Evaluation of the Use of Vacuum-Dehydrated Minced Meat in Beef Patty Production
Abstract
1. Introduction
2. Materials and Methods
2.1. Material
2.2. Vacuum Dehydration Treatment
2.3. Proximate Composition and pH Analysis
2.4. Color Analysis
2.5. Mathematical Modeling of Dehydration Kinetics
| Model Name | Model Equation | Reference |
|---|---|---|
| Lewis | MR = exp (−k · t) | Bruce [18] |
| Page | MR = exp (−k · tn) | Madamba et al. [19] |
| Modified Page | MR = exp (−(k · t)n) | White et al. [20] |
| Henderson and Pabis | MR = a exp (−(k · t)) | Henderson and Pabis [21] |
| Logarithmic | MR = a exp (−(k · t)) + c | Togrul and Pehlivan [22] |
| Two-term | MR = a exp (−k0 · t) + b exp (−k1 · t) (−k1 · t) | Henderson [23] |
| Two-term exponential | MR = a exp (−k · t) + (1 − a) exp (−k · a · t) | Henderson [23] |
| Wang and Singh | MR = 1 + a · t + b · t2 | Wang and Singh [24] |
| Thompson | t = a ln MR + b (ln MR)2 | Thompson et al. [25] |
2.6. Rehydration Treatment
2.7. Beef Patty Production
2.8. Cooking Properties
2.9. Sensory Analysis
2.10. Texture Profile Analysis
2.11. Statistical Analysis
3. Results and Discussions
3.1. Dehydration Kinetics of the Minced Meat
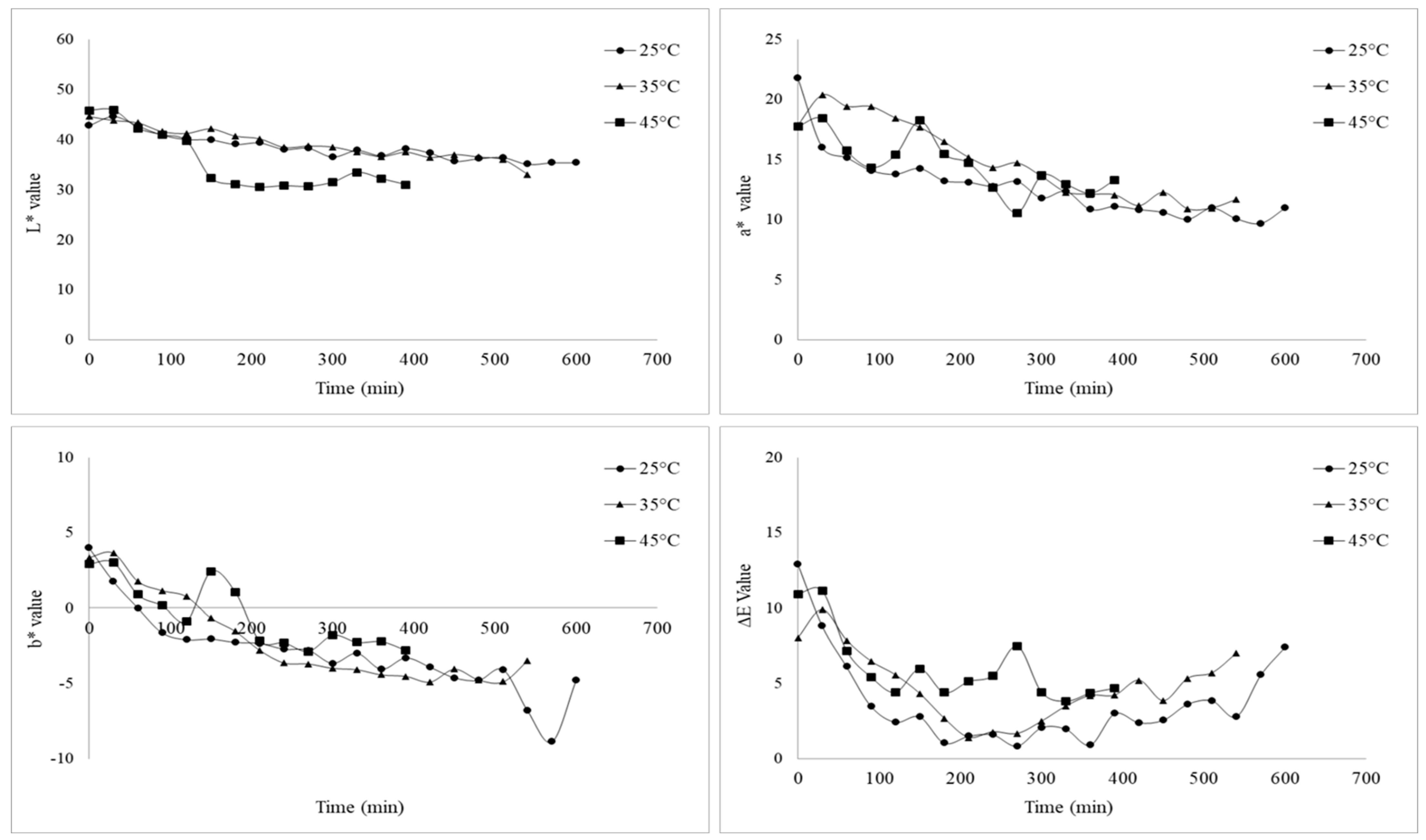
3.2. Color Changes during Dehydration of the Minced Meat
3.3. Quality Parameters of Beef Patties Produced with the Rehydrated Minced Meat
3.3.1. Color and pH
3.3.2. Cooking Values
3.3.3. Sensory Properties
3.3.4. Textural Properties
4. Conclusions
Author Contributions
Funding
Data Availability Statement
Conflicts of Interest
References
- Shimokomaki, M.; Franco, B.D.G.M.; Biscontini, T.M.; Pinto, M.F.; Terra, N.N.; Zorn, T.M.T. Charqui meats are hurdle technology meat products. Food Rev. Int. 1998, 14, 339–349. [Google Scholar] [CrossRef]
- Skandamis, P.N.; Gounadaki, A.S. Dried meats, poultry and related products. In Microbiology Handbook-Meat Products; Fernandes, R., Ed.; Leatherhead Food International: Leatherhead, UK, 2009; pp. 83–94. [Google Scholar]
- Yalınkılıç, B.; Kaban, G.; Kaya, M. Effect of sodium replacement on the quality characteristics of pastırma (a dry-cured meat product). Food Sci. Hum. Wellness 2023, 12, 266–274. [Google Scholar] [CrossRef]
- Feiner, G. Meat Products Handbook Practical Science and Technology; Woodhead Publishing Limited: Cambridge, UK, 2006. [Google Scholar]
- Yalınkılıç, B.; Kaban, G.; Ertekİn, Ö.; Kaya, M. Determination of volatile compounds of sucuk with different orange fiber and fat levels. Kafkas Univ. Vet. Fak. Derg. 2015, 21, 233–239. [Google Scholar]
- Heinz, G.; Hautzinger, P. Meat Processing Technology for Small-to Medium-Scale Producers; FAO Regional Office for Asia and The Pacific: Bangkok, Thailand, 2007. [Google Scholar]
- Andres, A.; Barat, J.M.; Grau, R.; Fito, P. Principles of drying and smoking. In Handbook of Fermented Meat and Poultry; Toldra, F., Ed.; Blackwell: Ames, IA, USA, 2007; pp. 37–50. [Google Scholar]
- Laopoolkit, P.; Suwannaporn, P. Effect of pretreatments and vacuum drying on instant dried pork process optimization. Meat Sci. 2011, 88, 553–558. [Google Scholar] [CrossRef]
- Speckhahn, A.; Srzednicki, G.; Desai, D.K. Drying of Beef in Superheated Steam. Dry. Technol. 2010, 28, 1072–1082. [Google Scholar] [CrossRef]
- Soydan Karabacak, M.; Esin, A.; Cekmecelioglu, D. Drying Behavior of Meat Samples at Various Fiber Directions and Air Conditions. Dry. Technol. 2014, 32, 695–707. [Google Scholar] [CrossRef]
- Sa-adchom, P.; Swasdisevi, T.; Nathakaranakule, A.; Soponronnarit, S. Mathematical model of pork slice drying using superheated steam. J. Food Eng. 2011, 104, 499–507. [Google Scholar] [CrossRef]
- Ayanwale, B.B.; Ocheme, O.O.; Oloyede, O. The Effect of Sun-Drying and Oven-Drying on the Nutritive Value of Meat Pieces in Hot Humid Environment. Pak. J. Nutr. 2007, 6, 370–374. [Google Scholar] [CrossRef]
- Ishihara, Y.; Moreira, R.; de Souza, G.; Salviano, A.; Madruga, M. Study of the Warner-Bratzler Shear Force, Sensory Analysis and Sarcomere Length as Indicators of the Tenderness of Sun-Dried Beef. Molecules 2013, 18, 9432–9440. [Google Scholar] [CrossRef]
- Rahman, M.S.; Salman, Z.; Kadim, I.T.; Mothershaw, A.; Al-Riziqi, M.H.; Guizani, N.; Mahgoub, O.; Ali, A. Microbial and Physico-Chemical Characteristics of Dried Meat Processed by Different Methods. Int. J. Food Eng. 2005, 1. [Google Scholar] [CrossRef]
- Rayaguru, K.; Routray, W. Mathematical modeling of thin layer drying kinetics of stone apple slices. Int. Food Res. J. 2012, 19, 1503–1510. [Google Scholar]
- Doymaz, İ. Experimental study on drying of pear slices in a convective dryer. Int. J. Food Sci. Technol. 2013, 48, 1909–1915. [Google Scholar] [CrossRef]
- Ratti, C. Convective drying of foods. In Advances in Food Dehydration; Ratti, C., Ed.; CRC Press: Boca Raton, FL, USA, 2009; pp. 133–134. [Google Scholar]
- Bruce, D.M. Exposed-layer barley drying: Three models fitted to new data up to 150 °C. J. Agric. Eng. Res. 1985, 32, 337–348. [Google Scholar] [CrossRef]
- Madamba, P.S.; Driscoll, R.H.; Buckle, K.A. The thin-layer drying characteristics of garlic slices. J. Food Eng. 1996, 29, 75–97. [Google Scholar] [CrossRef]
- White, G.M.; Bridges, T.C.; Loewer, O.J.; Ross, I.J. Thin layer drying model for soybeans. Trans. ASABE 1981, 24, 1643–1649. [Google Scholar] [CrossRef]
- Henderson, S.M.; Pabis, S. Grain drying theory I: Temperature effect on drying coefficient. J. Agric. Eng. Res. 1961, 6, 169–174. [Google Scholar]
- Togrul, I.T.; Pehlivan, D. Mathematical modelling of solar drying of apricots in thin layers. J. Food Eng. 2002, 55, 209–216. [Google Scholar] [CrossRef]
- Henderson, S.M. Progress in developing the thin layer drying equation. Trans. ASABE 1974, 17, 1167–1172. [Google Scholar] [CrossRef]
- Wang, C.Y.; Singh, R.P.A. Single layer drying equation for rough rice. Mater. Sci. 1985, 28, 296–301. [Google Scholar] [CrossRef]
- Thompson, T.L.; Peart, R.M.; Foster, G.H. Mathematical simulation of corn drying—A new model. Trans. ASABE 1968, 11, 582–586. [Google Scholar] [CrossRef]
- Serdaroğlu, M.; Yıldız-Turp, G.; Abrodímov, K. Quality of low-fat meatballs containing Legume flours as extenders. Meat Sci. 2005, 70, 99–105. [Google Scholar] [CrossRef]
- Murphy, E.W.; Criner, P.E.; Gray, B.C. Comparisons of methods for calculating retentions of nutrients in cooked foods. J. Agric. Food Chem. 1975, 23, 1153–1157. [Google Scholar] [CrossRef] [PubMed]
- Başlar, M.; Kılıçlı, M.; Yalınkılıç, B. Dehydration kinetics of salmon and trout fillets using ultrasonic vacuum drying as a novel technique. Ultrason. Sonochem. 2015, 27, 495–502. [Google Scholar] [CrossRef] [PubMed]
- Başlar, M.; Kılıçlı, M.; Toker, O.S.; Sağdıç, O.; Arici, M. Ultrasonic vacuum drying technique as a novel process for shortening the drying period for beef and chicken meats. Innov. Food Sci. Emerg. Technol. 2014, 26, 182–190. [Google Scholar] [CrossRef]
- Nathakaranakule, A.; Kraiwanichkul, W.; Soponronnarit, S. Comparative study of different combined superheated-steam drying techniques for chicken meat. J. Food Eng. 2007, 80, 1023–1030. [Google Scholar] [CrossRef]
- Kingsly, A.R.P.; Singh, D.B. Drying kinetics of pomegranate arils. J. Food Eng. 2007, 79, 741–744. [Google Scholar] [CrossRef]
- Van Oeckel, M.J.; Warnants, N.; Boucqué, C.H.V. Measurement and prediction of pork colour. Meat Sci. 1999, 52, 347–354. [Google Scholar] [CrossRef]
- Ranken, M.D. Handbook of Meat Product Technology; Blackwell: Cambridge, UK, 2000. [Google Scholar]
- Aksoy, A.; Karasu, S.; Akcicek, A.; Kayacan, S. Effects of Different Drying Methods on Drying Kinetics, Microstructure, Color, and the Rehydration Ratio of Minced Meat. Foods 2019, 8, 216. [Google Scholar] [CrossRef] [PubMed]
- Offer, G.; Knight, P. The structural basis of water-holding in meat—Part 2: Drip Losses. In Developments in Meat Science; Lawrie, R.A., Ed.; Elsevier: London, UK, 1988; pp. 173–243. [Google Scholar]
- Joo, S.T.; Kauffman, R.G.; Kim, B.C.; Kim, C.J. The relationship between color and water-holding capacity in postrigor porcine longissimus muscle. J. Muscle Foods 1995, 6, 211–226. [Google Scholar] [CrossRef]
- Mishra, B.; Mishra, J.; Pati, P.; Rath, P. Dehydrated Meat Products—A Review. Int. J. Livest. Res. 2017, 7, 10–22. [Google Scholar] [CrossRef]
- Sánchez-Zapata, E.; Muñoz, C.M.; Fuentes, E.; Fernández-López, J.; Sendra, E.; Sayas, E.; Pérez-Alvarez, J.A. Effect of tiger nut fibre on quality characteristics of pork burger. Meat Sci. 2010, 85, 70–76. [Google Scholar] [CrossRef]
- Shweigert, B.S. Contenido en nutrientes y valor nutritivo de la carne y lo subproductos cárnicos. In Ciencia de la Carne y de Los Productos Cárnicos; Price, J.F., Schweigert, B.S., Eds.; Editorial Acribia: Zaragoza, Spain, 1994; pp. 249–278. [Google Scholar]
- Lawrie, R.A.; Ledward, D. The storage and preservation of meat. II. Moisture control. In Lawrie’s Meat Science, 7th ed.; Woodhead Publishing: Cambridge, UK, 2006; pp. 235–262. [Google Scholar]
- Hamm, R. Biochemistry of meat hydration. In Advances in Food Research; Academic Press: London, UK, 1961; Volume 10, pp. 355–463. [Google Scholar]
- Palka, K.; Daun, H. Changes in texture, cooking losses, and myofibrillar structure of bovine M. semitendinosus during heating. Meat Sci. 1999, 51, 237–243. [Google Scholar] [CrossRef] [PubMed]
- Hawke, J.C. Consumer trials for the determination of the acceptability of dehydrated beef. J. Sci. Food Agric. 1957, 8, 197–205. [Google Scholar] [CrossRef]
- Rahman, M.S.; Perera, C.O. Drying and food preservation. In Handbook of Food Preservation; Rahman, M.S., Ed.; CRC Press: Boca Raton, FL, USA, 2007; pp. 403–432. [Google Scholar]



| Model | Parameters | Dehydration Temperature | ||
|---|---|---|---|---|
| 25 °C | 35 °C | 45 °C | ||
| Lewis (Newton) | k | 0.003519 | 0.003745 | 0.004725 |
| R2 | 0.986 | 0.987 | 0.991 | |
| χ2 | 0.00096 | 0.00093 | 0.00081 | |
| RMSE | 0.03023 | 0.02974 | 0.02739 | |
| Page | k | 0.007915 | 0.001404 | 0.002197 |
| N | 0.8585 | 1.1825 | 1.1400 | |
| R2 | 0.995 | 0.996 | 0.996 | |
| χ2 | 0.00030 | 0.00029 | 0.00037 | |
| RMSE | 0.01651 | 0.01606 | 0.01773 | |
| Modified Page | k | 0.213467 | 0.224727 | 0.285328 |
| n | 0.858566 | 1.175135 | 1.152527 | |
| R2 | 0.995 | 1.000 | 1.000 | |
| χ2 | 0.00030 | 0.00029 | 0.00037 | |
| RMSE | 0.01651 | 0.01606 | 0.01773 | |
| Henderson and Pabis | k | 0.196799 | 0.234340 | 0.292690 |
| a | 0.9401 | 1.0367 | 1.0249 | |
| R2 | 0.993 | 0.991 | 0.991 | |
| χ2 | 0.00044 | 0.00081 | 0.00073 | |
| RMSE | 0.01989 | 0.02695 | 0.02507 | |
| Logarithmic | k | 0.205892 | 0.173129 | 0.187742 |
| a | 0.927153 | 1.170104 | 1.261 | |
| c | 0.018023 | −0.162439 | −0.270141 | |
| R2 | 0.993 | 0.996 | 1.000 | |
| χ2 | 0.00106 | 0.00037 | 0.00095 | |
| RMSE | 0.03023 | 0.01732 | 0.02739 | |
| Two-term | k1 | 3.025370 | 0.234340 | 0.292691 |
| k2 | 0.292690 | 0.234340 | 0.292690 | |
| a | 0.104522 | 0.939658 | 0.463285 | |
| b | 0.186206 | 0.097136 | 0.561630 | |
| R2 | 0.998 | 0.995 | 0.991 | |
| χ2 | 0.00020 | 0.00092 | 0.00088 | |
| RMSE | 0.01279 | 0.02695 | 0.02507 | |
| Two-term exponential | k | 0.196609 | 0.234264 | 0.292646 |
| a | 0.970094 | 1.018 | 1.012 | |
| R2 | 0.993 | 0.991 | 0.991 | |
| χ2 | 0.00046 | 0.00086 | 0.00080 | |
| RMSE | 0.01989 | 0.02695 | 0.02507 | |
| Wang and Singh | a | −0.177713 | −0.180646 | −0.225420 |
| b | 0.009289 | 0.009016 | 0.013699 | |
| R2 | 0.965 | 0.998 | 0.998 | |
| χ2 | 0.00219 | 0.00020 | 0.00013 | |
| RMSE | 0.04457 | 0.01338 | 0.01035 | |
| Thompson | a | −5.184 | −4.973758 | −4.226896 |
| b | −0.225222 | −0.488357 | −0.603903 | |
| R2 | 0.986 | 0.997 | 0.999 | |
| χ2 | 0.15338 | 0.02547 | 0.00240 | |
| RMSE | 0.37341 | 0.15096 | 0.04536 | |
| Temperature (°C) | Drying Time (min) | Deff (m2/s) | R2 | Arrhenius Parameters | |
|---|---|---|---|---|---|
| D0 (m2/s) | Ea (J/mol) | ||||
| 25 | 630 | 1.675 × 10−6 | 0.957 | 0.186487 | 11768.84 |
| 35 | 540 | 1.774 × 10−6 | 0.903 | ||
| 45 | 390 | 2.224 × 10−6 | 0.902 | ||
| Color Parameter | Raw Material | Dehydration Temperature (°C) of Ground Beef | Rehydrated Temperature (°C) of Ground Beef | ||||
|---|---|---|---|---|---|---|---|
| 25 | 35 | 45 | 25 | 35 | 45 | ||
| L* | 44.28 ± 1.28 a | 34.57 ± 1.12 b | 33.08 ± 1.07 bc | 31.01 ± 1.11 c | 44.12 ± 1.46 a | 45.42 ± 1.74 a | 46.15 ± 1.22 a |
| a* | 20.21 ± 1.03 a | 12.18 ± 0.95 bc | 11.69 ± 0.87 c | 13.32 ± 0.98 b | 9.37 ± 0.75 e | 9.46 ± 0.40 e | 10.57 ± 0.58 d |
| b* | 3.06 ± 0.14 b | −1.75 ± 0.04 d | −2.80 ± 0.02 cd | −3.47 ± 0.06 c | 3.80 ± 0.23 a | 4.29 ± 1.74 ab | 4.45 ± 0.72 a |
| ΔE | - | 13.43 ± 0.95 b | 15.60 ± 1.05 a | 15.35 ± 0.96 a | 11.29 ± 0.83 c | 11.86 ± 0.85 c | 10.81 ± 1.18 c |
| Material | Parameters | Fresh Ground Beef (Control) 1 | Mix (1:1) Ground Beef 2 | Rehydrated Ground Beef 3 |
|---|---|---|---|---|
| Uncooked Beef Patty | L* | 29.84 ± 0.27 c | 32.48 ± 1.02 b | 35.35 ± 0.53 a |
| ΔL* | - | 2.64 | 5.51 | |
| a* | 17.24 ± 0.69 c | 11.41 ± 1.02 b | 7.98 ± 0.32 a | |
| Δa* | - | 5.83 | 9.26 | |
| b* | 6.34 ± 0.19 a | 5.52 ± 0.12 b | 5.93 ± 0.21 ab | |
| Δb* | - | 0.82 | 0.34 | |
| pH | 5.54 ± 0.02 c | 5.73 ± 0.01 b | 5.88 ± 0.00 a | |
| Cooked Beef Patty | L* | 35.10 ± 0.47 b | 37.05 ± 0.78 a | 38.06 ± 0.75 a |
| ΔL* | - | 1.95 | 2.96 | |
| a* | 5.71 ± 0.22 a | 5.71 ± 0.21 a | 5.39 ± 0.23 b | |
| Δa* | - | 0.00 | 0.32 | |
| b* | 7.56 ± 0.30 a | 7.55 ± 0.26 a | 7.34 ± 0.20 a | |
| Δb* | - | 0.01 | 0.22 | |
| pH | 5.81 ± 0.03 c | 5.89 ± 0.01 b | 6.01 ± 0.01 a |
| Cooking Value | Fresh Ground Beef (Control) 1 | Mix (1:1) Ground Beef 2 | Rehydrated Ground Beef 3 |
|---|---|---|---|
| Shrinkage (%) | 7.09 ± 1.70 b | 13.92 ± 1.27 a | 14.94 ± 1.39 a |
| Increase in beef patty thickness (%) | 53.33 ± 4.97 a | 35.56 ± 4.97 b | 35.56 ± 4.97 b |
| Decrease in beef patty diameter (%) | 14.86 ± 1.63 b | 20.29 ± 1.20 a | 21.43 ± 1.01 a |
| Cooking efficiency (%) | 67.30 ± 0.55 c | 72.86 ± 1.89 b | 75.59 ± 0.45 a |
| Moisture holding (%) | 43.59 ± 0.84 b | 48.00 ± 1.39 a | 47.98 ± 0.57 a |
| Sensory Property | Fresh Ground Beef (Control) 1 | Mix (1:1) Ground Beef 2 | Rehydrated Ground Beef 3 |
|---|---|---|---|
| Appearance | 5.54 ± 2.37 a | 6.92 ± 1.71 a | 7.08 ± 1.38 a |
| Texture | 6.31 ± 1.65 a | 6.54 ± 1.61 a | 6.62 ± 1.19 a |
| Smell | 5.85 ± 2.12 a | 5.54 ± 1.76 a | 5.62 ± 2.29 a |
| Salinity | 4.38 ± 1.26 a | 3.92 ± 1.50 a | 4.38 ± 1.85 a |
| Juiciness | 4.85 ± 2.64 a | 4.50 ± 2.50 a | 5.62 ± 2.10 a |
| Bitterness | 1.18 ± 0.4 b | 1.18 ± 0.4 b | 1.90 ± 1.4 a |
| Flavor | 6.08 ± 1.85 a | 6.18 ± 2.18 a | 5.88 ± 2.62 a |
| Overall Acceptability | 5.92 ± 1.44 a | 5.98 ± 1.70 a | 6.62 ± 0.87 a |
| Textural Property | Fresh Ground Beef (Control) 1 | Mix (1:1) Ground Beef 2 | Rehydrated Ground Beef 3 |
|---|---|---|---|
| Hardness (g) | 55,799 ± 4090 a | 52,246 ± 5722 a | 56,373 ± 4070 a |
| Adhesiveness (g·s) | −6.911 ± 3.02 a | −8.266 ± 3.474 a | −8.488 ± 2.860 a |
| Springiness (mm) | 0.881 ± 0.05 a | 0.912 ± 0.03 a | 0.915 ± 0.03 a |
| Cohesiveness | 0.750 ± 0.01 b | 0.706 ± 0.01 a | 0.692 ± 0.03 a |
| Gumminess (g) | 41,806 ± 2623 b | 36,821 ± 3479 a | 38,980 ± 2479 ab |
| Chewiness (g·mm) | 36,797 ± 2890 a | 33,609 ± 3895 a | 35,711 ± 3288 a |
| Resilience | 0.371 ± 0.006 b | 0.342 ± 0.004 a | 0.342 ± 0.018 a |
Disclaimer/Publisher’s Note: The statements, opinions and data contained in all publications are solely those of the individual author(s) and contributor(s) and not of MDPI and/or the editor(s). MDPI and/or the editor(s) disclaim responsibility for any injury to people or property resulting from any ideas, methods, instructions or products referred to in the content. |
© 2024 by the authors. Licensee MDPI, Basel, Switzerland. This article is an open access article distributed under the terms and conditions of the Creative Commons Attribution (CC BY) license (https://creativecommons.org/licenses/by/4.0/).
Share and Cite
Başlar, M.; Yalınkılıç, B.; Erol, K.F.; İrkilmez, M.Ü. Evaluation of the Use of Vacuum-Dehydrated Minced Meat in Beef Patty Production. AgriEngineering 2024, 6, 1712-1724. https://doi.org/10.3390/agriengineering6020099
Başlar M, Yalınkılıç B, Erol KF, İrkilmez MÜ. Evaluation of the Use of Vacuum-Dehydrated Minced Meat in Beef Patty Production. AgriEngineering. 2024; 6(2):1712-1724. https://doi.org/10.3390/agriengineering6020099
Chicago/Turabian StyleBaşlar, Mehmet, Barış Yalınkılıç, Kübra Feyza Erol, and Mustafa Ü. İrkilmez. 2024. "Evaluation of the Use of Vacuum-Dehydrated Minced Meat in Beef Patty Production" AgriEngineering 6, no. 2: 1712-1724. https://doi.org/10.3390/agriengineering6020099
APA StyleBaşlar, M., Yalınkılıç, B., Erol, K. F., & İrkilmez, M. Ü. (2024). Evaluation of the Use of Vacuum-Dehydrated Minced Meat in Beef Patty Production. AgriEngineering, 6(2), 1712-1724. https://doi.org/10.3390/agriengineering6020099

