Abstract
The main objective of the current work is to evaluate the effect of adding biochar obtained by pyrolysis of a mixture of greenhouse waste to agricultural soil, measuring its effectiveness as an amendment. A mixture of broccoli, zucchini, and tomato plant residues was pyrolyzed in a lab-scale reactor at 450 °C, obtaining a biochar yield of 35.6%. No carrier gas was used in the process. A thorough characterization of the biochar obtained was performed, including elemental and proximal analysis, density, pH, electrical conductivity, cation exchange capacity, surface area, and metal content. Since the raw material had a high percentage of ash (approximately 20%), the resulting biochar contained around 50% inorganic matter, with potassium and calcium being the major metals detected (10–11%). This biochar had a 29% fixed carbon content, a high heating value of 11.5 MJ kg−1, a cation exchange capacity of 477 mmol kg−1, and an electrical conductivity of 16 mS cm−1.The biochar was mixed with greenhouse soil and fertilizer to form a substrate to grow bean seeds, the crop selected for the study. Different experiments were carried out, varying the biochar, fertilizer, and soil percentages. By adding 0.5% biochar to a substrate containing 1% fertilizer, the bean production was increased by 24.5%. It is worth noting that by adding only 0.5% biochar to soil, the bean production reached higher values than when adding 1% fertilizer. Biochar produced from the studied biomass improved the productivity of agricultural soils. The avoidance of selective collection by farmers as well as the non-use of carrier gas in the pyrolysis process made the implementation of the pyrolysis system in situ easier. Consequently, this research has great potential for practical application in modest agricultural areas.
1. Introduction
Global waste generation is very large. A total of 2010 million tons of solid municipal waste are generated worldwide annually, 44% of which corresponds to food and green waste [1]. In agriculture, fertilizers are used which generate environmental problems (e.g., nitrates) and consume fossil resources for their synthesis. Faced with these problems, it is important to seek methods to take advantage of this type of waste, especially green waste.
Pyrolysis is presented as a method of waste valorization, in which biomass is thermally degraded in the absence of oxidants (or with a low concentration of them). The heating rate and process temperature are the main parameters that control the yield of the products obtained in the process.
During the pyrolysis, many O, H, and N atoms are removed, and the solid fraction increases its proportion of C atoms, which polymerize in the form of aromatic sheets with a flat structure, arranged irregularly, creating interstices and thus obtaining biochar. The characterization of the biochar is very important to exploit this by-product in various applications [2].
To maximize biochar production under pyrolysis conditions, a low heating rate is recommended, since a high rate breaks bonds quickly, causing a predominance of secondary reactions and decreasing the solid fraction [3,4,5]. Suitable conditions for slow pyrolysis are a temperature between 350 and 500 °C, a residence time between 30 and 60 min, and a heating rate between 7 and 10 °C min−1 [6,7].
In addition to its application as a fuel or as an activated carbon in industry, biochar can be beneficial as an agricultural soil amendment. Some of the properties of the biochar obtained that directly influence its capacity as a soil amendment are pH, electrical conductivity, cation exchange capacity, surface area, and metal content. In general, the high concentration of alkaline cations in the ashes is the cause of the high pH values that biochar normally presents, increasing with pyrolysis temperature [8,9]. The formation of carboxylic and carbonyl groups during pyrolysis contributes to the formation of negative charges on the surface of the biochar, which are essential for cation retention in the soil. When the pyrolysis temperature is increased, the formation of these groups is reduced, which may partly explain the decrease in cation exchange capacity as well [8]. An increase in this property in the soil can improve its fertility by reducing nutrient leaching [2]. On the other hand, the degree of porosity of the biochar determines its adsorption capacity and its capacity for nutrient transfer to the plant as well as water retention. The higher the pyrolysis temperature, the greater the surface area value [2]. As for the heavy metal content, biochars from plant biomass generally only contain trace amounts and can therefore be used as an amendment for agricultural soils.
The total contents of C, H, N, O, and S in biochar are determined to calculate the atomic ratios of H/C, O/C, and C/N, which indicate the degree of aromaticity and the polarity of the biochar. In general, biochar from agricultural residues contains an average of 2% nitrogen, 2% hydrogen, 13–23% oxygen, and 44–64% carbon [2]. An increase in the pyrolysis temperature produces a decrease in the hydrogen and oxygen content to a greater degree than carbon due to the volatiles evolved. This allows the H/C ratio to decrease, producing an increase in the aromaticity of the biochar, making it more stable to degradation [2]. According to the International Biochar Initiative, biochars with a molar H/C ratio lower than 0.7 are suitable for soil amendment [10].
In the literature, there are different studies related to the application of biochar to soils. Agegnehu et al. [11] conducted a review with more than 600 references on biochar and mixtures of biochar and compost as agricultural soil amendments. Overall, the application of compost plus biochar proved to be most effective than any of the components alone at improving soil properties and crop yields, also showing a huge potential to reduce greenhouse gases, such as CO2 and NO2. It was revealed that most of the studies had been performed with wood and municipal waste as opposed to the use of crop residues and manure.
Joseph et al. [12] reviewed the literature over a 20-year period related to the benefits that biochar offers to agricultural soils. They concluded that although the results largely depend on feedstock and pyrolysis conditions, in general, biochar being added to soil improves plant nutrient supply and uptake, decreases heavy metal concentration in plant tissues, increases crop yields (especially in acidic soils with low nutrient content), and can be used as a remediation tool for contaminated agricultural soils. According to these authors, the relationship between the soil, plants, and biochar depends on time. Initially, water enters the pores of the biochar and dissolves organic matter and mineral compounds, increasing the soil’s carbon, cation, and anion content. Regarding the effect on seed germination and growth, the presence of biochar can be positive at low doses and negative at high doses. The factors that determine the relationship between biochar and seed germination are the release of salts and phytotoxins, the release of hormones that promote germination, and changes in soil porosity and water retention. In the medium-term, biotic and abiotic processes occur that modify the physico-chemical properties of biochar, developing a reactive surface that participates in different types of reactions. Biochar affects the abundance of microorganisms (especially the rhizosphere), which can improve nutrient uptake.
There are examples in the literature where a high percentage of biochar in the soil was detrimental to the crop. The growth of tomato and sweet bell pepper plants was negatively affected by the addition of biochar produced from broccoli plant residues at levels of 2.5 and 5.0%, while at rates of 0.5 and 1%, an increase in leaf nutrient concentrations was detected [13].
In conclusion, the use of biochar, in the appropriate proportion, mitigates climate change and supports food, security, and a circular economy [14,15].
The city of Quito generates around 1200 t day−1 of organic waste [16]. The urban and peri-urban greenhouses, supported by the municipal project AGRUPAR, generate 552 t year−1 of plant waste, both from the pruning of plants and from the harvesting of their products. These wastes are poorly managed and mostly go to landfills, others to arroyos, and a few are managed as compost for agricultural soil.
In this context, the starting hypothesis of the current work is that the pyrolysis of these residues can produce a biochar that, when added to the soil of the greenhouses, increases their productivity. Confirmation of this hypothesis would benefit greenhouse farmers and bring their management closer to a small-scale circular economy.
Based on this hypothesis, three main objectives have been proposed: (1) to obtain biochar from greenhouse waste by slow pyrolysis; (2) to analyze the biochar obtained to ensure its potential use as a soil amendment; (3) to verify its effectiveness on bean cultivation in greenhouse soil.
2. Materials and Methods
2.1. Materials
Biochar was produced from plant residues (stems and leaves) of broccoli, tomato, and zucchini crops obtained from peri-urban greenhouses in the city of Quito.
The biochar was applied on a substrate made up of soil and ECOABONASA industrial fertilizer in which beans were grown. The soil used was collected from urban greenhouses. It was clay soil with sufficient moisture for agriculture, a soft texture, and a dark brown color. The soil used contained minerals that were mainly in the form of potassium, phosphorus, calcium, and magnesium oxides. The bean variety used in this study was the CENTENARIO variety of the bush type, with a red color, large size, and kidney shape [17].
2.2. Pretreatments
The 3 biomasses were dried in an oven at 105 °C for 14 h. In this way, the percentage of moisture in the biomasses collected from the greenhouses was reduced from 80–90% to 6–8% on a wet basis.
After the drying process, the biomass of each residue was ground using a Retsch SM300 cutting mill (Retsch GmbH, Haan, Düsseldorf, Germany), equipped with a 1.5 mm mesh screen, at 700 rpm.
Equal parts each of dry and ground biomass were mixed, and a unified biomass was formed.
2.3. Biochar Production
The unified biomass was pyrolyzed in a lab-scale fixed-bed reactor (Figure 1). It was made of stainless steel, having a cylindrical shape (8 × 15 cm), with a usable volume of 0.75 L. The heating system was based on electrical resistances located on the internal wall of a cylindrical furnace where the reactor was placed. The temperature and pressure of the reactor were controlled by a thermocouple located inside the reactor and a pressure gauge located in the detachable head, respectively. As shown in Figure 1, the pyrolysis gases left the reactor through the outlet located in the upper part. At the outlet for the gases, a heat exchanger was connected to cool the volatiles (using water as the cooling fluid), thus regulating the temperature of the released gases during the pyrolysis process.
Figure 1.
Pyrolyzer equipment used in this study: reactor (A), furnace (B), temperature control (C), pressure gauge connection (D).
No carrier gas was allowed to enter the reactor, so the atmosphere inside the pyrolyzer was very low in oxygen, similar to an inert atmosphere. The reactor operated in batch mode. These aspects make the process cheaper and easier to scale up, favoring its implementation.
In each batch, approximately 150 g of unified biomass was introduced into the reactor. The reactor was then sealed and heated up to 450 °C at a heating rate of 10 °C min−1. This temperature was kept for 30 min. Afterwards, the electric furnace was disconnected, thus allowing the reactor to cool down. Once the temperature was sufficiently low, the biochar formed was discharged from the vessel.
2.4. Sample Characterization
A FlashSmart Elemental Analyzer (ThermoFisher Scientific, Waltham, MA, USA) was used to determine the percentages of C, H, N, and S. The analysis is based on the modified DUMAS method consisting of a dynamic flash combustion of the sample, followed by a reduction process, and completed by gas-phase chromatographic separation and detection of the products using a thermal conductivity detector (TCD). The oxygen percentage was obtained by difference, considering the ash value and the equilibrium moisture content of the samples.
Proximal analysis was performed on a Mettler-Toledo TGA-1 thermogravimetric balance. The use of thermogravimetric analysis (TGA) to perform proximal analysis was based on previous studies [18] where similar results to those obtained by ASTM methods (E-871, E-1755 and E-872 for moisture, ash, and volatiles, respectively) had been achieved. The sample was heated at a rate of 10 °C min−1 from room temperature to 100 °C with a N2 flow of 80 mL min−1, keeping this temperature for 15 min for moisture determination of the sample. At the same heating rate, the temperature was then increased to 700 °C, determining the volatile content of the sample. Afterwards, the nitrogen flow was replaced by an air atmosphere, keeping the temperature constant for 20 min, finally determining the percentage of fixed carbon and ash.
Measurement of pH and electrical conductivity (EC): 20 mL of distilled water was added to 1 g of sample, stirred with a magnetic stirrer for 90 min, and the pH and electrical conductivity were determined [19]. The pH measurement was performed using a Crison pH meter, model Basic 20, and the conductivity measurement was conducted with a Crison conductivity meter, model microCM 2200 (Crison, Alella, Barcelona, Spain).
Measurement of cation exchange capacity (CEC): The procedure consisted of 2 steps. In step 1, the cation exchange process was performed, following the procedure described by Rajkovich et al. [19]. For this purpose, the sample was impregnated with an ammonium acetate buffer solution at pH 7, then an exchange of NH4+ cations for K+ was performed by adding a potassium chloride solution to the previous dried sample. In step 2, the ammonium content in solution was determined by spectrophotometry at a wavelength of 640 nm, following the procedure proposed by Le and Boyd [20].
Density was determined by an automatic Helium Microultrapycnometer (Quantachrome Instruments, Boynton Beach, FL, USA). To determine the bulk density, the volume occupied by a known amount of sample was measured using a graduated cylinder.
The Inductively Coupled Plasma Mass Spectrometry (ICP-MS) technique (Agilent 7700×) (Agilent Technologies, Santa Clara, CA, USA) was used to determine the presence of metals in the sample, as well as their semi-quantitative composition.
For pore size distribution and surface area determination, the analysis was carried out by N2 adsorption isotherms at 77 K, using an Autosorb-6 (Quantachrome Instruments). The sample was previously degassed for 8 h at 250 °C. The Barrett–Joyner–Halenda/Dollimore–Heal (BJH/DH) method was applied to the isotherm data to obtain the pore size distribution, and the Brunauer–Emmett–Teller (BET) equation was used to calculate the surface area.
The higher heating value (HHV) of the samples was estimated using the equation proposed by Huang and Lo [21] for lignocellulosic materials and biochars.
where C, H, O, N, S, represent the percentage of elemental biomass composition.
2.5. Biochar Application
Experiments were designed to analyze the influence of biochar on bean production. A randomized block design (RBD) was used to evaluate four crop treatments, with five replicates divided into four blocks. The input variables corresponded to the percentages of biochar, soil, and fertilizer, which formed the substrate that fed the bean plant. The output variables corresponded to the productivity index, germination period, and number of flowers for each experiment. A total of 20 pots corresponding to 5 replicates of 4 different combinations of Soil/Fertilizer/Biochar were prepared. The pots were located in a greenhouse environment, where the climate was temperate with a temperature range of 12 to 20 °C throughout the year, with stable parameters of temperature, aeration, and humidity.
Three bean seeds were sown in each pot (replicate of each experiment), to reduce the probability of non-germination for any of them. The total process covered 132 days until harvest.
First, the number of days after which the seeds germinated was determined, then after 85 days the number of flowers of each replicate and experiment was counted, and after 132 days the beans were harvested. The number of beans per plant was counted and the mass of beans per replicate was weighed.
Once the results were obtained, a statistical analysis of the results was carried out in relation to the values of the independent variables. This statistical analysis was based on a one-factor analysis of variance (ANOVA) and Student’s t-test.
3. Results and Discussion
3.1. Biomass Characterization
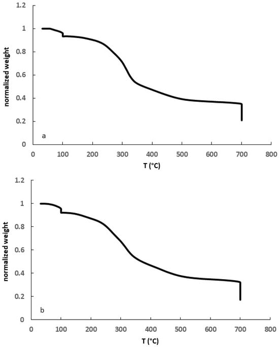
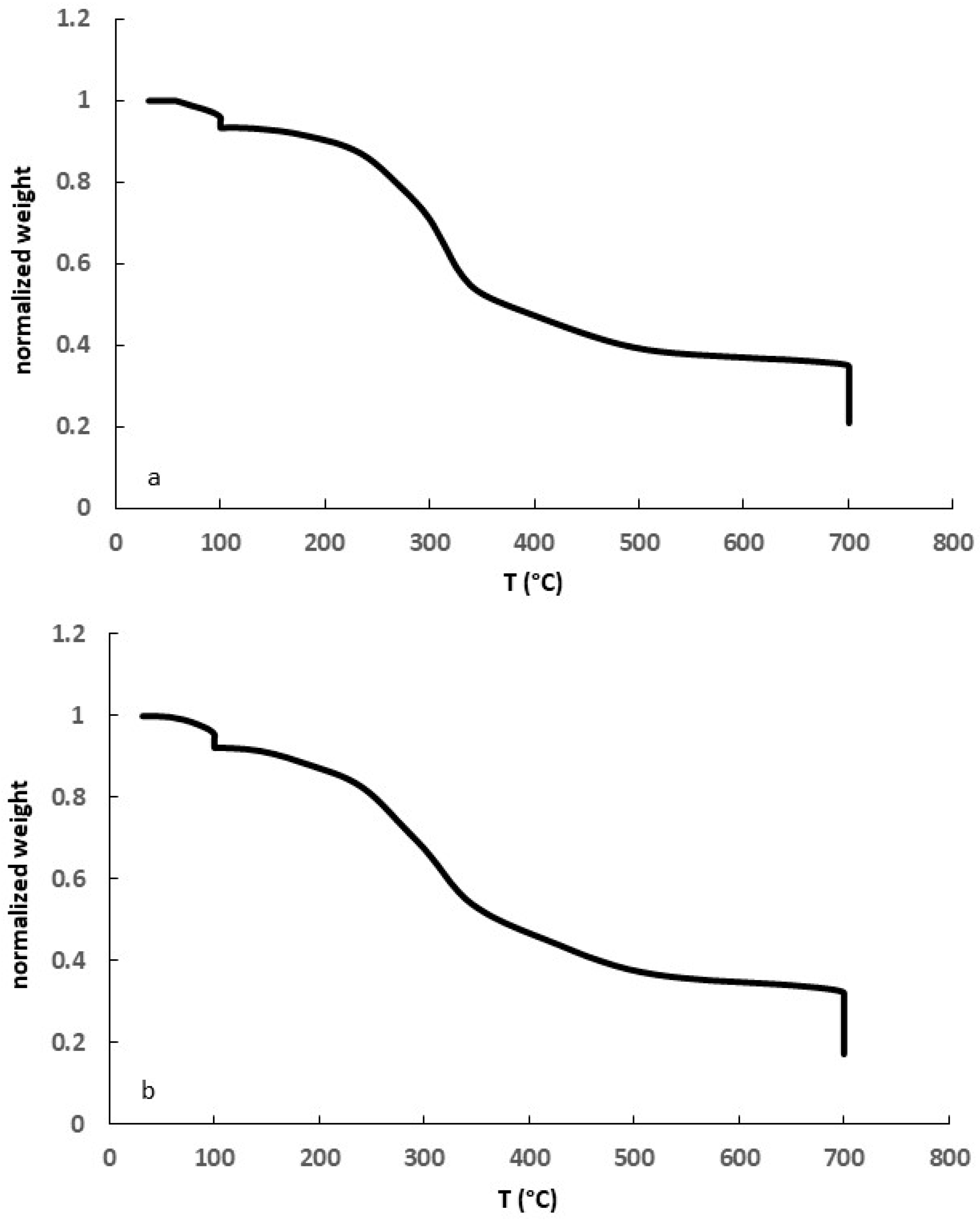
Thermogravimetric analysis of the raw materials used has been carried out. The operating conditions are indicated in Section 2.4. Figure 2 shows the TG curves at 10 °C min−1 from room temperature to the end of the process once the fixed carbon has been burnt at 700 °C by replacing the N2 stream with air. Figure 3 shows the DTG curves in the range of 100–600 °C that cover the decomposition range of the organic fractions of biomass.

Figure 2.
TG curves at 10 °C min−1 of the raw materials used: (a) tomato, (b) broccoli, (c) zucchini.

Figure 3.
−DTG curves at 10 °C min−1 of the raw materials used: (a) tomato, (b) broccoli, (c) zucchini.
The TG and DTG curves obtained show the typical shape of the decomposition processes of lignocellulosic materials. The DTG curves show a shoulder around 250 °C, characteristic of the decomposition of the hemicellulose fraction, and a peak around 310 °C, characteristic of the decomposition of the cellulose. The shoulder above 400 °C corresponds mainly to the decomposition of the lignin. Around 160 °C, a DTG peak is observed in broccoli, which does not appear in the other biomasses. It is associated with the decomposition of glucosinolates, typical compounds of the Brassica spp. [22].
Table 1 shows the summary of the biomass characterization results after the drying and milling processes. It includes both the analysis of each one of the residues as well as the value of the properties measured in the unified biomass used to obtain biochar.
Table 1.
Characterization of biomass used and biochar obtained.
The characterization of raw materials allows information to be obtained about their possible applications, since some of their characteristics can condition the subsequent use of the material. The ones used in this work are lignocellulosic materials belonging to the group of agricultural waste from greenhouse crops, thus their characteristics can be compared with those of this type of waste.
Ultimate and proximate analysis give an idea of the expected yield of volatiles and carbon from the residues. Vassilev et al. [23] analyzed the chemical composition of 86 varieties of biomass. The range of values for C, O, and H content (on a dry ash-free basis) in the herbaceous and agricultural biomass group was 42.2–58.4%, 34.2–49.0%, and 3.2–9.2%, respectively. The average contents for the biomasses used in this paper, on the same basis, are 48.4% C, 41.2% O, and 4.3% H, which are coherent with the previous ranges. It is relevant to indicate the high N content of the biomasses studied, especially in the case of tomato and zucchini plants (the maximum value reported by Vassilev et al. for agricultural biomass is 3.4% on a dry ash-free basis). In general, high values of H/C and O/C ratios favor the production of volatiles during the pyrolysis process, while low values of these ratios favor the production of the solid fraction. Apaydin-Varol and Pütün [24] obtained an average of 1.41 and 0.52 for atomic H/C and O/C ratios, respectively, in an analyses of pinecones, corn stalks, soybean cakes, and peanut shells. In the present study, an average of 1.07 and 0.64 was obtained for the atomic H/C and O/C ratios, respectively, so it is assumed that the biochar yield obtained from these residual biomasses will be significant.
Few references with information on ultimate or proximate analysis of the biomasses studied have been found in the literature. Moreno et al. [25] present data on tomato plant ash (17.5%) while Llorach-Massana et al. [26] include similar information but distinguish between the ash content of tomato leaves (18–23%) and that of the stems (8–15%). According to the value obtained in the present work, it seems that the tomato plant residues used contained a higher percentage of leaves than stem. From the list of biomasses provided by Vassilev et al. [23], the one with the most similar characteristics to those used in the current work is the pepper plant. The percentages of volatile matter (60.5), fixed carbon (19.5), moisture (6.5), and ash (13.5) contained in that biomass are very close to those shown in Table 1. In general, agricultural biomass contains higher percentages of ash than forestry biomass [26], high mineral content being a typical characteristic of greenhouse crops [25,27] such as those used in this study.
Callejón-Ferre et al. [28] present a list of eight greenhouse crops and their HHV predicted by models based on their lignin, cellulose, hemicellulose, and extractives content. The HHV obtained were in the range of 12–17 MJ kg−1, which is close to those obtained in this work. In general, high contents of oxygen and ash in the sample result in a low calorific value, which limits its use as biofuel.
The dried biomass used maintained an average 7.4% equilibrium moisture, which is a suitable percentage for the pyrolysis process (lower than 30%). According to Tripathi et al. [4], lower-moisture biomass leads to a high amount of residue. Furthermore, the high ash content of the biomass used suggests that the biochar obtained would have an ash content great enough that it would be difficult to use as solid fuel.
All these aspects led us to consider that a good option for valorizing this waste could be the production of biochar for use as a soil amendment.
3.2. Biochar Characterization
The slow pyrolysis process of this unified biomass at 450 °C, a heating rate of 10 °C min−1, and a reaction time of 30 min led to a biochar yield of 35.6 ± 2.7%. The pyrolysis process parameters were selected based on previous studies. According to Tripathi et al. [4], slow pyrolysis favors the formation of char over the liquid and gas fractions and is the usual process for biochar production. The heating rate should be in the range of 0.1–1 °C s−1, reaching temperatures in the range of 400–500 °C for 5–30 min. According to Boer et al. [29], the optimal parameters for producing biochar are heating rates between 2 and 16 °C min−1 and temperatures above 240 °C, centered in the range of 300–500 °C.
In the TG curves of the raw materials (Figure 2) it was observed that at 450 °C, around 40% of the initial sample weight was maintained, which is consistent with the percentage of biochar obtained in the reactor, despite the differences between both experimental systems.
In the literature, some references are found related to obtaining biochar from raw materials similar to those of the present study. For example, Encinar et al. [30] pyrolyzed tomato plant waste at 400 and 500 °C, obtaining yields of 27 and 25.4%, respectively. On the other hand, Mohawesh et al. [13] obtained biochar from broccoli waste by pyrolysis at 350 °C, with a yield of 34.7%. Those values are comparable to those presented in this work, considering the differences between the biomasses and operating conditions.
Table 1 also includes the results of the characterization of the biochar obtained.
The high percentage of ash in the biochar caused both elemental and proximate analyses to vary greatly depending on the calculation base selected. By expressing the elemental analysis percentages on a dry ash-free basis, the resulting values were C 73.6%, H 2.6%, N 5.2%, and O 18.6%. Percentages of C, H, and O were comparable to others found in the literature coming from raw materials as diverse as pine wood, sugarcane bagasse, or corn straw [31]. Due to the high N content of the unified biomass used in the present work, the percentage of this element in the biochar was higher than that found in other feedstocks.
The H/C molar ratio of 0.42, being less than 0.7, complied with the International Biochar Initiative recommendation for using biochar as an agricultural soil amendment. Likewise, the O/C ratio of 0.19 ratified the higher proportion of carbon, which is beneficial to the soil.
As expected, the evolution of volatiles in the pyrolysis process led to a significant increase in the percentage of fixed carbon in the biochar compared with the original biomass. If the fixed carbon is expressed on a dry ash-free basis, this value varies from 20% in the used biomass to 65% in the biochar. This percentage was highly dependent on the raw material and the operating conditions, which has led to there being many different values in the literature. For example, biochar produced from wood pyrolysis at 300 °C and a residence time of 10 min contains 22% fixed carbon (on dry ash free basis) and at 450 °C for 60 min, 83% on the same basis [32]. Encinar et al. [30] obtained biochar from tomato plant residues by pyrolysis at different temperatures. At 400 °C, the biochar produced contained 37.61% fixed carbon (dry basis), a value comparable to that obtained in the present work.
In addition to the study of the organic fraction of biochar, it is important to obtain information on the inorganic fraction and other physical–chemical characteristics of biochar to assess its potential as a soil amendment.
Apaydin-Varol and Pütün [24] discarded the char obtained from corn stalks as commercial solid fuel due to its ash content being higher than 30%. As expected, the ash content in the present study was even higher (50.1%). This high percentage of ash in the biochar indicates the presence of a high content of inorganic compounds, which influence the value of some properties such as electrical conductivity and pH. Thus, if the electrical conductivity of the biomass is compared with that of the biochar, a significant increase was observed in the latter, which showed the presence of salts in the ash that ionized in solution. This value was comparable to that of other biochars, such as those obtained from acacia green waste with an EC of 23 mS cm−1 [33]. In the case of the soil in the present study, to which the biochar was added, the value of its electrical conductivity was much lower (63.5 μS cm−1).
Table 2 presents information about the metal content in the biochar. The results indicated that K, Ca, and Mg were the metals with the highest concentrations followed by Na, Al, and Fe in a lesser content, while the concentrations of heavy metals such as Pb, Cr, or As were very low.
Table 2.
Metal content in biochar.
The major ions in the mineral content of plants correspond to the nutrients that plants absorb from the soil and fertilizers. The more concentrated the nutrient solutions supplied to the crops, the greater the accumulation of the main elements in the tissues [27]. Some data about the cation concentrations in samples similar to those of the present study have been found in the literature. Thus, K is the major element in leaves and stems of zucchini squash plants (3.8–4.6%), followed by Ca (1.3–2.3%), and Mg (1.2–0.8%) [34]. Something similar happens with different Brassica spp., where the concentration of K is in the range of 2.5–5.5%, 1.0–1.8% for Ca, and 0.2–0.3% for Mg [35]. When samples are pyrolyzed and the volatile fraction is evolved, the percentage of mineral content increases in the resulting biochar and therefore the percentage of its major cations also increases.
The presence of metals such as potassium or magnesium favors the use of biochar as an agricultural soil amendment, since they are part of the fertilizers added to the soil. It is especially beneficial to add basic biochar (with a high percentage of ash) to acidic soils to improve their productivity. Increasing the pH also increases the microbial population, especially in the pH range of 4–12, thereby improving plant nutrition. Most biochars have a basic pH, although, depending on the feedstock and carbonization conditions, they can be neutral or even acidic. For example, the biochar obtained from the pyrolysis of pine wood at 300 °C for 60 min has a pH of 5.7, while that generated from wheat straw at 600 °C for the same time has a pH of 11.3 [32,36]. In this work, the fact that the mineral content of the biochar is high and the ash is mostly made up of alkali and alkaline earth metal compounds (Table 2) results in a highly alkaline biochar (pH = 13.2).
The content of N, P, and K in the soil was determined. No N was detected in the samples, while the content of P and K were 423 and 1460 ppm, respectively. The soil had a basic pH (8.7).
The results of the metal content in the biochar obtained indicated that it complies with the International Biochar Initiative and the European Biochar Certificate regulations for use in agricultural soils [26], so it could be used for this activity.
The value of the cation exchange capacity of the biochar was comparable to that obtained from pyrolysis at 500 °C of some residues such as peanut shells (445 mmol kg−1) and sawdust (417 mmol kg−1). The CEC of the soil of the present study had a value of 129 mmol kg−1, which indicated that adding biochar to the soil would improve the cation exchange capacity of the substrate, enabling better nutrition for the plant.
Figure 4 shows the pore size distribution of the biochar, obtained from the adsorption isotherm by the BJH/DH method. Its surface area value could be adequate for agricultural soil amendment since there was a greater area for nutrient transfer to the plant and water retention. In the literature, very diverse values are found, from 3.3 m2 g−1 for biochar obtained from grass to 203 m2 g−1 for sawdust, which mainly depend on pyrolysis temperature and the cellulose and lignin contents of the sample [37].
Figure 4.
Pore size distribution of the biochar.
The higher heating value of the biochar was comparable to others, such as those obtained from dried algae, but lower than biochar from wood pyrolysis or straw [32]. Again, the results advise using this biochar more as an agricultural soil amendment rather than as fuel.
Mohawesh et al. [13] characterized a biochar produced at 350 °C from broccoli plant waste, one of the raw materials used in the present work. These authors obtained a surface area of 12.9 m2 g−1, a pH of 9.5, an electrical conductivity of 8.8 mS cm−1, a cation exchange capacity of 296 mmol kg−1 and potassium and calcium contents of 17% and 4.8%, respectively.
3.3. Application of Biochar to an Agricultural Soil
As mentioned previously (Section 2), the biochar obtained was added to agricultural soil to determine its influence on the germination, number of flowers, and productivity of bean plants, following a randomized block design.
Four different experiments were planned, with different percentages of soil, fertilizer, and biochar. Each experiment comprised five equal pots (n = 5), with three bean seeds planted in each pot, i.e., for each experiment fifteen bean seeds were sown. Table 3 shows the planned experiments and Figure 5 shows photographs of the germination process of the bean seeds and the growth of the plants. This is an exploratory study, so a narrow range of variables was used. Previous results [19] were used as a basis for selecting the biochar percentage, which indicated that the application of low percentages of biochar (0.2%, 0.5%) favored corn growth, but percentages higher than 2% showed a negative impact. Similarly, the growth of tomato and sweet bell pepper plants was negatively affected by the addition of biochar at levels higher than 2.5%, while positive results were obtained at rates of 0.5 and 1% [13].
Table 3.
Experiments of biochar application as an agricultural soil amendment.
Figure 5.
Germination and growth process: (A,B) germination of bean seeds; (C) plant growth; (D) blooming; (E) ripe bean pods; (F) bean harvest.
A statistical analysis of variance (ANOVA) and Student’s t-test were performed to check if the addition of biochar and/or fertilizer to the substrate had a statistically significant influence on each one of the parameters measured. Initially, the significance level considered was 0.05 (p ≤ 0.05).
Figure 6 presents the mean value of seeds germinated in each pot on different days for each experiment. Tables S1 and S2 (Supplementary Materials) present the complete data on all germinated seeds each day in each pot as well as the mean value and the standard deviation calculated in each experiment.
Figure 6.
Mean value of germinated seeds per pot (mean ± SD, n = 5), as a function of time, for each experiment with different percentages of soil (S) fertilizer (F) and biochar (B). The numbers appearing next to these initials in the legend correspond to the percentages of S, F and B added in each experiment.
As can be seen in Figure 6, when biochar was added to the substrate (experiment 2), the number of germinated seeds on day 11 was higher than when only soil was present (experiment 1). In fact, the addition of biochar led to the same result as the addition of fertilizer (experiment 4) and the addition of both (experiment 3) slightly increased the number of germinated seeds in a shorter time. Looking at the time in which all seeds germinated, it should be noted that this germination time was also shortened by adding biochar and fertilizer.
In the sole soil experiment, all seeds germinated after 17 days, whereas only 13 seeds did so in experiments 2 and 3, and 12 in experiment 4.
The statistical analysis concluded that there was no significant influence of the addition of biochar and/or fertilizer to the substrate on either seed germination time or on the number of germinated seeds, since the p value was always higher than alpha (0.05). It was in the range of 0.14–0.21 on day 11 and 0.14–0.17 on day 17. Therefore, the differences observed in these parameters could be due to the quality of the seeds. In fact, three seeds were sown in each replicate to reduce the probability of the non-germination of any seed.
Figure 7 presents the average value of the number of flowers in each pot on day 85 from sowing. Tables S3 and S4 (Supplementary Materials) present the complete data on the number of flowers produced in each one of the germinated plants as well as the mean value and the standard deviation calculated in each experiment.
Figure 7.
Mean value of flowers per pot (mean ± SD, n = 5) on day 85 for each experiment, with different percentages of soil, fertilizer, and biochar.
According to these results, the number of flowers increased by 19.4% when biochar was added to the substrate, the number of flowers reached in experiment 2 being higher than that achieved in experiment 4, when fertilizer had been added to the substrate (but not biochar). The highest number of flowers was reached in experiment 3, where both fertilizer and biochar had been added.
As in the previous case, the statistical analysis concluded that there was no significant difference between the experiments at a confidence level of 95%.
The bean harvest took place 132 days after sowing. Figure 8 presents the mean value of the bean mass collected in each pot for each experiment. Tables S5 and S6 (Supplementary Material) present the complete data on the number of pods produced in each of the germinated plants and the weight of the beans collected in each pot, as well as the mean value and the standard deviation calculated in each experiment.
Figure 8.
Mean value of bean mass collected per pot (mean ± SD, n = 5) on day 132, for each experiment with different percentages of soil, fertilizer, and biochar.
According to the results shown in Figure 8, by adding fertilizer to the soil (experiment 4) the bean yield increased by 19.0%; however, the addition of only biochar to the soil (experiment 2) led to higher values, with an increase of 33.5%. With the addition of both compounds (experiment 3) the bean production increased by 48.1% (the highest value). By comparing the results obtained in experiments 3 and 4, the addition of 0.5% biochar to the soil with 1% of fertilizer increased bean production by 24.5%. Therefore, the number of germinated seeds does not influence the productivity, since a greater amount of bean mass can be harvested even when the number of germinated seeds is lower.
The statistical analysis indicated that there was a significant difference between experiment 1 and 3 with a confidence level of 95% (p value < 0.05). Although no significant difference between experiments 3 and 4 was obtained, it is worth noting that the biochar addition to the soil without fertilizer (experiment 2) compared to experiment 1 showed a statistically significant difference if the significance level was increased to 0.1 (confidence level of 90%; p value obtained = 0.077), while the result of comparing the treatment with fertilizer (experiment 4) with experiment 1 was far from this value. In view of these results, it seems evident that the addition of biochar has a positive impact on the bean production.
This conclusion is similar to that obtained by Agegnehu et al. [11]. These authors conducted a review on the role of biochar and biochar–compost mixture in soil and crop improvement. When analyzing the influence on barley yield, taking a reference value of 100 for the soil, they obtained a value of 168 when adding fertilizer, 236 by adding biochar, and 257 when adding biochar and compost, concluding that biochar leads to better results than fertilizer, and that a biochar and compost mixture increases crop yield more than by adding each one independently. The synergistic effect between biochar and fertilizer is due to the direct supply of nutrients such as P, Ca, K by the fertilizer, their better absorption by the increased cation exchange capacity of the soil and the better water holding capacity by the biochar [38].
Similarly, Rajkovich et al. [19], studied the growth of corn after adding biochars of different origins and properties. They used biochar from eight feedstocks produced at different temperatures (300–600 °C) by slow pyrolysis. Biochar application ratios were in the range of 0–7%, plus the addition of biofertilizer. According to their results, biochar produced from animal excrement gave the best result, with an increase in production of 43% (similar to the present work). Biochar produced at 500 °C was the most beneficial for corn growth; however, the type of raw material proved to be a variable with a greater influence on growth than temperature, since it had an eight times greater effect on biomass production than this operating parameter. Applying low percentages of biochar (0.2%, 0.5%) favored corn growth and nutrient uptake (K, P, Mg, N), but percentages higher than 2% showed a negative impact.
As Brassard et al. [15] conclude, for alkaline soils (like the soil of the present study) the combination of biochar and fertilizer may be a better strategy than the addition of biochar alone, avoiding a too-high pH increase in the soil, which limits the availability of nutrients for the plant.
Therefore, based on the results shown by different researchers, it is observed that biochar in low concentrations (lower than 1%) improves the yield of agricultural crop production, and the combination of biochar with compost or fertilizer leads to better results than with biochar or compost alone. The results obtained in the present work, where raw materials other than those used in the bibliographical references were carbonized and applied to another type of crop, are consistent with these results, which opens new possibilities for self-management and economic improvement for urban greenhouses.
In the city of Quito, there are currently 2300 active greenhouses, mainly located in areas occupied by the most vulnerable population. The food produced is intended for both self-consumption and sale in local markets. The ultimate purpose of this work is to scale up the results of this project for these greenhouses to increase their production by simple and economical means, such as providing heating through the combustion of greenhouse waste. By avoiding electric heating, costs will be reduced, and simplicity will be gained. The use of such agricultural residues in the formation of biochar would reduce environmental pollution and substantially improve the economy of farmers as well as contributing to a circular economy.
Future studies on soil fertility, nutrient leaching, and long-term biochar stability (1–5 years) are recommended to better validate the application of biochar in agricultural soil improvement.
4. Conclusions
In this study, biochar was obtained by slow pyrolysis at 450 °C from a mixture of three greenhouse crop residues (tomato, broccoli, and zucchini). The biochar yield was 35.6%. The pyrolysis process significantly increased the percentage of ash (from approximately 20% in raw materials to 50% in biochar) as well as the percentage of fixed carbon (from 20% to 65%, on a dry ash-free basis), showing a H/C molar ratio of 0.42. The major metals present in the biochar ash are K and Ca (around 10–11%) and Mg (2–3%). This predominant presence of alkali and alkaline earth metals led to a highly basic biochar pH (13.2), even though the starting mixture used showed a neutral pH value. The cation exchange capacity of the biochar was found to be 477 mmol kg−1 and its electrical conductivity was 16 mS cm−1. The high heating value of the biochar was 11.5 MJ kg−1, which made it an unattractive material for use as fuel; however, the characteristics of the obtained biochar indicated that its use as a soil amendment may be interesting.
The experiments carried out on bean cultivation have confirmed the starting hypothesis of this work by proving that adding the obtained biochar to the soil increases bean production. The addition of biochar to soil led to better results than the addition of fertilizer, and the best result was obtained when both of them were added, providing an increase in productivity of 48.1% with respect to the substrate containing only soil (p value < 0.05). The addition of 0.5% biochar to the soil with 1% of fertilizer increased bean production by 24.5%, although this result was not statistically significant.
No previous data have been found on obtaining biochar from zucchini plant waste and, for the first time, a mixture of greenhouse waste was used for this purpose, avoiding selective collection by farmers. In the experimental system used to generate the biochar, the rigor of the measurements was balanced with the simplicity of the operation to facilitate its implementation in greenhouses.
Future studies analyzing a wider range of variables, as well as research studies over longer periods of time to analyze the influence of biochar additions on potential changes in soil chemistry, are strongly recommended to reinforce the results obtained in this work.
Supplementary Materials
The following supporting information can be downloaded at: https://www.mdpi.com/article/10.3390/agriengineering7100348/s1, Table S1: Data on all germinated seeds each day in each pot (replicates); Table S2: Mean value and standard deviation on all germinated seeds each day in each experiment: Table S3: Data on the number of flowers produced in each one of the germinated plants; Table S4: Mean value and standard deviation on the number of flowers produced in each experiment; Table S5: Data on the number of pods produced in each of the germinated plants and the weight of beans collected in each pot (replicates); Table S6: Mean value and standard deviation on the weight of beans collected in each experiment.
Author Contributions
Conceptualization, A.M. and A.N.G.; Methodology, S.M., U.S., and W.R.; Software, S.M.; Validation, A.N.G. and A.M.; Formal Analysis, A.M. and A.N.G.; Investigation, S.M., U.S., and W.R.; Resources, S.M. and W.R.; Data Curation, S.M. and A.N.G.; Writing—Original Draft Preparation, S.M. and W.R.; Writing—Review and Editing, S.M., U.S., W.R., A.N.G., and A.M.; Visualization, S.M.; Supervision, U.S., A.N.G., and A.M.; Project Administration, U.S. and A.M.; Funding Acquisition, S.M. All authors have read and agreed to the published version of the manuscript.
Funding
This research was funded by Universidad Central del Ecuador (International Collaboration Agreement No. 061-P-05).
Data Availability Statement
Data is contained within the article or Supplementary Materials.
Conflicts of Interest
The authors declare no conflicts of interest. The funders had no role in the design of the study; in the collection, analyses, or interpretation of data; in the writing of the manuscript; or in the decision to publish the results.
References
- Kaza, S.; Yao, L.C.; Bhada-Tata, P.; Van Woerden, F. What a Waste 2.0: A Global Snapshot of Solid Waste Management to 2050; Urban Development; World Bank: Washington, DC, USA, 2018; Available online: http://hdl.handle.net/10986/30317 (accessed on 26 September 2023).
- Belhachemi, M.; Khiari, B.; Jeguirim, M.; Sepúlveda-Escribano, A. Characterization of biomass-derived chars. In Char and Carbon Materials Derived from Biomass: Production, Characterization and Applications; Jeguirim, M., Limousy, L., Eds.; Elsevier Inc.: Amsterdam, The Netherlands, 2019; pp. 69–108. [Google Scholar]
- Sun, Y.; Gao, B.; Yao, Y.; Fang, J.; Zhang, M.; Zhou, Y.; Chen, H.; Yang, L. Effects of feedstock type, production method, and pyrolysis temperature on biochar and hydrochar properties. Chem. Eng. J. 2014, 240, 574–578. [Google Scholar] [CrossRef]
- Tripathi, M.; Sahu, J.N.; Ganesan, P. Effect of process parameters on production of biochar from biomass waste through pyrolysis: A review. Renew. Sustain. Energy Rev. 2016, 55, 467–481. [Google Scholar] [CrossRef]
- Williams, P.; Besler, S. The influence of temperature and heating rate on the slow pyrolysis of biomass. Renew. Energy 1996, 7, 233–250. [Google Scholar] [CrossRef]
- Domínguez Domínguez, M.P. Pyrolysis and Gasification of Biomass: Optimization of the Energy Transformation Process Through Different Reaction Systems. Ph.D. Thesis, Universidad Politécnica de Madrid, Madrid, Spain, 2014. [Google Scholar]
- Goyal, H.B.; Seal, D.; Saxena, R.C. Bio-fuels from thermochemical conversion of renewable resources: A review. Renew. Sustain. Energy Rev. 2008, 12, 504–517. [Google Scholar] [CrossRef]
- Kloss, S.; Zehetner, F.; Dellantonio, A.; Hamid, R.; Ottner, F.; Liedtke, V.; Schwanninger, M.; Gerzabek, M.H.; Soja, G. Characterization of Slow Pyrolysis Biochars: Effects of Feedstocks and Pyrolysis Temperature on Biochar Properties. J. Environ. Qual. 2012, 41, 990–1000. [Google Scholar] [CrossRef] [PubMed]
- Jindo, K.; Mizumoto, H.; Sawada, Y.; Sanchez-Monedero, M.A.; Sonoki, T. Physical and chemical characterization of biochars derived from different agricultural residues. Biogeosciences 2014, 11, 6613–6621. [Google Scholar] [CrossRef]
- IBI. Standardized Product Definition and Product Testing Guidelines for Biochar That Is Used in Soil; Version 2.1; International Biochar Initiative: Washington, DC, USA, 2015; Available online: https://biochar-international.org/wp-content/uploads/2019/01/IBI_Biochar_Standards_V2.1_Final1.pdf (accessed on 20 February 2024).
- Agegnehu, G.; Srivastava, A.K.; Bird, M.I. The role of biochar and biochar-compost in improving soil quality and crop performance: A review. Appl. Soil Ecol. 2017, 119, 156–170. [Google Scholar] [CrossRef]
- Joseph, S.; Cowie, A.L.; Van Zwieten, L.; Bolan, N.; Budai, A.; Buss, W.; Cayuela, M.L.; Graber, E.R.; Ippolito, J.A.; Kuzyakov, Y.; et al. How biochar works, and when it doesn’t: A review of mechanisms controlling soil and plant responses to biochar. Glob. Change Biol. Bioenergy 2021, 13, 1731–1764. [Google Scholar] [CrossRef]
- Mohawesh, O.; Coolong, T.; Aliedeh, M.; Qaraleh, S. Greenhouse evaluation of biochar to enhance soil properties and plant growth performance under arid environment. Bulg. J. Agric. Sci. 2018, 24, 1012–1019. [Google Scholar]
- Woolf, D.; Amonette, J.E.; Street-Perrott, F.A.; Lehmann, J.; Joseph, S. Sustainable biochar to mitigate global climate change. Nat. Commun. 2010, 1, 56. [Google Scholar] [CrossRef]
- Brassard, P.; Godbout, S.; Lévesque, V.; Palacios, J.; Raghavan, V.; Ahmed, A.; Hogue, R.; Jeanne, T.; Verma, M. Biochar for soil amendment. In Char and Carbon Materials Derived from Biomass: Production, Characterization and Applications; Jeguirim, M., Limousy, L., Eds.; Elsevier Inc.: Amsterdam, The Netherlands, 2019; pp. 109–146. [Google Scholar]
- Chicaiza Ortiz, C.D.; Navarrete Villa, V.P.; Camacho López, C.O.; Chicaiza Ortiz, A.F. Evaluation of municipal solid waste management system of Quito—Ecuador through life cycle assessment approach. LALCA Rev. Lat. Am. Aval. Ciclo Vida 2020, 4, e45206. [Google Scholar] [CrossRef]
- Murillo, A.; Peralta, E.; Mazón, N.; Rodríguez, D.; Pinzón, J. INIAP 484. Centenario: Variedad de fréjol arbustivo con resistencia múltiple a enfermedades. Quito, Ecuador. INIAP Bol. Divulg. 2012, 421, 1–4. Available online: https://repositorio.iniap.gob.ec/handle/41000/384 (accessed on 7 February 2024).
- García, R.; Pizarro, C.; Lavín, A.G.; Bueno, J.L. Biomass proximate analysis using thermogravimetry. Bioresour. Technol. 2013, 139, 1–4. [Google Scholar] [CrossRef]
- Rajkovich, S.; Enders, A.; Hanley, K.; Hyland, C.; Zimmerman, A.R.; Lehmann, J. Corn growth and nitrogen nutrition after additions of biochars with varying properties to a temperate soil. Biol. Fertil. Soils 2012, 48, 271–284. [Google Scholar] [CrossRef]
- Le, P.T.T.; Boyd, C.E. Comparison of phenate and salicylate methods for determination of total ammonia nitrogen in freshwater and saline water. J. World Aquac. Soc. 2012, 43, 885–889. [Google Scholar] [CrossRef]
- Huang, Y.-F.; Lo, S.-L. Predicting heating value of lignocellulosic biomass based on elemental analysis. Energy 2020, 191, 116501. [Google Scholar] [CrossRef]
- He, M.; Mourant, D.; Gunawan, R.; Lievens, C.; Wang, X.S.; Ling, K.; Bartle, J.; Li, C.Z. Yield and properties of bio-oil from the pyrolysis of mallee leaves in a fluidised-bed reactor. Fuel 2012, 102, 506–513. [Google Scholar] [CrossRef]
- Vassilev, S.V.; Baxter, D.; Andersen, L.K.; Vassileva, C.G. An overview of the chemical composition of biomass. Fuel 2010, 89, 913–933. [Google Scholar] [CrossRef]
- Apaydin-Varol, E.; Pütün, A.E. Preparation and characterization of pyrolytic chars from different biomass samples. J. Anal. Appl. Pyrolysis 2012, 98, 29–36. [Google Scholar] [CrossRef]
- Moreno, A.D.; Duque, A.; González, A.; Ballesteros, I.; Negro, M.J. Valorization of greenhouse horticulture waste from a biorefinery perspective. Foods 2021, 10, 814. [Google Scholar] [CrossRef]
- Llorach-Massana, P.; Lopez-Capel, E.; Peña, J.; Rieradevall, J.; Montero, J.I.; Puy, N. Technical feasibility and carbon footprint of biochar co-production with tomato plant residue. Waste Manag. 2017, 67, 121–130. [Google Scholar] [CrossRef]
- Gary, C.; Bertin, N.; Frossard, J.S.; Lebot, J. High mineral contents explain the low construction cost of leaves, stems and fruits of tomato plants. J. Exp. Bot. 1998, 49, 49–57. [Google Scholar] [CrossRef]
- Callejón-Ferre, A.J.; Carreño-Sánchez, J.; Suárez-Medina, F.J.; Pérez-Alonso, J.; Velázquez-Martí, B. Prediction models for higher heating value based on the structural analysis of the biomass of plant remains from the greenhouses of Almería (Spain). Fuel 2014, 116, 377–387. [Google Scholar] [CrossRef]
- Boer, F.D.; Valette, J.; Commandré, J.; Fournier, M.; Thévenon, M. Slow Pyrolysis of Sugarcane Bagasse for the Production of Char and the Potential of Its By-Product for Wood Protection. J. Renew. Mater. 2021, 9, 97–117. [Google Scholar] [CrossRef]
- Encinar, J.M.; González, J.F.; Martínez, G. Energetic use of the tomato plant waste. Fuel Process. Technol. 2008, 89, 1193–1200. [Google Scholar] [CrossRef]
- Luo, L.; Xu, C.; Chen, Z.; Zhang, S. Properties of biomass-derived biochars: Combined effects of operating conditions and biomass types. Bioresour. Technol. 2015, 192, 83–89. [Google Scholar] [CrossRef]
- Ronsse, F.; Hecke, S.; Dickinson, D.; Prins, W. Production and characterization of slow pyrolysis biochar: Influence of feedstock type and pyrolysis conditions. GCB Bioenergy 2013, 5, 104–115. [Google Scholar] [CrossRef]
- Abujabhah, I.; Bound, S.; Doyle, R.; Bowman, J. Effects of biochar and compost amendments on soil physico-chemical properties and the total community within a temperate agricultural soil. Appl. Soil Ecol. 2015, 98, 243–253. [Google Scholar] [CrossRef]
- Suvo, T.P.; Islam, S.; Khan, S.I.; Mehedi, N.H.; Ahamed, T. Effects of soil and closed soilless system on growth, productivity, fruit quality, and plant mineral composition of zucchini squash. Oct. J. Environ. Res. 2017, 5, 122–128. [Google Scholar]
- Martínez, S.; Losada, P.; Franco, I.; Carballo, J. Protein, amino acid, ash and mineral contents in Brassica spp. grown in Northwest Spain. Int. J. Food Sci. Technol 2011, 46, 146–153. [Google Scholar] [CrossRef]
- Lehmann, J.; Rillig, M.; Thies, J.; Masiello, C.; Hockaday, W.; Crowley, D. Biochar effects on soil biota-A review. Soil Biol. Biochem. 2011, 43, 1812–1836. [Google Scholar] [CrossRef]
- Zhao, L.; Cao, X.; Mašek, O.; Zimmerman, A. Heterogeneity of biochar properties as a function of feedstock sources and production temperatures. J. Hazard. Mater. 2013, 256–257, 1–9. [Google Scholar] [CrossRef] [PubMed]
- Wu, S.; He, H.; Inthapanya, X.; Yang, C.; Lu, L.; Zeng, G.; Han, Z. Role of biochar on composting of organic wastes and remediation of contaminated soils—A review. Environ. Sci. Pollut. Res. 2017, 24, 16560–16577. [Google Scholar] [CrossRef] [PubMed]
Disclaimer/Publisher’s Note: The statements, opinions and data contained in all publications are solely those of the individual author(s) and contributor(s) and not of MDPI and/or the editor(s). MDPI and/or the editor(s) disclaim responsibility for any injury to people or property resulting from any ideas, methods, instructions or products referred to in the content. |
© 2025 by the authors. Licensee MDPI, Basel, Switzerland. This article is an open access article distributed under the terms and conditions of the Creative Commons Attribution (CC BY) license (https://creativecommons.org/licenses/by/4.0/).









