Sustainable Greenhouse Covering Materials with Nano- and Micro-Particle Additives for Enhanced Radiometric and Thermal Properties and Performance
Abstract
1. Introduction
2. Managing the Microclimate of the Greenhouse
3. Evaluating the Effect of Cover Materials on Greenhouse Microclimates
3.1. Glass, Plastic Film, and Plastic Sheets as Greenhouse Covers
3.2. Fillers, Colorants, Reinforcers, and Additive Materials
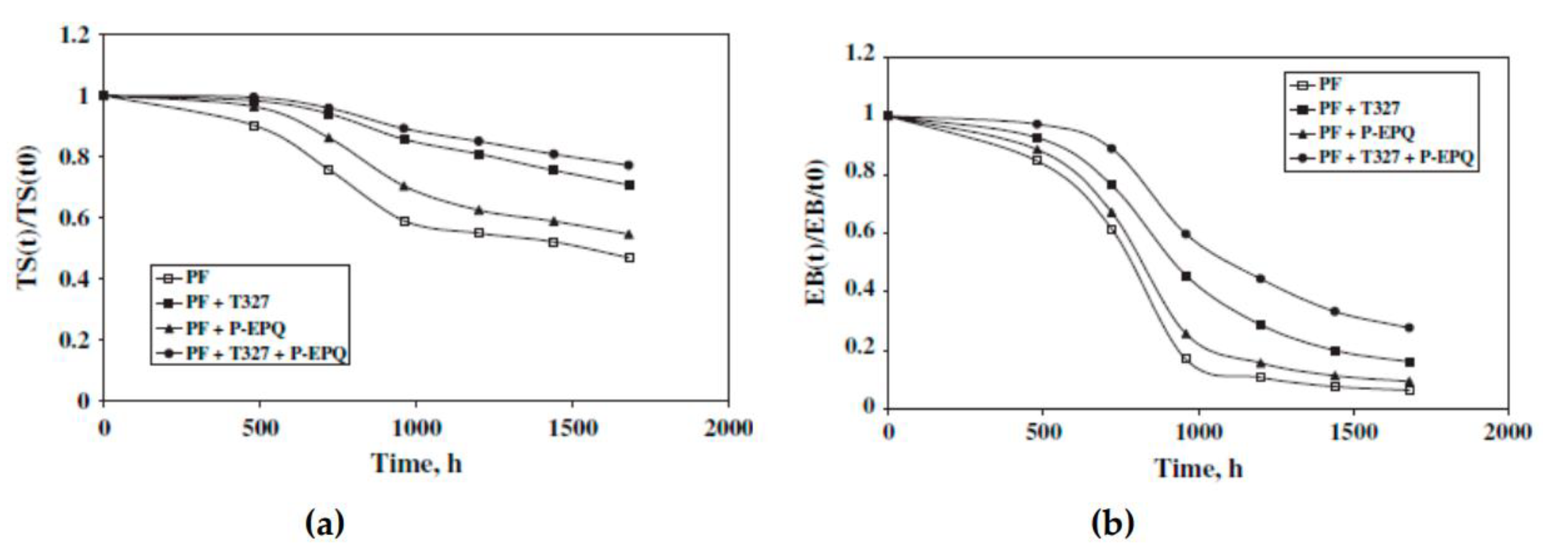
3.3. Greenhouse Covering Materials with Enhanced Properties
3.3.1. Radiometric Properties

3.3.2. Thermal Properties
3.3.3. Greenhouse Polymer Films with Temperature-Retaining Particles
Silica Filter Films
Silica Aerogel/Poly (Ethylene-Co-Vinyl Acetate)
Poly(Ethylene-Co-Vinyl Acetate)/Mesopore Silica
Poly(P-Phenylene Vinylene)/Sol-Gel
Oxide of Polysiloxane (LLDPE, LDPE, or EBA)
3.3.4. Film Filler Based on Zinc Oxide Nanoparticles
Polylactide and Zinc Oxide
Zinc Oxide with Polyaniline
Zinc Oxide-Based Polymer
3.3.5. Greenhouses Agro-Photovoltaics (PVs)
Semi-Transparent PV Greenhouses Covering Materials
- Graphene- and Fullerene-Based Greenhouse Covering Materials
- Phase-Change Materials
- Luminescent Solar Concentrators
4. Environmental Sustainability of Greenhouse Covering Materials
4.1. Mechanical and Chemical Recycling
4.2. Closed-Loop Recycling
4.3. Bio-Based Polymers Synthesis
5. Discussion
6. Future Outlook and Perspectives
7. Conclusions
Author Contributions
Funding
Data Availability Statement
Conflicts of Interest
References
- EUROPEAN STANDARD BS EN 13031-1:2019 Greenhouses. Design and Construction Commercial Production Greenhouses 2022. Available online: https://www.en-standard.eu/bs-en-13031-1-2019-greenhouses-design-and-construction-commercial-production-greenhouses/ (accessed on 21 January 2023).
- Ghani, S.; Bakochristou, F.; ElBialy, E.M.A.A.; Gamaledin, S.M.A.; Rashwan, M.M.; Abdelhalim, A.M.; Ismail, S.M. Design Challenges of Agricultural Greenhouses in Hot and Arid Environments—A Review. Eng. Agric. Environ. Food 2019, 12, 48–70. [Google Scholar] [CrossRef]
- Papadakis, G. Experimental Analysis and Dynamic Simulation of the Greenhouse Microclimate. Ph.D. Thesis, Agricultural University of Athens, Athens, Greece, 1989; p. 166. [Google Scholar]
- Ravishankar, E.; Booth, R.E.; Saravitz, C.; Sederoff, H.; Ade, H.W.; O’Connor, B.T. Achieving Net Zero Energy Greenhouses by Integrating Semitransparent Organic Solar Cells. Joule 2020, 4, 490–506. [Google Scholar] [CrossRef]
- Emekli, N.Y.; Büyüktaş, K.; Başçetinçelik, A. Changes of the Light Transmittance of the LDPE Films during the Service Life for Greenhouse Application. J. Build. Eng. 2016, 6, 126–132. [Google Scholar] [CrossRef]
- Castilla, N.; van Kooten, O.; Sase, S.; Meneses, J.F.; Schnitzler, W.H.; van Os, E. (Eds.) XXVIII International Horticultural Congress on Science and Horticulture for People (IHC2010): International Symposium on Greenhouse 2010 and Soilless Cultivation, ISHS Acta Horticulturae 927; ISHS: Leuven, Belgium, 2012. [Google Scholar]
- Espejo, C.; Arribas, A.; Monzo, F.; Diez, P.P. Nanocomposite Films with Enhanced Radiometric Properties for Greenhouse Covering Applications. J. Plast. Film Sheeting 2012, 28, 336–350. [Google Scholar] [CrossRef]
- Wung, C.J.; Pang, Y.; Prasad, P.N.; Karasz, F.E. Poly (p-Phenylene Vinylene)-Silica Composite: A Novel Sol-Gel Processed Non-Linear Optical Material for Optical Waveguides. Polymer 1991, 32, 605–608. [Google Scholar] [CrossRef]
- Allan, J.M.; Mumin, M.A.; Wood, J.A.; Xu, W.Z.; Wu, W.; Charpentier, P.A. Silica Aerogel–Poly (Ethylene-co-vinyl Acetate) Composite for Transparent Heat Retention Films. J. Polym. Sci. Part B Polym. Phys. 2014, 52, 927–935. [Google Scholar] [CrossRef]
- Siegel, R.; Howell, J.R. Thermal Radiation Heat Transfer; McGraw-Hill: New York, NY, USA, 1972. [Google Scholar]
- Sol, J.A.H.P.; Timmermans, G.H.; van Breugel, A.J.; Schenning, A.P.H.J.; Debije, M.G. Multistate Luminescent Solar Concentrator “Smart” Windows. Adv. Energy Mater. 2018, 8, 1702922. [Google Scholar] [CrossRef]
- Li, Z.; Yano, A.; Cossu, M.; Yoshioka, H.; Kita, I.; Ibaraki, Y. Electrical Energy Producing Greenhouse Shading System with a Semi-Transparent Photovoltaic Blind Based on Micro-Spherical Solar Cells. Energies 2018, 11, 1681. [Google Scholar] [CrossRef]
- Barichello, J.; Vesce, L.; Mariani, P.; Leonardi, E.; Braglia, R.; Di Carlo, A.; Canini, A.; Reale, A. Stable Semi-Transparent Dye-Sensitized Solar Modules and Panels for Greenhouse Application. Energies 2021, 14, 6393. [Google Scholar] [CrossRef]
- Timmermans, G.H.; Saes, B.W.H.; Debije, M.G. Dual-Responsive “Smart” Window and Visually Attractive Coating Based on a Diarylethene Photochromic Dye. Appl. Opt. 2019, 58, 9823–9828. [Google Scholar] [CrossRef]
- Makarov, N.S.; Ramasamy, K.; Jackson, A.; Velarde, A.; Castaneda, C.; Archuleta, N.; Hebert, D.; Bergren, M.R.; McDaniel, H. Fiber-Coupled Luminescent Concentrators for Medical Diagnostics, Agriculture, and Telecommunications. ACS Nano 2019, 13, 9112–9121. [Google Scholar] [CrossRef] [PubMed]
- van Heeswijk, E.P.A.; Kloos, J.J.H.; Grossiord, N.; Schenning, A.P.H.J. Humidity-Gated, Temperature-Responsive Photonic Infrared Reflective Broadband Coatings. J. Mater. Chem. A 2019, 7, 6113–6119. [Google Scholar] [CrossRef]
- van Heeswijk, E.P.A.; Meerman, T.; de Heer, J.; Grossiord, N.; Schenning, A.P.H.J. Paintable Encapsulated Body-Temperature-Responsive Photonic Reflectors with Arbitrary Shapes. ACS Appl. Polym. Mater. 2019, 1, 3407–3412. [Google Scholar] [CrossRef]
- Brannum, M.T.; Steele, A.M.; Venetos, M.C.; Korley, L.T.J.; Wnek, G.E.; White, T.J. Light Control with Liquid Crystalline Elastomers. Adv. Opt. Mater. 2019, 7, 1801683. [Google Scholar] [CrossRef]
- Kragt, A.J.J.; van Gessel, I.P.M.; Schenning, A.P.H.J.; Broer, D.J. Temperature-Responsive Polymer Wave Plates as Tunable Polarization Converters. Adv. Opt. Mater. 2019, 7, 1901103. [Google Scholar] [CrossRef]
- Yang, J.; Lee, H.; Heo, S.G.; Kang, S.; Lee, H.; Lee, C.H.; Yoon, H. Squid-Inspired Smart Window by Movement of Magnetic Nanoparticles in Asymmetric Confinement. Adv. Mater. Technol. 2019, 4, 1900140. [Google Scholar] [CrossRef]
- Baeza, E.; Hemming, S.; Stanghellini, C. Materials with Switchable Radiometric Properties: Could They Become the Perfect Greenhouse Cover? Biosyst. Eng. 2020, 193, 157–173. [Google Scholar] [CrossRef]
- Li, P.; Koziel, J.A.; Zimmerman, J.J.; Zhang, J.; Cheng, T.-Y.; Yim-Im, W.; Jenks, W.S.; Lee, M.; Chen, B.; Hoff, S.J. Mitigation of Airborne PRRSV Transmission with UV Light Treatment: Proof-of-Concept. Agriculture 2021, 11, 259. [Google Scholar] [CrossRef]
- Jimenez Soler, P.L.; Agudelo, D. Validation and Calibration of a High Resolution Sensor in Unmanned Aerial Vehicles for Producing Images in the IR Range Utilizable in Precision Agriculture. In Proceedings of the AIAA Infotech@ Aerospace, Kissimmee, FL, USA, 5–9 January 2015; p. 988. [Google Scholar]
- Mu, M.; Zhang, S.; Yang, S.; Wang, Y. Phase Change Materials Applied in Agricultural Greenhouses. J. Energy Storage 2022, 49, 104100. [Google Scholar] [CrossRef]
- Dilara, P.A.; Briassoulis, D. Standard Testing Methods for Mechanical Properties and Degradation of Low Density Polyethylene (LDPE) Films Used as Greenhouse Covering Materials: A Critical Evaluation. Polym. Test. 1998, 17, 549–585. [Google Scholar] [CrossRef]
- Subasinghe, N.D. Applications of Non-Linear Dynamics in the Production of Functionalised and Sensing Material. In Advanced Materials Research; Trans Tech Publication Ltd.: Zurich, Switzerland, 2010; Volumes 93–94, pp. 485–488. [Google Scholar]
- Wu, B.-S.; Rufyikiri, A.-S.; Orsat, V.; Lefsrud, M.G. Re-Interpreting the Photosynthetically Action Radiation (PAR) Curve in Plants. Plant Sci. 2019, 289, 110272. [Google Scholar] [CrossRef] [PubMed]
- Steinmetz, Z.; Wollmann, C.; Schaefer, M.; Buchmann, C.; David, J.; Tröger, J.; Muñoz, K.; Frör, O.; Schaumann, G.E. Plastic Mulching in Agriculture. Trading Short-Term Agronomic Benefits for Long-Term Soil Degradation? Sci. Total Environ. 2016, 550, 690–705. [Google Scholar] [CrossRef] [PubMed]
- Bhuvaneshwaran, M.; Subramani, S.P.; Palaniappan, S.K.; Pal, S.K.; Balu, S. Natural Cellulosic Fiber from Coccinia Indica Stem for Polymer Composites: Extraction and Characterization. J. Nat. Fibers 2021, 18, 644–652. [Google Scholar] [CrossRef]
- Kurata, K. Scale-Model Experiments of Applying a Fresnel Prism to Greenhouse Covering. Sol. Energy 1991, 46, 53–57. [Google Scholar] [CrossRef]
- Papadakis, G.; Manolakos, D.; Kyritsis, S. Solar Radiation Transmissivity of a Single-Span Greenhouse through Measurements on Scale Models. J. Agric. Eng. Res. 1998, 71, 331–338. [Google Scholar] [CrossRef]
- Critten, D.L. A Computer Model to Calculate the Daily Light Integral and Transmissivity of a Greenhouse. J. Agric. Eng. Res. 1983, 28, 61–76. [Google Scholar] [CrossRef]
- Papadakis, G.; Frangoudakis, A.; Kyritsis, S. A Model for the Calculation of Direct and Diffuse Light Transmission in Greenhouses. In Proceedings of the 2nd International Conference, & Energy & Agriculture, Sirmione/Brescia, Italy, 13–16 October 1986; Volume 3, p. 265. [Google Scholar]
- Miguel, A.F.; Silva, A.M.; Rosa, R. Solar Irradiation inside a Single-Span Greenhouse with Shading Screens. J. Agric. Eng. Res. 1994, 59, 61–72. [Google Scholar] [CrossRef]
- Nijskens, J.; Deltour, J.; Nisen, A.; Coutisse, S. Radiometric and Thermal Properties of Plastic Materials. In Proceedings of the II International Symposium on Plastics in Mediterranean Countries, ISHS Acta Horticulturae 154, Hammamet, Tunesia, 20–25 February 1984; pp. 33–42. [Google Scholar]
- Cooper, P.I.; Fuller, R.J. A Transient Model of the Interaction between Crop, Environment and Greenhouse Structure for Predicting Crop Yield and Energy Consumption. J. Agric. Eng. Res. 1983, 28, 401–417. [Google Scholar] [CrossRef]
- Silva, A.M.; Rosa, R. Radiative Heat Loss inside a Greenhouse. J. Agric. Eng. Res. 1987, 37, 155–162. [Google Scholar] [CrossRef]
- Papadakis, G.; Frangoudakis, A.; Kyritsis, S. Theoretical and Experimental Investigation of Thermal Radiation Transfer in Polyethylene Covered Greenhouses. J. Agric. Eng. Res. 1989, 44, 97–111. [Google Scholar] [CrossRef]
- Silva, A.M.; Miguel, A.; Rosa, R. Thermal Radiation inside a Single Span Greenhouse with a Thermal Screen. J. Agric. Eng. Res. 1991, 49, 285–298. [Google Scholar] [CrossRef]
- Papadakis, G.; Frangoudakis, A.; Kyritsis, S. Experimental Investigation and Modelling of Heat and Mass Transfer between a Tomato Crop and the Greenhouse Environment. J. Agric. Eng. Res. 1994, 57, 217–227. [Google Scholar] [CrossRef]
- Manera, C.; Picuno, P.; Scarascia Mugnozza, G. Analysis of Nocturnal Microclimate in Single Skin Cold Greenhouses in Mediterranean Countries. In Proceedings of the II Workshop on Greenhouse Construction and Design, ISHS Acta Horticulturae 281, Montpellier, France, 4 September 1989; pp. 47–56. [Google Scholar]
- Bárcena, A.; Graciano, C.; Luca, T.; Guiamet, J.J.; Costa, L. Shade Cloths and Polyethylene Covers Have Opposite Effects on Tipburn Development in Greenhouse Grown Lettuce. Sci. Hortic. 2019, 249, 93–99. [Google Scholar] [CrossRef]
- Bos, U.; Makishi, C.; Fischer, M. Life Cycle Assessment of Common Used Agricultural Plastic Products in the EU. In Proceedings of the International Symposium on High Technology for Greenhouse System Management: Greensys2007, ISHS Acta Horticulturae 801, Naples, Italy, 4–6 October 2007; pp. 341–350. [Google Scholar]
- Reddy, P.P. Greenhouse Technology. In Sustainable Crop Protection under Protected Cultivation; Springer: Berlin/Heidelberg, Germany, 2016; pp. 13–22. [Google Scholar]
- Hassanien, R.H.E.; Li, M.; Yin, F. The Integration of Semi-Transparent Photovoltaics on Greenhouse Roof for Energy and Plant Production. Renew. Energy 2018, 121, 377–388. [Google Scholar] [CrossRef]
- Seven, S.A.; Tastan, Ö.F.; Tas, C.E.; Ünal, H.; Ince, İ.A.; Menceloglu, Y.Z. Insecticide-Releasing LLDPE Films as Greenhouse Cover Materials. Mater. Today Commun. 2019, 19, 170–176. [Google Scholar] [CrossRef]
- Briassoulis, D.; Giannoulis, A. Evaluation of the Functionality of Bio-Based Plastic Mulching Films. Polym. Test. 2018, 67, 99–109. [Google Scholar] [CrossRef]
- Shogren, R.; Wood, D.; Orts, W.; Glenn, G. Plant-Based Materials and Transitioning to a Circular Economy. Sustain. Prod. Consum. 2019, 19, 194–215. [Google Scholar] [CrossRef]
- Al-Mahdouri, A.; Baneshi, M.; Gonome, H.; Okajima, J.; Maruyama, S. Evaluation of Optical Properties and Thermal Performances of Different Greenhouse Covering Materials. Sol. Energy 2013, 96, 21–32. [Google Scholar] [CrossRef]
- Nkwachukwu, O.I.; Chima, C.H.; Ikenna, A.O.; Albert, L. Focus on Potential Environmental Issues on Plastic World towards a Sustainable Plastic Recycling in Developing Countries. Int. J. Ind. Chem. 2013, 4, 34. [Google Scholar] [CrossRef]
- Al-Mahdouri, A.; Gonome, H.; Okajima, J.; Maruyama, S. Theoretical and Experimental Study of Solar Thermal Performance of Different Greenhouse Cladding Materials. Sol. Energy 2014, 107, 314–327. [Google Scholar] [CrossRef]
- Baxevanou, C.; Fidaros, D.; Bartzanas, T.; Kittas, C. Yearly Numerical Evaluation of Greenhouse Cover Materials. Comput. Electron. Agric. 2018, 149, 54–70. [Google Scholar] [CrossRef]
- Liu, C.-H.; Ay, C.; Kan, J.-C.; Lee, M.-T. Improving Greenhouse Cladding by the Additives of Inorganic Nano-Particles. In Proceedings of the 2018 IEEE International Conference on Applied System Invention (ICASI), Chiba, Japan, 13–17 April 2018; IEEE: Piscataway, NJ, USA, 2018; pp. 673–677. [Google Scholar]
- Hahladakis, J.N.; Velis, C.A.; Weber, R.; Iacovidou, E.; Purnell, P. An Overview of Chemical Additives Present in Plastics: Migration, Release, Fate and Environmental Impact during Their Use, Disposal and Recycling. J. Hazard. Mater. 2018, 344, 179–199. [Google Scholar] [CrossRef] [PubMed]
- Kavga, A.; Souliotis, M.; Koumoulos, E.P.; Fokaides, P.A.; Charitidis, C.A. Environmental and nanomechanical testing of an alternative polymer nanocomposite greenhouse covering material. Sol. Energy 2018, 159, 1–9. [Google Scholar] [CrossRef]
- Callister, W.D.; Rethwisch, D.G. Materials Science and Engineering: An Introduction; Wiley: New York, NY, USA, 2018; Volume 9. [Google Scholar]
- Zhang, X.; You, S.; Tian, Y.; Li, J. Comparison of Plastic Film, Biodegradable Paper and Bio-Based Film Mulching for Summer Tomato Production: Soil Properties, Plant Growth, Fruit Yield and Fruit Quality. Sci. Hortic. 2019, 249, 38–48. [Google Scholar] [CrossRef]
- Kittas, C.; Tchamitchian, M.; Katsoulas, N.; Karaiskou, P.; Papaioannou, C.H. Effect of Two UV-Absorbing Greenhouse-Covering Films on Growth and Yield of an Eggplant Soilless Crop. Sci. Hortic. 2006, 110, 30–37. [Google Scholar] [CrossRef]
- Charitidis, C.A.; Pantelakis, S.P.; Bontozoglou, V.; Kontonasios, L.; Kavga, A.; Charitidis, P. Advanced Materials and Processes at the Nano/Micro Scale in Covering Materials of Greenhouses for Energy Savings Advanced Materials Used as Greenhouse Coverings. Part. Contin. Asp. Mesomech. 2007, 545–551. [Google Scholar]
- Kumar, A.; Sharma, G.; Naushad, M.; Ala’a, H.; García-Peñas, A.; Mola, G.T.; Si, C.; Stadler, F.J. Bio-Inspired and Biomaterials-Based Hybrid Photocatalysts for Environmental Detoxification: A Review. Chem. Eng. J. 2020, 382, 122937. [Google Scholar] [CrossRef]
- Aldaftari, H.A.; Okajima, J.; Komiya, A.; Maruyama, S. Radiative Control through Greenhouse Covering Materials Using Pigmented Coatings. J. Quant. Spectrosc. Radiat. Transf. 2019, 231, 29–36. [Google Scholar] [CrossRef]
- Chen, J.; Xu, F.; Ding, B.; Wu, N.; Shen, Z.; Zhang, L. Performance Analysis of Radiation and Electricity Yield in a Photovoltaic Panel Integrated Greenhouse Using the Radiation and Thermal Models. Comput. Electron. Agric. 2019, 164, 104904. [Google Scholar] [CrossRef]
- Miller, S.A. Natural Fiber Textile Reinforced Bio-Based Composites: Mechanical Properties, Creep, and Environmental Impacts. J. Clean. Prod. 2018, 198, 612–623. [Google Scholar] [CrossRef]
- Zhang, J.; Wang, J.; Guo, S.; Wei, B.; He, X.; Sun, J.; Shu, S. Study on Heat Transfer Characteristics of Straw Block Wall in Solar Greenhouse. Energy Build. 2017, 139, 91–100. [Google Scholar] [CrossRef]
- Antón, A.; Torrellas, M.; Raya, V.; Montero, J.I. Modelling the Amount of Materials to Improve Inventory Datasets of Greenhouse Infrastructures. Int. J. Life Cycle Assess. 2014, 19, 29–41. [Google Scholar] [CrossRef]
- Rabhy, O.O.; Adam, I.G.; Youssef, M.E.; Rashad, A.B.; Hassan, G.E. Numerical and experimental analyses of a transparent solar distiller for an agricultural greenhouse. Appl. Energy 2019, 253, 113564. [Google Scholar] [CrossRef]
- Legarrea, S.; Velázquez, E.; Aguado, P.; Fereres, A.; Morales, I.; Rodríguez, D.; Del Estal, P.; Viñuela, E. Effects of a photoselective greenhouse cover on the performance and host finding ability of Aphidius ervi in a lettuce crop. BioControl 2014, 59, 265–278. [Google Scholar] [CrossRef]
- Hao, X.; Papadopoulos, A.P. Effects of supplemental lighting and cover materials on growth, photosynthesis, biomass partitioning, early yield and quality of greenhouse cucumber. Sci. Hortic. 1999, 80, 1–18. [Google Scholar] [CrossRef]
- ASTM E891-87; Tables for Terrestrial Direct Normal Solar Spectral Irradiance Tables for Air Mass 1.5 (Withdrawn 1999). (Reapproved 1992); ASTM International: West Conshohocken, PA, USA, 1992.
- ISO 9050:2003; Glass in Building—Determination of Light Transmittance, Solar Direct Transmittance, Total Solar Energy Transmittance, Ultraviolet Transmittance and Related Glazing Factors. Technical Report; ISO: Geneva, Switzerland, 2017.
- Holman, J.P. Heat Transfer; McGraw Hill Higher Education: New York, NY, USA, 2010. [Google Scholar]
- Zhou, Y.; Dong, X.; Mi, Y.; Fan, F.; Xu, Q.; Zhao, H.; Wang, S.; Long, Y. Hydrogel Smart Windows. J. Mater. Chem. A 2020, 8, 10007–10025. [Google Scholar] [CrossRef]
- Pearson, S.; Wheldon, A.E.; Hadley, P. Radiation Transmission and Fluorescence of Nine Greenhouse Cladding Materials. J. Agric. Eng. Res. 1995, 62, 61–69. [Google Scholar] [CrossRef]
- McCree, K.J. The Action Spectrum, Absorptance and Quantum Yield of Photosynthesis in Crop Plants. Agric. Meteorol. 1971, 9, 191–216. [Google Scholar] [CrossRef]
- Iqbal, M. An Introduction to Solar Radiation; Elsevier: Amsterdam, The Netherlands, 2012; ISBN 0323151817. [Google Scholar]
- Moon, P. Illumination from a Non-Uniform Sky. Illum. Engng. 1942, 37, 707–726. [Google Scholar]
- Coulson, K. Solar and Terrestrial Radiation: Methods and Measurements; Elsevier: Amsterdam, The Netherlands, 2012; ISBN 0323155510. [Google Scholar]
- Morris, C.W.; Lawrence, J.H. Anisotropy of Clear Sky Diffuse Solar Radiation. ASHRAE J. 1971, 77. [Google Scholar]
- Rubin, M.; Arasteh, D.; Hartmann, J. A Correlation between Normal and Hemispherical Emissivity of Low-Emissivity Coatings on Glass. Int. Commun. Heat Mass Transf. 1987, 14, 561–565. [Google Scholar] [CrossRef]
- Musikant, S. Glass. In Encyclopedia of Physical Science and Technology, 3rd ed.; Meyers, R.A., Ed.; Academic Press: New York, NY, USA, 2003; pp. 781–806. ISBN 978-0-12-227410-7. [Google Scholar]
- Kittas, C.; Baille, A. Determination of the Spectral Properties of Several Greenhouse Cover Materials and Evaluation of Specific Parameters Related to Plant Response. J. Agric. Eng. Res. 1998, 71, 193–202. [Google Scholar] [CrossRef]
- Smith, H. Light Quality, Photoperception, and Plant Strategy. Annu. Rev. Plant Physiol. 1982, 33, 481–518. [Google Scholar] [CrossRef]
- Roy, J.C.; Boulard, T.; Kittas, C.; Wang, S. PA—Precision Agriculture: Convective and Ventilation Transfers in Greenhouses, Part 1: The Greenhouse Considered as a Perfectly Stirred Tank. Biosyst. Eng. 2002, 83, 1–20. [Google Scholar] [CrossRef]
- Nijskens, J.; Deltour, J.; Coutisse, S.; Nisen, A. Heat Transfer through Covering Materials of Greenhouses. Agric. For. Meteorol. 1984, 33, 193–214. [Google Scholar] [CrossRef]
- Oreski, G.; Wallner, G.M.; Lang, R.W. Ageing Characterization of Commercial Ethylene Copolymer Greenhouse Films by Analytical and Mechanical Methods. Biosyst. Eng. 2009, 103, 489–496. [Google Scholar] [CrossRef]
- Jin, J.; Chen, S.; Zhang, J. UV Aging Behaviour of Ethylene-Vinyl Acetate Copolymers (EVA) with Different Vinyl Acetate Contents. Polym. Degrad. Stab. 2010, 95, 725–732. [Google Scholar] [CrossRef]
- Aranda, L.L. Silica Aerogel. IEEE Potentials 2001, 20, 12–15. [Google Scholar] [CrossRef]
- Mumin, M.A.; Akhter, K.F.; Dresser, S.; van Dinther, S.T.; Wu, W.; Charpentier, P.A. Multifunctional Mesoporous Silica Nanoparticles in Poly(Ethylene-Co-Vinyl Acetate) for Transparent Heat Retention Films. J. Polym. Sci. Part B Polym. Phys. 2015, 53, 851–859. [Google Scholar] [CrossRef]
- McCarthy, S.A.; Davies, G.-L.; Gun’ko, Y.K. Preparation of Multifunctional Nanoparticles and Their Assemblies. Nat. Protoc. 2012, 7, 1677–1693. [Google Scholar] [CrossRef]
- Blin, J.L.; Carteret, C. Investigation of the Silanols Groups of Mesostructured Silica Prepared Using a Fluorinated Surfactant: Influence of the Hydrothermal Temperature. J. Phys. Chem. C 2007, 111, 14380–14388. [Google Scholar] [CrossRef]
- Tandon, G.P.; Tekalur, S.A.; Ralph, C.; Sottos, N.R.; Blaiszik, B. Experimental Mechanics of Composite, Hybrid, and Multifunctional Materials; Springer: Dordrecht, The Netherlands, 2014; Volume 6. [Google Scholar]
- Tandon, G. Composite, Hybrid, and Multifunctional Materials. In Proceedings of the 2014 Annual Conference on Experimental and Applied Mechanics, Greenville, SC, USA, 2–5 June 2014; Springer: New York, NY, USA, 2014; Volume 4, ISBN 3319069926. [Google Scholar]
- Tessema, A.; Zhao, D.; Moll, J.; Xu, S.; Yang, R.; Li, C.; Kumar, S.K.; Kidane, A. Effect of Filler Loading, Geometry, Dispersion and Temperature on Thermal Conductivity of Polymer Nanocomposites. Polym. Test. 2017, 57, 101–106. [Google Scholar] [CrossRef]
- Tessema, A.; Kidane, A. The Effect of Particles Size on the Thermal Conductivity of Polymer Nanocomposite. In Composite, Hybrid, and Multifunctional Materials; Springer: Dordrecht, The Netherlands, 2015; Volume 4, pp. 151–156. [Google Scholar]
- Wang, X.; Zhou, S.; Wu, L. Facile Encapsulation of SiO2 on ZnO Quantum Dots and Its Application in Waterborne UV-Shielding Polymer Coatings. J. Mater. Chem. C 2013, 1, 7547–7553. [Google Scholar] [CrossRef]
- Tapia, G.J.; Martinez, O.G. Polymeric Covering Materials for Growing Plants or Crops. U.S. Patent 4559381, 17 December 1985. [Google Scholar]
- Espi, E.; Salmerón, A.; Fontecha, A.; García-Alonso, Y.; Real, A.I. New Ultrathermic Films for Greenhouse Covers. J. Plast. Film Sheeting 2006, 22, 59–68. [Google Scholar] [CrossRef]
- Rong, M.Z.; Zhang, M.Q.; Wang, H.B.; Zeng, H.M. Surface Modification of Magnetic Metal Nanoparticles through Irradiation Graft Polymerization. Appl. Surf. Sci. 2002, 200, 76–93. [Google Scholar] [CrossRef]
- Anderson, P.W. Absence of Diffusion in Certain Random Lattices. Phys. Rev. 1958, 109, 1492. [Google Scholar] [CrossRef]
- Chen, J.; Li, Y.; Wang, Y.; Yun, J.; Cao, D. Preparation and Characterization of Zinc Sulfide Nanoparticles under High-Gravity Environment. Mater. Res. Bull. 2004, 39, 185–194. [Google Scholar] [CrossRef]
- Huang, X.-J.; Zeng, X.-F.; Wang, J.-X.; Chen, J.-F. Transparent Dispersions of Monodispersed ZnO Nanoparticles with Ultrahigh Content and Stability for Polymer Nanocomposite Film with Excellent Optical Properties. Ind. Eng. Chem. Res. 2018, 57, 4253–4260. [Google Scholar] [CrossRef]
- Chen, J.-F.; Wang, Y.-H.; Guo, F.; Wang, X.-M.; Zheng, C. Synthesis of Nanoparticles with Novel Technology: High-Gravity Reactive Precipitation. Ind. Eng. Chem. Res. 2000, 39, 948–954. [Google Scholar] [CrossRef]
- Qin, H.; Zhang, S.; Liu, H.; Xie, S.; Yang, M.; Shen, D. Photo-Oxidative Degradation of Polypropylene/Montmorillonite Nanocomposites. Polymer 2005, 46, 3149–3156. [Google Scholar] [CrossRef]
- Ahmed, F.; Kumar, S.; Arshi, N.; Anwar, M.S.; Su-Yeon, L.; Kil, G.-S.; Park, D.-W.; Koo, B.H.; Lee, C.G. Preparation and Characterizations of Polyaniline (PANI)/ZnO Nanocomposites Film Using Solution Casting Method. Thin Solid Films 2011, 519, 8375–8378. [Google Scholar] [CrossRef]
- Bhullar, G.K.; Kaur, R.; Raina, K.K. Growth, Morphology, and Electrical Characterization of Polyaniline–ZnO Nano-Composite Langmuir–Blodgett Thin Films. J. Electron. Mater. 2015, 44, 3422–3429. [Google Scholar] [CrossRef]
- Yilmazer, Ü.; Bakar, M.; Kioul, A. Development of Thermal Films for Greenhouse Applications Using Long Infrared Radiation Absorbers. J. Plast. Film Sheeting 1991, 7, 43–55. [Google Scholar] [CrossRef]
- Mesmoudi, K.; Bougoul, S.; Bournet, P.E. Thermal Performance of an Unheated Greenhouse under Semi-Arid Conditions during the Night. In Proceedings of the International Symposium on Advanced Technologies and Management Towards Sustainable Greenhouse Ecosystems: Greensys2011, ISHS Acta Horticulturae 952, Athens, Greece, 5–10 June 2011; pp. 417–424. [Google Scholar]
- Emmott, C.J.M.; Röhr, J.A.; Campoy-Quiles, M.; Kirchartz, T.; Urbina, A.; Ekins-Daukes, N.J.; Nelson, J. Organic Photovoltaic Greenhouses: A Unique Application for Semi-Transparent PV? Energy Environ. Sci. 2015, 8, 1317–1328. [Google Scholar] [CrossRef]
- Blackburn, J.L. Semiconducting Single-Walled Carbon Nanotubes in Solar Energy Harvesting. ACS Energy Lett. 2017, 2, 1598–1613. [Google Scholar] [CrossRef]
- Celik, I.; Mason, B.E.; Phillips, A.B.; Heben, M.J.; Apul, D. Environmental Impacts from Photovoltaic Solar Cells Made with Single Walled Carbon Nanotubes. Environ. Sci. Technol. 2017, 51, 4722–4732. [Google Scholar] [CrossRef]
- Ghalandari, M.; Maleki, A.; Haghighi, A.; Shadloo, M.S.; Nazari, M.A.; Tlili, I. Applications of Nanofluids Containing Carbon Nanotubes in Solar Energy Systems: A Review. J. Mol. Liq. 2020, 313, 113476. [Google Scholar] [CrossRef]
- Ong, P.-L.; Euler, W.B.; Levitsky, I.A. Hybrid Solar Cells Based on Single-Walled Carbon Nanotubes/Si Heterojunctions. Nanotechnology 2010, 21, 105203. [Google Scholar] [CrossRef]
- Saeidi, S.; Rezaei, B.; Irannejad, N.; Ensafi, A.A. Efficiency Improvement of Luminescent Solar Concentrators Using Upconversion Nitrogen-Doped Graphene Quantum Dots. J. Power Sources 2020, 476, 228647. [Google Scholar] [CrossRef]
- Chou, H.-T.; Chen, Y.-C.; Lee, C.-Y.; Chang, H.-Y.; Tai, N.-H. Switchable Transparency of Dual-Controlled Smart Glass Prepared with Hydrogel-Containing Graphene Oxide for Energy Efficiency. Sol. Energy Mater. Sol. Cells 2017, 166, 45–51. [Google Scholar] [CrossRef]
- Lin, L.; Peng, H.; Liu, Z. Synthesis Challenges for Graphene Industry. Nat. Mater. 2019, 18, 520–524. [Google Scholar] [CrossRef] [PubMed]
- Deng, B.; Liu, Z.; Peng, H. Toward Mass Production of CVD Graphene Films. Adv. Mater. 2019, 31, 1800996. [Google Scholar] [CrossRef]
- Zhong, Y.L.; Tian, Z.; Simon, G.P.; Li, D. Scalable Production of Graphene via Wet Chemistry: Progress and Challenges. Mater. Today 2015, 18, 73–78. [Google Scholar] [CrossRef]
- Ren, W.; Cheng, H.-M. The Global Growth of Graphene. Nat. Nanotechnol. 2014, 9, 726–730. [Google Scholar] [CrossRef]
- Shi, H.; Xia, R.; Zhang, G.; Yip, H.; Cao, Y. Spectral Engineering of Semitransparent Polymer Solar Cells for Greenhouse Applications. Adv. Energy Mater. 2019, 9, 1803438. [Google Scholar] [CrossRef]
- Zhan, W.; Jiang, K. A Modular Photocurrent Generation System Based on Phospholipid-Assembled Fullerenes. Langmuir 2008, 24, 13258–13261. [Google Scholar] [CrossRef] [PubMed]
- Thompson, B.C.; Fréchet, J.M.J. Polymer–Fullerene Composite Solar Cells. Angew. Chem. Int. Ed. 2008, 47, 58–77. [Google Scholar] [CrossRef] [PubMed]
- Kar, S.; Sizochenko, N.; Ahmed, L.; Batista, V.S.; Leszczynski, J. Quantitative Structure-Property Relationship Model Leading to Virtual Screening of Fullerene Derivatives: Exploring Structural Attributes Critical for Photoconversion Efficiency of Polymer Solar Cell Acceptors. Nano Energy 2016, 26, 677–691. [Google Scholar] [CrossRef]
- Allardyce, C.S.; Fankhauser, C.; Zakeeruddin, S.M.; Grätzel, M.; Dyson, P.J. The Influence of Greenhouse-Integrated Photovoltaics on Crop Production. Sol. Energy 2017, 155, 517–522. [Google Scholar] [CrossRef]
- Trypanagnostopoulos, G.; Kavga, A.; Souliotis, Μ.; Tripanagnostopoulos, Y. Greenhouse Performance Results for Roof Installed Photovoltaics. Renew. Energy 2017, 111, 724–731. [Google Scholar] [CrossRef]
- Vadiee, A.; Martin, V. Thermal Energy Storage Strategies for Effective Closed Greenhouse Design. Appl. Energy 2013, 109, 337–343. [Google Scholar] [CrossRef]
- Ling, H.; Chen, C.; Wei, S.; Guan, Y.; Ma, C.; Xie, G.; Li, N.; Chen, Z. Effect of Phase Change Materials on Indoor Thermal Environment under Different Weather Conditions and over a Long Time. Appl. Energy 2015, 140, 329–337. [Google Scholar] [CrossRef]
- Korin, E.; Pasternak, D.; Rappeport, E.; Roy, A.; Wolf, D. A Novel Greenhouse Concept Using Phase Change Materials in Walls and Roof. In Intersol Eighty Five; Elsevier: Amsterdam, The Netherlands, 1986; pp. 621–625. [Google Scholar]
- Kenisarin, M.; Mahkamov, K. Solar Energy Storage Using Phase Change Materials. Renew. Sustain. Energy Rev. 2007, 11, 1913–1965. [Google Scholar] [CrossRef]
- Pielichowska, K.; Pielichowski, K. Phase Change Materials for Thermal Energy Storage. Prog. Mater. Sci. 2014, 65, 67–123. [Google Scholar] [CrossRef]
- Sharma, A.; Tyagi, V.V.; Chen, C.R.; Buddhi, D. Review on Thermal Energy Storage with Phase Change Materials and Applications. Renew. Sustain. Energy Rev. 2009, 13, 318–345. [Google Scholar] [CrossRef]
- Huang, L.; Deng, L.; Li, A.; Gao, R.; Zhang, L.; Lei, W. Analytical model for solar radiation transmitting the curved transparent surface of solar greenhouse. J. Build. Eng. 2020, 32, 101785. [Google Scholar] [CrossRef]
- Yan, S.; Fazilati, M.A.; Toghraie, D.; Khalili, M.; Karimipour, A. Energy Cost and Efficiency Analysis of Greenhouse Heating System Enhancement Using Phase Change Material: An Experimental Study. Renew. Energy 2021, 170, 133–140. [Google Scholar] [CrossRef]
- Chen, S.; Zhu, Y.; Chen, Y.; Liu, W. Usage Strategy of Phase Change Materials in Plastic Greenhouses, in Hot Summer and Cold Winter Climate. Appl. Energy 2020, 277, 115416. [Google Scholar] [CrossRef]
- Nayak, S.; Tiwari, G.N. Energy and Exergy Analysis of Photovoltaic/Thermal Integrated with a Solar Greenhouse. Energy Build. 2008, 40, 2015–2021. [Google Scholar] [CrossRef]
- Han, F.; Chen, C.; Hu, Q.; He, Y.; Wei, S.; Li, C. Modeling Method of an Active–Passive Ventilation Wall with Latent Heat Storage for Evaluating Its Thermal Properties in the Solar Greenhouse. Energy Build. 2021, 238, 110840. [Google Scholar] [CrossRef]
- Fiorito, F.; Sauchelli, M.; Arroyo, D.; Pesenti, M.; Imperadori, M.; Masera, G.; Ranzi, G. Shape Morphing Solar Shadings: A Review. Renew. Sustain. Energy Rev. 2016, 55, 863–884. [Google Scholar] [CrossRef]
- Maraveas, C.; Bayer, I.S.; Bartzanas, T. 4D Printing: Perspectives for the Production of Sustainable Plastics for Agriculture. Biotechnol. Adv. 2021, 54, 107785. [Google Scholar] [CrossRef] [PubMed]
- Mukherjee, A.; Srivastava, P.; Sandhu, J.K. Application of Smart Materials in Civil Engineering: A Review. Mater. Today Proc. 2021, 81, 350–359. [Google Scholar] [CrossRef]
- Salerno, I.; Anjos, M.F.; McKinnon, K.; Gomez-Herrera, J.A. Adaptable Energy Management System for Smart Buildings. J. Build. Eng. 2021, 44, 102748. [Google Scholar] [CrossRef]
- Hoogenboom, R. Temperature-responsive polymers: Properties, synthesis, and applications. In Smart Polymers and Their Applications; Elsevier: Amsterdam, The Netherlands, 2019; pp. 13–44. [Google Scholar]
- Srinivasan, G.; Muthukumar, P. A review on solar greenhouse dryer: Design, thermal modelling, energy, economic and environmental aspects. Sol. Energy 2021, 229, 3–21. [Google Scholar] [CrossRef]
- El-Bashir, S.M.; Al-Jaghwani, A.A. Perylene-Doped Polycarbonate Coatings for Acrylic Active Greenhouse Luminescent Solar Concentrator Dryers. Results Phys. 2020, 16, 102920. [Google Scholar] [CrossRef]
- Eren, G.O.; Sadeghi, S.; Shahzad, M.; Nizamoglu, S. Protocol on Synthesis and Characterization of Copper-Doped InP/ZnSe Quantum Dots as Ecofriendly Luminescent Solar Concentrators with High Performance and Large Area. STAR Protoc. 2021, 2, 100664. [Google Scholar] [CrossRef] [PubMed]
- Meinardi, F.; Bruni, F.; Brovelli, S. Luminescent Solar Concentrators for Building-Integrated Photovoltaics. Nat. Rev. Mater. 2017, 2, 17072. [Google Scholar] [CrossRef]
- Turner, D.A.; Williams, I.D.; Kemp, S. Greenhouse Gas Emission Factors for Recycling of Source-Segregated Waste Materials. Resour. Conserv. Recycl. 2015, 105, 186–197. [Google Scholar] [CrossRef]
- Rorrer, N.A.; Nicholson, S.; Carpenter, A.; Biddy, M.J.; Grundl, N.J.; Beckham, G.T. Combining Reclaimed PET with Bio-Based Monomers Enables Plastics Upcycling. Joule 2019, 3, 1006–1027. [Google Scholar] [CrossRef]
- La Mantia, F.P. Closed-Loop Recycling. A Case Study of Films for Greenhouses. Polym. Degrad. Stab. 2010, 95, 285–288. [Google Scholar] [CrossRef]
- Stefani, L.; Zanon, M.; Modesti, M.; Ugel, E.; Vox, G.; Schettini, E. Reduction of the Environmental Impact of Plastic Films for Greenhouse Covering by Using Fluoropolymeric Materials. In Proceedings of the International Symposium on High Technology for Greenhouse System Management: Greensys2007, ISHS Acta Horticulturae 801, Naples, Italy, 4–6 October 2007; pp. 131–138. [Google Scholar]
- Vox, G.; Loisi, R.V.; Blanco, I.; Mugnozza, G.S.; Schettini, E. Mapping of Agriculture Plastic Waste. Agric. Agric. Sci. Procedia 2016, 8, 583–591. [Google Scholar] [CrossRef]
- Gilbert, N. One-Third of Our Greenhouse Gas Emissions Come from Agriculture. Nature 2012, 31, 10–12. [Google Scholar] [CrossRef]
- Kumari, N.; Tiwari, G.N.; Sodha, M.S. Effect of Phase Change Material on Passive Thermal Heating of a Greenhouse. Int. J. Energy Res. 2006, 30, 221–236. [Google Scholar] [CrossRef]
- Coates, J. Interpretation of Infrared Spectra, a Practical Approach. In Encyclopedia of Analytical Chemistry; Meyers, R.A., McKelvy, M.L., Eds.; Wiley: Hoboken, NJ, USA, 2006. [Google Scholar] [CrossRef]
- Ajorloo, M.; Ghodrat, M.; Kang, W.-H. Incorporation of Recycled Polypropylene and Fly Ash in Polypropylene-Based Composites for Automotive Applications. J. Polym. Environ. 2021, 29, 1298–1309. [Google Scholar] [CrossRef]
- Dintcheva, N.T.; La Mantia, F.P. Photo-Re-Stabilisation of Recycled Post-Consumer Films from Greenhouses. Polym. Degrad. Stab. 2004, 85, 1041–1044. [Google Scholar] [CrossRef]
- Maraveas, C. Environmental Sustainability of Greenhouse Covering Materials. Sustainability 2019, 11, 6129. [Google Scholar] [CrossRef]
- Guan, Y.; Bai, J.; Gao, X.; Hu, W.; Chen, C.; Hu, W. Thickness Determination of a Three-Layer Wall with Phase Change Materials in a Chinese Solar Greenhouse. Procedia Eng. 2017, 205, 130–136. [Google Scholar] [CrossRef]
- Cui, S.; Borgemenke, J.; Liu, Z.; Li, Y. Recent Advances of “Soft” Bio-Polycarbonate Plastics from Carbon Dioxide and Renewable Bio-Feedstocks via Straightforward and Innovative Routes. J. CO2 Util. 2019, 34, 40–52. [Google Scholar] [CrossRef]
- Darko, E.; Heydarizadeh, P.; Schoefs, B.; Sabzalian, M.R. Photosynthesis under artificial light: The shift in primary and secondary metabolism. Philos. Trans. R. Soc. B Biol. Sci. 2014, 369, 20130243. [Google Scholar] [CrossRef]
- He, X.; Maier, C.; Chavan, S.G.; Zhao, C.-C.; Alagoz, Y.; Cazzonelli, C.; Ghannoum, O.; Tissue, D.T.; Chen, Z.-H. Light-Altering Cover Materials and Sustainable Greenhouse Production of Vegetables: A Review. Plant Growth Regul. 2021, 95, 1–17. [Google Scholar] [CrossRef]
- Ifeanyi, A.; Isherwood, P.; Abdul-Lateef, A.O. A Study of Copper–Tungsten Oxide Materials for Photovoltaic Application. World J. Eng. 2021. [Google Scholar] [CrossRef]
- Wang, D.; Liu, H.; Li, Y.; Zhou, G.; Zhan, L.; Zhu, H.; Lu, X.; Chen, H.; Li, C.-Z. High-Performance and Eco-Friendly Semitransparent Organic Solar Cells for Greenhouse Applications. Joule 2021, 5, 945–957. [Google Scholar] [CrossRef]








| Waste Material Type | Calculated Emission Factor | Literature Emission Factors | |||
|---|---|---|---|---|---|
| Gross kgCO2e/t | Net kgCO2e/t | No. of Reference Studies | Range kgCO2e/t | Average ± St. Dev. kgCO2e/t | |
| Green glass | 395 | −314 | 6 | −762 to −201 | −417 ± 176 |
| Brown glass | 395 | −314 | 6 | −762 to −201 | −417 ± 176 |
| Clear glass | 395 | −314 | 6 | −762 to −201 | −417 ± 176 |
| Mixed glass | 395 | −314 | 6 | −762 to −201 | −417 ± 176 |
| Paper | 1576 | −459 | 7 | −3891 to 390 | −1195 ± 1303 |
| Mixed plastics | 339 | −1024 | 6 | −2324 to 1470 | −788 ± 1007 |
| Mixed plastic bottles | 336 | −1084 | 5 | −2324 to 1470 | −922 ± 1321 |
| Polyethylene terephthalate | 155 | −2192 | 6 | −2324 to −566 | −1570 ± 600 |
| High-density polyethylene | 379 | −1149 | 5 | −2324 to −253 | −1055 ± 792 |
| Polyvinyl chloride | 379 | −1549 | 3 | −2324 to −566 | −1259 ± 936 |
| Low-density polyethylene | 29 | −972 | 4 | −1586 to −850 | −744 ± 981 |
| Polypropylene | 379 | −1184 | 3 | −2324 to −566 | −1279 ± 925 |
| Wood | 502 | −444 | 5 | −2712 to 1 | −619 ± 882 |
| Chipboard & MDF | 502 | −444 | 5 | −2723 to 1 | −620 ± 886 |
| Composite wood materials | 502 | −444 | 3 | −1266 to 1 | −357 ± 431 |
| Soil | 41 | 27 | 2 | −2 to 2 | 0 ± 2 |
| Plasterboard | 59 | 4 | 2 | −139 to 33 | −53 ± 122 |
| Paint | 364 | 86 | 1 | – | −2840 |
| Name of Smart Material | Advantages | Disadvantage |
|---|---|---|
| Piezoelectric materials | High sensitivity and stability | Not used for static measurements |
| Magnetostrictive materials | High energy density, Intrinsic robustness | The intricacy of material gets increased. Enough experimental evidence was not found |
| Rheological materials | Application of electric or magnetic field changes its physical state | Not easily available to work with |
| Thermo-responsive materials | Change physical property when exposed to temperature variation | Costly |
| Electrochromic materials | Change of optical properties when an electric current is passed | low coloration efficiency and durability |
| Fullerenes | Highly stable, versatile in nature | health and environmental impacts |
| Biomimetic materials | Strength, camouflage, waterproofing | Poor abrasion resistance, sensitivity to moisture |
| Graphite Fibers | Excellent tensile strength, low coefficient of thermal expansion | Break when compressed, machining weakens the GF |
| Transparent Aluminum | High strength | Minimizing impurities, eliminating micropores, controlling grain boundaries |
| Transparent concrete | Transmit light effectively, environment friendly | High initial cost, casting is difficult |
| Self-healing coating | Self-healing, reconstruct and repair itself | High-viscosity resin should not be used, time-consuming |
| Shape memory metals | Elastic in nature, high strength | Costly to machine and manufacture |
| Aerogels | Efficient and adaptable highly porous solid or semisolid materials used in place of insulation | Clarity is low, reduced surface area |
| Self-sensing concrete | Detect a small change in strain and stress | Inability to detect early stage of damage |
| Smart bricks | Detect stress, sound levels, chemical changes, moisture content, types of forces and vibration. | Issues of maintenance and durability, expensive. |
| Smart wrap | High strength | Technology is in the initial stage |
| Temperature control | ||
| Smart Glass | Modify the amount of light and heat, cost-effective | High initial cost |
| Phase change material | Absorbs or releases latent heat, saves energy | Costly, compatibility with the material needs to be identified |
Disclaimer/Publisher’s Note: The statements, opinions and data contained in all publications are solely those of the individual author(s) and contributor(s) and not of MDPI and/or the editor(s). MDPI and/or the editor(s) disclaim responsibility for any injury to people or property resulting from any ideas, methods, instructions or products referred to in the content. |
© 2023 by the authors. Licensee MDPI, Basel, Switzerland. This article is an open access article distributed under the terms and conditions of the Creative Commons Attribution (CC BY) license (https://creativecommons.org/licenses/by/4.0/).
Share and Cite
Maraveas, C.; Kotzabasaki, M.I.; Bayer, I.S.; Bartzanas, T. Sustainable Greenhouse Covering Materials with Nano- and Micro-Particle Additives for Enhanced Radiometric and Thermal Properties and Performance. AgriEngineering 2023, 5, 1347-1377. https://doi.org/10.3390/agriengineering5030085
Maraveas C, Kotzabasaki MI, Bayer IS, Bartzanas T. Sustainable Greenhouse Covering Materials with Nano- and Micro-Particle Additives for Enhanced Radiometric and Thermal Properties and Performance. AgriEngineering. 2023; 5(3):1347-1377. https://doi.org/10.3390/agriengineering5030085
Chicago/Turabian StyleMaraveas, Chrysanthos, Marianna I. Kotzabasaki, Ilker S. Bayer, and Thomas Bartzanas. 2023. "Sustainable Greenhouse Covering Materials with Nano- and Micro-Particle Additives for Enhanced Radiometric and Thermal Properties and Performance" AgriEngineering 5, no. 3: 1347-1377. https://doi.org/10.3390/agriengineering5030085
APA StyleMaraveas, C., Kotzabasaki, M. I., Bayer, I. S., & Bartzanas, T. (2023). Sustainable Greenhouse Covering Materials with Nano- and Micro-Particle Additives for Enhanced Radiometric and Thermal Properties and Performance. AgriEngineering, 5(3), 1347-1377. https://doi.org/10.3390/agriengineering5030085

