 | 0.774 | 0.765 | 0.785 |
| 6 h LSTM 1 | 0.285 | 0.292 | 0.299 | 0.263 |
| Model Type | Correlated Only | Correlated + DR-RF-TD | Correlated + HP-RF-TD | Correlated + DR-RF-TD & HP-RF-TD |
|---|---|---|---|---|
| 3 h SVR | 2 h | 2 h | 1 h | 1 h |
| 6 h LSTM 1 | 12 h | 12 h | 11 h | 10 h |
| Model Type | Correlated Only | Correlated + DR-RF-TD | Correlated + HP-RF-TD | Correlated + DR-RF-TD and HP-RF-TD |
|---|---|---|---|---|
| 3 h LSTM 2 | 8.2% | 6.2% | 11.2% | 8.3% |
| 6 h LSTM 1 | 37.3% | 35.9% | 35.0% | 38.6% |
| Evaluation Metric | Testing Dataset | Inference Dataset |
|---|---|---|
| MSE ( m2) | 2.601 | 2.230 |
| PBIAS (%) | −0.083 | −0.054 |
| NSE | 0.980 | 0.970 |
| R2 | 0.980 | 0.970 |
| MAE ( m) | 3.688 | 3.353 |
Disclaimer/Publisher’s Note: The statements, opinions and data contained in all publications are solely those of the individual author(s) and contributor(s) and not of MDPI and/or the editor(s). MDPI and/or the editor(s) disclaim responsibility for any injury to people or property resulting from any ideas, methods, instructions or products referred to in the content. |
© 2024 by the authors. Licensee MDPI, Basel, Switzerland. This article is an open access article distributed under the terms and conditions of the Creative Commons Attribution (CC BY) license (https://creativecommons.org/licenses/by/4.0/).
Share and Cite
Darkwah, G.K.; Kalyanapu, A.; Owusu, C. Machine Learning-Based Flood Forecasting System for Window Cliffs State Natural Area, Tennessee. GeoHazards 2024, 5, 64-90. https://doi.org/10.3390/geohazards5010004
Darkwah GK, Kalyanapu A, Owusu C. Machine Learning-Based Flood Forecasting System for Window Cliffs State Natural Area, Tennessee. GeoHazards. 2024; 5(1):64-90. https://doi.org/10.3390/geohazards5010004
Chicago/Turabian StyleDarkwah, George K., Alfred Kalyanapu, and Collins Owusu. 2024. "Machine Learning-Based Flood Forecasting System for Window Cliffs State Natural Area, Tennessee" GeoHazards 5, no. 1: 64-90. https://doi.org/10.3390/geohazards5010004
APA StyleDarkwah, G. K., Kalyanapu, A., & Owusu, C. (2024). Machine Learning-Based Flood Forecasting System for Window Cliffs State Natural Area, Tennessee. GeoHazards, 5(1), 64-90. https://doi.org/10.3390/geohazards5010004

