Optimizing Energy Consumption in Agricultural Greenhouses: A Smart Energy Management Approach
Abstract
1. Introduction
1.1. Background and Motivations
1.2. Literature Review of Energy Management in GHs
- Enhancing Resource Utilization and Adaptability: Smart EMSs in GH operations offer precise control over resource utilization, aligning energy consumption with actual needs. This ensures that resources, including electricity and heating, are employed efficiently, minimizing waste and reducing operational costs. Additionally, one of the key advantages of smart systems lies in their ability to adapt dynamically to changing environmental conditions. Utilizing real-time data and predictive algorithms, these systems adjust energy usage based on factors such as temperature, humidity, and sunlight, optimizing GH operations under varying circumstances [10,11].
- Optimized Crop Growth and Yield: Smart EMSs contributes to optimized crop growth by tailoring environmental conditions to the specific needs of plants. Studies by Li et al. [12] emphasize the positive impact of smart systems on crop yield, as they provide precise control over factors like temperature, light, and CO2 levels.
- Mitigation of Energy Price Volatility: The integration of optimization strategies provides a level of independence from external energy grids, mitigating the impact of energy price volatility. This is particularly crucial for GH operators, as it ensures stable and predictable energy costs, contributing to long-term financial planning [17].
- Real-Time Monitoring and Control: Smart systems enable real-time monitoring and control of energy usage, allowing GH operators to respond promptly to fluctuations in demand or unforeseen events. This proactive approach enhances overall system resilience and reliability, crucial for the continuous and uninterrupted functioning of GH facilities [18].
- Integration of Machine Learning for Predictive Analysis: Machine learning algorithms, integrated into smart EMSs, offer the capability for predictive analysis. By learning from historical data and environmental patterns, these systems can anticipate future energy requirements, optimizing energy distribution and storage within the GH [19].
- Improved Operational Efficiency: The precise control afforded by smart systems translates into improved operational efficiency. Through the automation of energy-intensive processes, such as heating and cooling, these systems reduce manual intervention, allowing GH operators to focus on strategic decision-making and crop management [10,20].
- Technological Innovation and Industry Leadership: GH operators adopting smart EMSs position themselves as industry leaders in technological innovation. By embracing cutting-edge solutions, these operators contribute to the advancement of sustainable agricultural practices and set a benchmark for others in the sector [21].
- How can the integration of solar energy be optimized to reduce dependence on conventional power grids and enhance the overall environmental sustainability of greenhouse operations?
- What are the key advantages and potential challenges associated with the implementation of a smart EMS in the context of greenhouse energy optimization, particularly in comparison to traditional optimization approaches?
- How can the identification and optimization of hyperparameters, such as plateau time, prediction time, and optimization time during a day, contribute to the adaptability and efficiency of a smart EMSs for greenhouse energy management?
- What are the specific findings or quantitative metrics that support the claim of improved energy consumption and operational efficiency achieved through the proposed multi-objective optimization approach tailored for greenhouse energy management?
1.3. Motivation and Main Contributions
- Multi-Objective Optimization for GH Energy Management: This paper presents an innovative multi-objective optimization method aimed at concurrently minimizing grid energy consumption and maximizing the SOC of a battery within a specified period. This approach ensures comprehensive and efficient utilization of energy resources in GH operations.
- Integration of Solar Energy: A significant contribution lies in the integration of solar energy as a primary source within the proposed EMS. By harnessing the constant and sustainable nature of solar energy, the system aims to reduce dependence on conventional power grids, thereby enhancing the overall environmental sustainability of GH operations.
- Smart EMS: This paper introduces and assesses the effectiveness of a smart EMS in the context of GH energy optimization. This involves the use of advanced algorithms, including machine learning and predictive analytics, to adaptively manage energy consumption based on dynamic environmental conditions. This sets it apart from traditional optimization approaches and contributes to more intelligent and responsive EMSs.
- Identification and Optimization of Hyperparameters: This study identifies and optimizes crucial hyperparameters essential for the success of the proposed EMS. Parameters such as the plateau time, prediction time, and optimization time during a day are determined using the ellipse optimization method. This optimization process enhances the adaptability and efficiency of the system, ensuring optimal performance under varying conditions.
- Simplifying the objective function and restricting the decision variables to independent ones.
- Defining the hyperparameters and determining their optimal values.
- Accounting for uncertainty in the predicted values of Ppv and load power.
- Incorporating natural effects such as partial shading.
- Updating the advanced predicted Ppv throughout the day.
1.4. Paper Structure
2. Problem Definition and Methodology
2.1. Objective Function for Multi-Objective Optimization
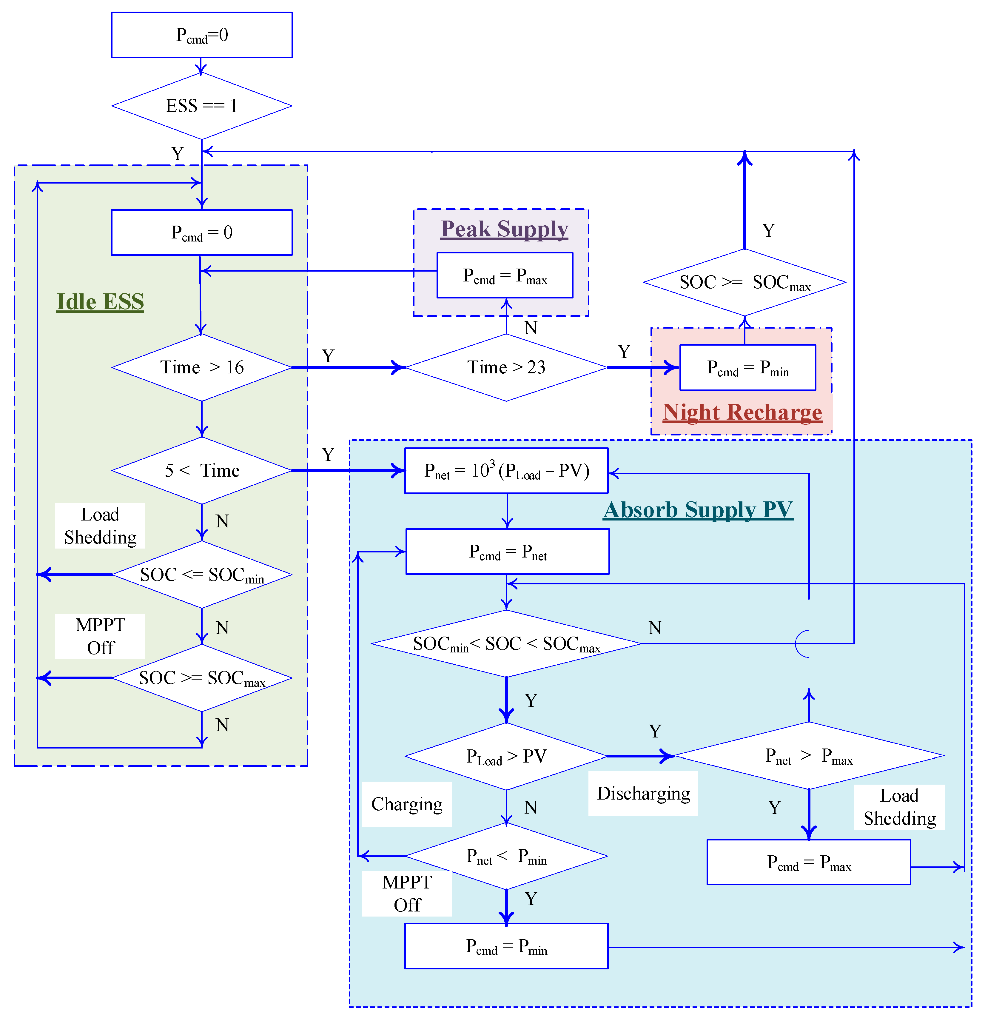
2.2. Energy Management System (EMS)
- -
- “fmincon”: used to find the minimum of a constrained nonlinear multivariable function.
- -
- “fminimax”: employed to solve a minimax constraint problem.
- -
- “solve”: utilized to address optimization problems or equation problems.
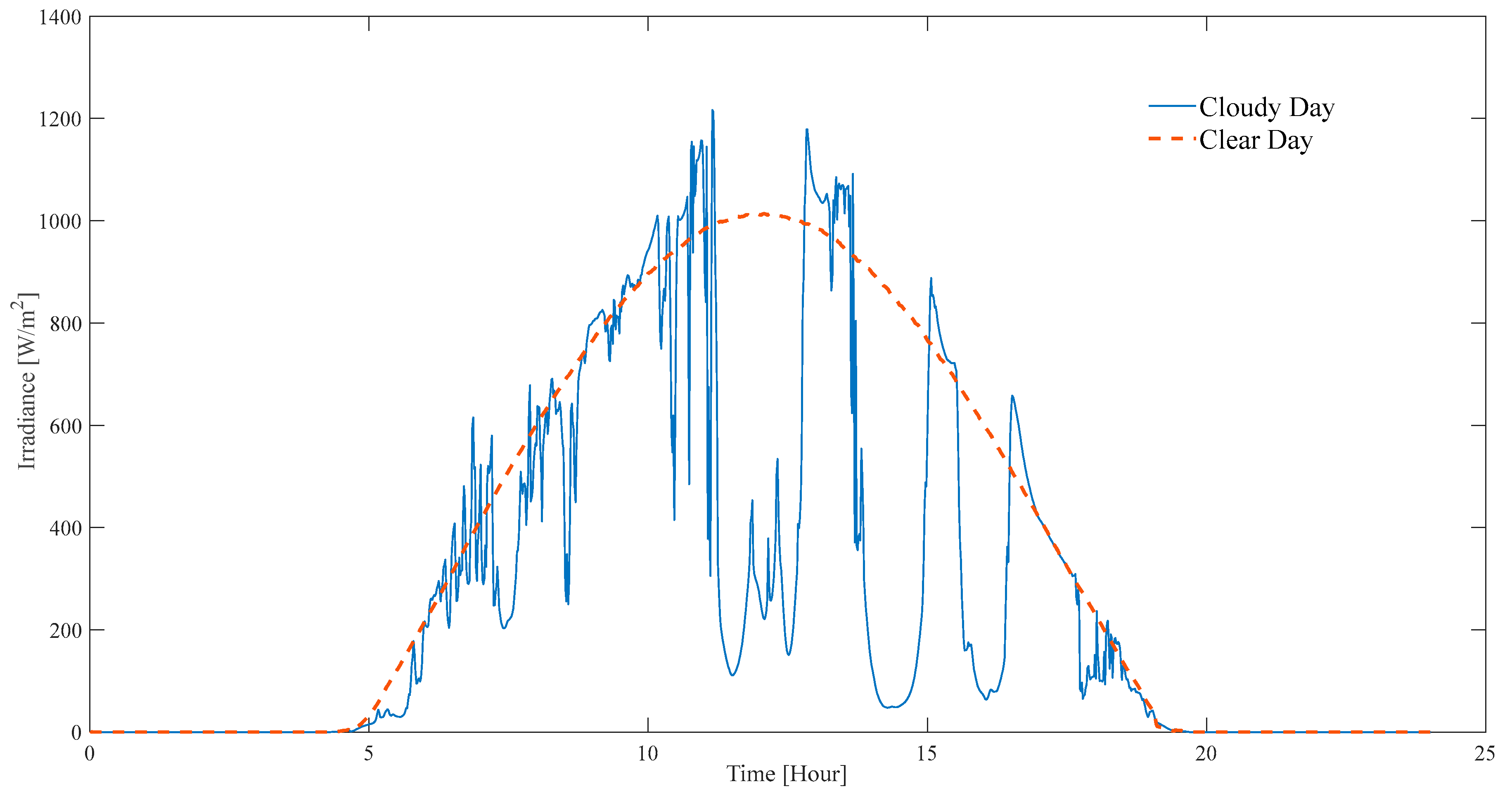
3. Simulation Results
- Case 1: Ppv prediction is almost correct. For optimization, initial Ppv prediction is used.
- Case 2: Ppv prediction is not correct. For optimization, initial Ppv prediction is used.
- Case 3: Ppv prediction is not correct. For optimization, updated Ppv prediction is used.
4. Discussion
5. Conclusions
Author Contributions
Funding
Data Availability Statement
Acknowledgments
Conflicts of Interest
References
- Jamshidi, F.; Salehizadeh, M.R.; Yazdani, R.; Azzopardi, B.; Jately, V. An Improved Sliding Mode Controller for MPP Tracking of Photovoltaics. Energies 2023, 16, 2473. [Google Scholar] [CrossRef]
- Fathi, M.; Ghiasi, M. Optimal DG Placement to Find Optimal Voltage Profile Considering Minimum DG Investment Cost in Smart Neighborhood. Smart Cities 2019, 2, 328–344. [Google Scholar] [CrossRef]
- Kolagar, M. Adherence to urban agriculture in order to reach sustainable cities; a BWM–WASPAS approach. Smart Cities 2019, 2, 31–45. [Google Scholar] [CrossRef]
- Anser, M.K.; Khan, M.A.; Nassani, A.A.; Aldakhil, A.M.; Hinh Voo, X.; Zaman, K. Relationship of environment with technological innovation, carbon pricing, renewable energy, and global food production. Econ. Innov. New Technol. 2021, 30, 807–842. [Google Scholar] [CrossRef]
- Ghiasi, M.; Wang, Z.; Mehrandezh, M.; Paranjape, R. A Systematic Review of Optimal and Practical Methods in Design, Construction, Control, Energy Management and Operation of Smart Greenhouses. IEEE Access 2024, 12, 2830–2853. [Google Scholar] [CrossRef]
- Smith, D.; Taylor-Curran, H.; Barkwith, A.; Thomas, R.L.; Kirk, K.; Hannis, S.; Shorter, K.; Walker-Verkuil, K. Applying ground gas and gas flux monitoring techniques to low-enthalpy, shallow geothermal energy exploration. Geothermics 2021, 97, 102251. [Google Scholar] [CrossRef]
- Wang, K.; Yuan, B.; Ji, G.; Wu, X. A comprehensive review of geothermal energy extraction and utilization in oilfields. J. Pet. Sci. Eng. 2018, 168, 465–477. [Google Scholar] [CrossRef]
- Li, X.; Wang, S. Energy management and operational control methods for grid battery energy storage systems. CSEE J. Power Energy Syst. 2019, 7, 1026–1040. [Google Scholar]
- Chen, C.; Nelson, H.; Xu, X.; Bonilla, G.; Jones, N. Beyond technology adoption: Examining home energy management systems, energy burdens and climate change perceptions during COVID-19 pandemic. Renew. Sustain. Energy Rev. 2021, 145, 111066. [Google Scholar] [CrossRef]
- Park, D.-H.; Park, J.-W. Wireless sensor network-based greenhouse environment monitoring and automatic control system for dew condensation prevention. Sensors 2011, 11, 3640–3651. [Google Scholar] [CrossRef]
- Ding, Y.; Wang, L.; Li, Y.; Li, D. Model predictive control and its application in agriculture: A review. Comput. Electron. Agric. 2018, 151, 104–117. [Google Scholar] [CrossRef]
- Sofwan, A.; Sumardi, S.; Ahmada, A.I.; Ibrahim, I.; Budiraharjo, K.; Karno, K. Smart greetthings: Smart greenhouse based on Internet of Things for environmental engineering. In Proceedings of the 2020 International Conference on Smart Technology and Applications (ICoSTA), Surabaya, Indonesia, 20 February 2020; pp. 1–5. [Google Scholar]
- Cuce, E.; Harjunowibowo, D.; Cuce, P.M. Renewable and sustainable energy saving strategies for greenhouse systems: A comprehensive review. Renew. Sustain. Energy Rev. 2016, 64, 34–59. [Google Scholar] [CrossRef]
- Ghiasi, M.; Dehghani, M.; Niknam, T.; Siano, P.; Haes Alhelou, H. A Detailed Analysis of the Barriers of Using Renewable Energies and Their Roles in Sustainable Development in Iran. In Handbook of Smart Energy Systems; Fathi, M., Zio, E., Pardalos, P.M., Eds.; Springer International Publishing: Cham, Switzerland, 2022; pp. 1–24. [Google Scholar]
- Tzounis, A.; Katsoulas, N.; Bartzanas, T.; Kittas, C. Internet of Things in agriculture, recent advances and future challenges. Biosyst. Eng. 2017, 164, 31–48. [Google Scholar] [CrossRef]
- Ghiasi, M.; Ahmed, F.; Paranjape, R.; Wang, Z.; Mehrandezh, M. A Comparative Analysis for Control of Heating and Cooling Systems of a Real Office Building with TRNSYS. In Proceedings of the 2023 IEEE Canadian Conference on Electrical and Computer Engineering (CCECE), Regina, SK, Canada, 24–27 September 2023; pp. 1–6. [Google Scholar]
- Karimi, H.; Jadid, S.; Hasanzadeh, S. Optimal-sustainable multi-energy management of microgrid systems considering integration of renewable energy resources: A multi-layer four-objective optimization. Sustain. Prod. Consum. 2023, 36, 126–138. [Google Scholar] [CrossRef]
- Bersani, C.; Ouammi, A.; Sacile, R.; Zero, E. Model predictive control of smart greenhouses as the path towards near zero energy consumption. Energies 2020, 13, 3647. [Google Scholar] [CrossRef]
- Cai, W.; Wen, X.; Tu, Q. Designing an intelligent greenhouse monitoring system based on the Internet of Things. Appl. Ecol. Environ. Res. 2019, 17, 8449–8464. [Google Scholar] [CrossRef]
- Ghiasi, M.; Wang, Z.; Mehrandezh, M.; Jalilian, S.; Ghadimi, N. Evolution of smart grids towards the Internet of energy: Concept and essential components for deep decarbonisation. IET Smart Grid 2023, 6, 86–102. [Google Scholar] [CrossRef]
- Mellit, A.; Benghanem, M.; Herrak, O.; Messalaoui, A. Design of a novel remote monitoring system for smart greenhouses using the internet of things and deep convolutional neural networks. Energies 2021, 14, 5045. [Google Scholar] [CrossRef]
- Rajabzadeh, M.; Fatorachian, H. Modelling Factors Influencing IoT Adoption: With a Focus on Agricultural Logistics Operations. Smart Cities 2023, 6, 3266–3296. [Google Scholar] [CrossRef]
- Ghiasi, M.; Wang, Z.; Mehrandezh, M.; Paranjape, R. Integrating Solar-Collector and Biomass Heating Systems for Sustainable Greenhouse Agriculture. In Proceedings of the IEEE International Conference on Energy Technologies for Future Grids (IEEE ETFG 2023), Wollongong, Australia, 3–6 December 2023. [Google Scholar]
- Hoang, K.D.; Lee, H.-H. State of Charge Balancing for Distributed Battery Units Based on Adaptive Virtual Power Rating in a DC Microgrid. J. Electr. Eng. Technol. 2020, 15, 2121–2131. [Google Scholar] [CrossRef]
- Aziz, M.; Oda, T.; Mitani, T.; Watanabe, Y.; Kashiwagi, T. Utilization of electric vehicles and their used batteries for peak-load shifting. Energies 2015, 8, 3720–3738. [Google Scholar] [CrossRef]
- Yu, D.; Zhang, T.; He, G.; Nojavan, S.; Jermsittiparsert, K.; Ghadimi, N. Energy management of wind-PV-storage-grid based large electricity consumer using robust optimization technique. J. Energy Storage 2020, 27, 101054. [Google Scholar] [CrossRef]
- Molla, T.; Khan, B.; Moges, B.; Alhelou, H.H.; Zamani, R.; Siano, P. Integrated optimization of smart home appliances with cost-effective energy management system. CSEE J. Power Energy Syst. 2019, 5, 249–258. [Google Scholar] [CrossRef]
- Slob, N.; Hurst, W. Digital Twins and Industry 4.0 Technologies for Agricultural Greenhouses. Smart Cities 2022, 5, 1179–1192. [Google Scholar] [CrossRef]
- Gonzalez-Gil, P.; Martinez, J.A.; Skarmeta, A. A Prosumer-Oriented, Interoperable, Modular and Secure Smart Home Energy Management System Architecture. Smart Cities 2022, 5, 1054–1078. [Google Scholar] [CrossRef]
- Mathworks. Microgrid System Development and Analysis. 2023. Available online: https://www.mathworks.com/videos/series/microgrid-system-development-and-analysis.html (accessed on 25 March 2024).
- Ghadimi, N.; Yasoubi, E.; Akbari, E.; Sabzalian, M.H.; Alkhazaleh, H.A.; Ghadamyari, M. SqueezeNet for the forecasting of the energy demand using a combined version of the sewing training-based optimization algorithm. Heliyon 2023, 9, e16827. [Google Scholar] [CrossRef] [PubMed]
- Ziapour, B.M.; Hashtroudi, A. Performance study of an enhanced solar greenhouse combined with the phase change material using genetic algorithm optimization method. Appl. Therm. Eng. 2017, 110, 253–264. [Google Scholar] [CrossRef]
- Adetoro, S.A.; Olatomiwa, L.; Tsado, J.; Dauda, S.M. A comparative analysis of the performance of multiple meta-heuristic algorithms in sizing hybrid energy systems connected to an unreliable grid. e-Prime-Adv. Electr. Eng. Electron. Energy 2023, 4, 100140. [Google Scholar] [CrossRef]
- Adesanya, M.A.; Na, W.-H.; Rabiu, A.; Ogunlowo, Q.O.; Akpenpuun, T.D.; Rasheed, A.; Yoon, Y.-C.; Lee, H.-W. TRNSYS simulation and experimental validation of internal temperature and heating demand in a glass greenhouse. Sustainability 2022, 14, 8283. [Google Scholar] [CrossRef]


















| Definition | Stands for | Read |
|---|---|---|
| HEMS | Home EMS | “hemz”. |
| BEMS | Building EMS | “bemz”. |
| FEMS | Factory EMS | “fems”. |
| CEMS | Cluster/Community EMS | “sems”. |
| Load # | Execution Time [s] | fobj × 102 | Final SOC [%] | Total Grid Power × 105 W | |
|---|---|---|---|---|---|
| Traditional | 1 | 2.7198 | 27.268 | 31.117 | 7.7225 |
| 2 | 2.37 | 15.203 | 31.117 | 7.7225 | |
| 3 | 3.0959 | 12.463 | 31.117 | 7.7225 | |
| 4 | 2.6849 | 11.832 | 31.117 | 7.7225 | |
| Smart | 1 | 19.578 | 13.544 | 19.988 | 10.252 |
| 2 | 14.581 | 7.5281 | 19.988 | 7.7079 | |
| 3 | 12.745 | 6.1231 | 19.988 | 7.7163 | |
| 4 | 13.604 | 5.8376 | 19.988 | 4.2615 |
| Load # | Scenario Type | Execution Time [s] | fobj | Final SOC [%] | Total Grid Power × 105 W |
|---|---|---|---|---|---|
| 1 | Tolerated | 32.324 | 13.534 | 19.988 | 18.892 |
| Nominal | 11.344 | 13.544 | 19.988 | 10.252 | |
| 2 | Tolerated | 28.639 | 7.5014 | 19.988 | 10.710 |
| Nominal | 12.036 | 7.5281 | 19.988 | 7.7079 | |
| 3 | Tolerated | 31.705 | 6.1091 | 19.988 | 8.2816 |
| Nominal | 11.605 | 6.1231 | 19.988 | 7.7163 | |
| 4 | Tolerated | 30.832 | 5.8210 | 19.988 | 6.7372 |
| Nominal | 11.108 | 5.8376 | 19.988 | 4.2615 |
| Load # | Scenario Type | Execution Time [s] | fobj × 102 | Total Battery Power × 105 W | Total Grid Power × 105 W |
|---|---|---|---|---|---|
| 1 | Nominal | 13.257 | 13.538 | 1.4670 | 16.987 |
| Partial Shading | 13.221 | 13.908 | 2.5270 | 18.754 | |
| 2 | Nominal | 13.191 | 7.5013 | 7.7943 | 12.103 |
| Partial Shading | 12.980 | 7.8723 | 7.7484 | 12 | |
| 3 | Nominal | 13.030 | 6.1090 | 0.97056 | 5.1738 |
| Partial Shading | 13.128 | 6.4824 | 6.9664 | 8.5215 | |
| 4 | Nominal | 13.332 | 5.8193 | 0.15922 | 4.1085 |
| Partial Shading | 12.852 | 6.1933 | 7.7911 | 7.9544 |
| Case # | Optimization Time Step (Min) | fobj | Execution Time (s) |
|---|---|---|---|
| 1 | 60 | 908.3254 | 1407.4782 |
| 120 | 878.2173 | 624.8655 | |
| 180 | 838.1195 | 412.1138 | |
| 360 | 772.5345 | 179.6685 | |
| 2 | 60 | 1004.5173 | 1357.2318 |
| 120 | 940.4602 | 568.5837 | |
| 180 | 817.5045 | 376.1011 | |
| 360 | 882.9894 | 153.232 | |
| 3 | 60 | 809.2109 | 2738.9725 |
| 120 | 842.6315 | 560.1691 | |
| 180 | 692.7327 | 368.921 | |
| 360 | 868.8008 | 239.0841 |
| Metric | Current Paper | Reference [32] | Reference [33] | Reference [34] |
|---|---|---|---|---|
| Objective function improvement (%) | >50% | 30% | 40% | 25% |
| Adaptability to environmental factors | High | Moderate | Low | Moderate |
| Simulation platform | Simulink/MATLAB | Energy-Plus | HOMER | TRNSYS |
| Decision variables | Network Power, Battery Power, Battery Energy | HVAC Power, Battery Capacity | Solar Power, Battery Energy | Heating Power, Storage Level |
| Optimization approach | Modified Multi-Objective Ellipse Optimization Method | GA | PSO | Linear Programming |
| Hyperparameters | Plateau Time, Prediction Time, Optimization Time | Crossover Rate, Mutation Rate | Swarm Size, Inertia Weight | Time Step, Convergence Limit |
| Simulation robustness | Confirmed under varying conditions (partial shading, load variations) | Not explicitly addressed | Limited validation under different conditions | Limited validation under different conditions |
Disclaimer/Publisher’s Note: The statements, opinions and data contained in all publications are solely those of the individual author(s) and contributor(s) and not of MDPI and/or the editor(s). MDPI and/or the editor(s) disclaim responsibility for any injury to people or property resulting from any ideas, methods, instructions or products referred to in the content. |
© 2024 by the authors. Licensee MDPI, Basel, Switzerland. This article is an open access article distributed under the terms and conditions of the Creative Commons Attribution (CC BY) license (https://creativecommons.org/licenses/by/4.0/).
Share and Cite
Jamshidi, F.; Ghiasi, M.; Mehrandezh, M.; Wang, Z.; Paranjape, R. Optimizing Energy Consumption in Agricultural Greenhouses: A Smart Energy Management Approach. Smart Cities 2024, 7, 859-879. https://doi.org/10.3390/smartcities7020036
Jamshidi F, Ghiasi M, Mehrandezh M, Wang Z, Paranjape R. Optimizing Energy Consumption in Agricultural Greenhouses: A Smart Energy Management Approach. Smart Cities. 2024; 7(2):859-879. https://doi.org/10.3390/smartcities7020036
Chicago/Turabian StyleJamshidi, Fatemeh, Mohammad Ghiasi, Mehran Mehrandezh, Zhanle Wang, and Raman Paranjape. 2024. "Optimizing Energy Consumption in Agricultural Greenhouses: A Smart Energy Management Approach" Smart Cities 7, no. 2: 859-879. https://doi.org/10.3390/smartcities7020036
APA StyleJamshidi, F., Ghiasi, M., Mehrandezh, M., Wang, Z., & Paranjape, R. (2024). Optimizing Energy Consumption in Agricultural Greenhouses: A Smart Energy Management Approach. Smart Cities, 7(2), 859-879. https://doi.org/10.3390/smartcities7020036

