Next Article in Journal
Optimal Water Management Strategies: Paving the Way for Sustainability in Smart Cities
Previous Article in Journal
Multiple Linear Regression and Machine Learning for Predicting the Drinking Water Quality Index in Al-Seine Lake
 
 
Font Type:
Arial Georgia Verdana
Font Size:
Aa Aa Aa
Line Spacing:
Column Width:
Background:
Article

Train to Vehicle: Toward Sustainable Transportation in Dense Urban Regions

Department of Electrical Engineering, Grove School of Engineering, City College of the City University of New York, New York, NY 10031, USA
*
Author to whom correspondence should be addressed.
Smart Cities 2023, 6(5), 2828-2848; https://doi.org/10.3390/smartcities6050127
Submission received: 6 September 2023 / Revised: 2 October 2023 / Accepted: 10 October 2023 / Published: 16 October 2023

Abstract

:
This article investigates the feasibility of using regenerative energy from braking trains to charge electric buses in the context of New York City’s (NYC) subway and electric bus networks. A case study centered around NYC’s system has been performed to evaluate the benefits and challenges pertaining to the use of the preexisting subway network as a power supply for its new all-electric buses. The analysis shows that charging electric buses via the subway system during subway off-peak periods does not hinder regular train operation. In addition, having the charging electric buses connected to the third rail allows for more regenerative braking energy (RBE) to be recuperated, decreasing the energy wasted throughout the system. It was also found that including a wayside energy storage system (WESS) reduces the overall substation peak power consumption.

1. Introduction

Electric railway systems play a significant role when it comes to energy consumption as their primary source of generation is still the burning of fossil fuels within power plants. These power plants contribute to over 40% of worldwide carbon dioxide (CO2) emissions, totaling over 34 billion tonnes per year [1]. The transportation sector itself is responsible for over 20% of CO2 emissions, with rail transport in particular being responsible for over 3% [2]. With rapid developments in urban rail transit leading to further increases in energy demand, improving energy efficiency and reducing energy consumption have become top-priority challenges in the transportation sector around the world. The main goal is to achieve sustainable mobility in such a way that the ecosystem can regenerate, reducing reliance on fossil fuel-based power plants. Some attention has shifted towards regenerative braking technology that is available on most modern-day train cars as a means to reduce overall energy consumption.
In an urban railway network, trains accelerate and brake frequently, transferring large amounts of energy when doing so. With regenerative braking capability, the traction motors propelling a train act as generators during deceleration (braking). The motors convert mechanical energy back into electrical energy, using it to power onboard auxiliary loads, before sending it back to the power supply (e.g., the third rail, as in NYC). Not only does this lead to voltage fluctuations, but any energy unused along the way is wasted through thermal dissipation. Current utilization of RBE in NYC’s subway system is relatively low (~8–9%) as there exists no means to actively manage its transfer, i.e., to store it for later use or direct it to an adjacent load [3].
Several studies have been carried out to increase the amount of energy that can be recuperated from braking trains. The main goal of these studies has been to improve overall energy efficiency, mainly through the use of energy storage systems (ESSs); the introduction of alternative reversible paths to the main power supply (reversible substations); or the inclusion of alternate adjacent loads (e.g., electric vehicles).
ESSs provide a means to store energy to be used at a different time. When placed in such an application, they can allow excess RBE to be stored and not wasted. One example of such an application is on London Underground’s Piccadilly line, where voltage fluctuations were measured to be between 450 VDC and 880 VDC, mainly due to the regenerative braking capability of trains. For one week in October 2000, a trackside flywheel energy storage system (FESS) was installed, and where it was initially only possible to transfer 14% of RBE, the FESS allowed it to be increased up to 30%. However, the total energy produced by braking trains exceeded the 300 kW capacity of the FESS. Therefore, the manufacturer estimated that a 1 MW flywheel installation (similar to the one presented in the case study later on) would be more appropriate. With the 1 MW FESS, the manufacturer estimated that energy consumption could be reduced by up to 26%, saving up to £50,000. The FESS would cost £210,000 plus an annual operating and maintenance cost of £2500, equating to an estimated payback period of approximately five years. Similarly, in 2002, Madrid de Metro faced voltage drops from their ideal 600 VDC down to 470 VDC, and, therefore, invested in an ultracapacitor energy storage system to maximize the benefits of available RBE. Field tests showed 30% in power savings and a reduction in voltage drops below 530 VDC. Energy consumption was able to be reduced by about 65 kWh per hour, or about 320 MWh per year, leading to annual savings of ~$32,000 [4].
In addition to wayside energy storage, onboard (i.e., on the train itself) mounting of ESSs has also begun. For example, Japan’s N700S series of high-speed trains, which normally rely on overhead catenary lines, now come equipped with 83 kWh lithium-ion batteries designed for emergency rescue procedures [5]. Germany’s Deutsche Bahn has also begun equipping their passenger trains with 300 kWh batteries for improved sustainability [6]. However, not all systems can accommodate onboard deployment due to the increase in cost (especially for battery systems) and weight. Any increase in weight can compromise the design intent of passenger trains, taking over the space otherwise meant for passengers. Onboard ESS mounting in NYC’s subway system has mostly been avoided as the transit authority is already in the process of removing seating at the end of each car to create enough space for additional passengers. This would allow 8–10 more people in each car, totaling up to 100 extra riders per train [7].
In most traditional railway infrastructure, the electrical path to provide power to each train is primarily unidirectional, meaning energy cannot be sent back to the power supply. This is also why the third rail voltage rises in NYC when RBE is pushed into it, as the energy cannot flow back through traction substation rectifiers. The third rail is what provides the 650 VDC to accommodate each train’s propulsion and auxiliary needs. With advancements in switching systems (transistors), a reverse path can be provided to allow bidirectional exchange between both the AC and DC sides of the railway power distribution network. Inverters can work in parallel with the diode-based rectifiers already present to reduce power consumption. One such study performed by members of France’s SNCF railway company used a quasi-static model of their electric railway system, consisting of a traction substation and a train nearby. With the introduction of bidirectional inverters into the network, the study concluded that up to 20% of a train’s traction energy could be recovered via regenerative braking [8].
Providing an immediate sink for excess energy, i.e., another load present, allows energy to be reused immediately. Coupling that with energy storage provides flexibility in load management. A study performed by members of the Electrical Engineering Department at the Sapienza University of Rome used deterministic–probabilistic models to simulate the inclusion of a stationary ESS (battery), as well as adjacent electric vehicle loads (cars and buses), to help manage large energy transfers within Rome’s metro-transit system. There, it was concluded that 30–38% of traction energy could be recovered [9].
Since energy consumption in substations is sensitive to the no-load voltage during operation, it has also been proposed to increase the voltage (to a still-acceptable value) via substation transformer tap changers. However, this reduces the system’s capacity to absorb regenerative energy, which can lead to inefficient energy consumption figures, especially during off-peak hours [10]. This could also be troublesome when connecting ESSs as their set-voltage limits may need constant updates. Additional theoretical methods include a unique study performed by members of the Electrical Engineering Department at the University of Birmingham, U.K., which proposed a computational algorithm to increase the total generated RBE via a “blended braking mode”, where both electrical and mechanical forces would work together, as trains would no longer decelerate at a constant braking rate, but brake optimally following a desired trajectory. With comparable total brake times, incremental recovery rates of up to 17% were achieved [11].
For regenerative braking to enable the most savings without reversible substations or the use of ESSs, a second train (a form of adjacent load) should be nearby, accelerating in the same section of the system and during the first train’s regeneration cycle. Regenerative energy can then be drawn by the second train, easing demand from the source substation that would otherwise normally provide for that second train. Scheduling trains for this to occur, a process called Train Timetable Optimization, shows that up to 14% in energy savings can be achieved with proper scheduling [12,13]. However, train timetable optimization is not currently feasible for several systems, such as that of NYC, due to block signaling, operational delays, and frequent start/stop cycles. Therefore, another adjacent load, i.e., a charging electric vehicle drawing off of the same substation, may be more feasible.
As mentioned before, the transportation sector exists as a major source of emissions; hence, plans to combat global warming and reduce greenhouse emissions include aggressive vehicle electrification targets, not pertaining to just railway systems. With the ongoing shift from gas-powered to electric-powered vehicles, charging equipment/infrastructures are poised to strain the power grid. Therefore, practical ideas and approaches to mitigate the impact of vehicle electrification on the power grid are very much needed. In the proposed network, electric vehicles, in particular electric buses, are fed by the third rail (i.e., the same power supply for NYC subway trains) during off-peak hours. Not only does this provide a sink for RBE, but the impact of electric bus charging on the power grid is also mitigated.
Electric buses offer zero-emission energy consumption, quieter operation, and better acceleration compared to traditional buses. Propulsion is delivered through electric motors, which obtain their energy through onboard batteries, normally charged by connecting to the power grid. The batteries can be charged via equipment that can be strategically located as desired and the central hypothesis of this article is that the use of preexisting railway infrastructure to provide electric bus charging energy will result in the best benefits to both systems involved. The focus here is on the public bus fleet as there already exists a large number of electric buses, which can make a significant impact towards electrification goals; bus fleet electrification plans already in place; and the fact that both the subway system and public bus fleet are owned and operated by the same transit agency, which makes this proposal practical from a regulation perspective.
This article is organized as follows: Section 2 describes the NYC subway system, Section 3 describes NYC’s new all-electric bus operations, Section 4 presents a case study simulating the proposed application, and Section 5 provides a conclusion.

2. MTA New York City Transit

2.1. The NYC Subway System

The transit agency this article focuses on is the New York City Metropolitan Transportation Authority (MTA). The MTA consumes approximately 2150 GWh of electrical energy per year for traction power, making it one of the biggest consumers of electricity on the east coast of the United States (U.S.) [14]. New York City Transit, its subsidiary, has an existing total rolling stock of more than 6000 train cars, where more than half of these train cars have the capability of generating RBE. Still, a majority of the system does not effectively capture and reuse the excess energy regenerated when braking and, as a result, the energy is merely dissipated as heat [15]. Operating in a 24/7 revenue service environment and serving 3.5 million passengers on average daily, NYCT’s rolling stock holds tremendous potential to help reduce energy demand through the proper capture and reuse of regenerative energy from braking trains.
Figure 1 shows a publicly available map of the entire NYC MTA subway system [16]. As depicted in the map, 36 different lines currently run in NYC, both above and below ground.

2.2. The 7 Line

NYC’s subway system shows peaks in power consumption during rush hour times when the highest number of passengers utilize it in order to go to and return from their work destinations. Figure 2 shows the average hourly total substation power consumption for just one line (the 7 line) in the year 2018 (a combination of both weekdays and weekends). As is visible in the figure, rush hour times are typically between 6:30 AM and 9:30 AM for morning commute, and between 3:30 PM and 6:45 PM for evening commute, with the former directed towards Manhattan, and the latter away from it. The borough of Manhattan houses most of the city’s buildings and facilities, hence a larger number of people are employed within it. While rush hour times are typically reserved for weekdays (express service), weekend service still consists of more local trains being dispatched during those times for travel into and out of the city. Hence, peak times stay around the same during the weekend, but peak power consumption normally drops.
Figure 3 shows a publicly available diagram that depicts the stops (passenger stations) along the 7 line that runs between Queens and Manhattan [17]. As visible in the figure, the 7 line consists of 22 passenger stations, powered by 13 substations, as along it, there is typically 1 substation located between every 1–2 passenger stations, with each passenger station being approximately 2000 ft apart. Here, five of the thirteen substations are in Manhattan, while the other eight are in Queens. The map intentionally does not depict the exact locations of substations for confidentiality purposes.
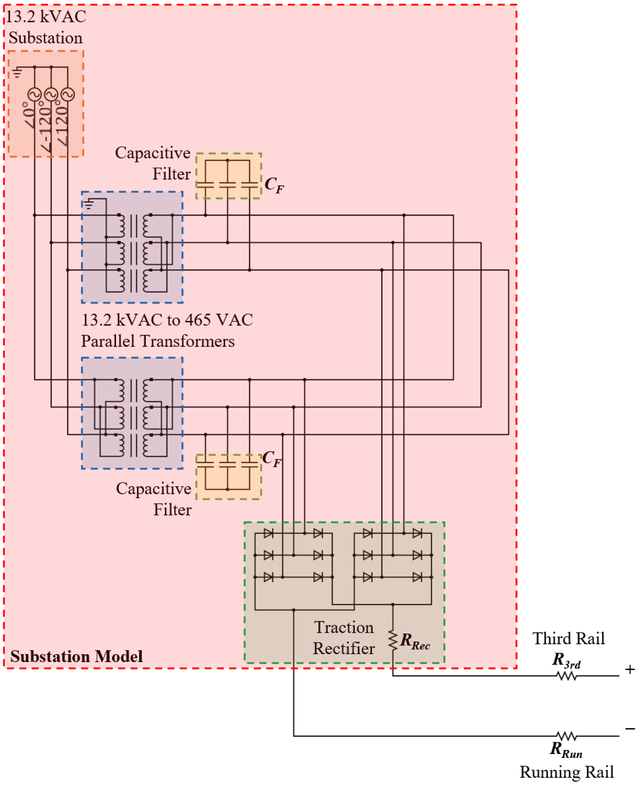
NYC’s subway rectifier substations normally receive input from the utility medium-voltage level (e.g., 13.2 kV in Manhattan). Power is then fed to two three-phase transformers. The transformers step down the voltage to about 465 VAC as it makes its way to two full-bridge diode-based rectifiers (two for redundancy). A capacitive filter is connected between each of the transformers and rectifiers, and the output of the rectifiers is what forms the third rail voltage. The positive (+) side is connected to the third rail, while the negative (−) side is connected to the running rail (i.e., the rails that the train travels on). Figure 4 illustrates the electrical path from one substation to the third rail.
Figure 5 shows typical current and speed profiles, respectively, of a 7 train traveling from one station to the next. Both profiles were measured in real time onboard a moving train. The profiles show the train accelerating (from about 2 s to 30 s) as it draws positive current from the third rail. The train then decelerates (from about 30 s to 68 s), injecting RBE (negative current) back into the third rail, before coming to a stop. As is typical for most regenerative braking systems, since the train requires less braking force (less kinetic energy) at slower speeds, little-to-no regenerative current is sent back to the rail below 10 mph. The train does contain an onboard protection system (braking chopper) to enable dynamic braking if regenerative braking is not possible. The chopper disconnects the train from the system when the third rail voltage exceeds an unsafe threshold. The negative current and resulting rise in voltage, as shown in the case study later on, represent excess regenerative energy to be reused elsewhere.

2.3. A Flywheel-Based Energy Storage Facility

In April of 2020, a group consisting of Independent Power and Renewable Energy LLC, Scout Economics, and Beacon Power LLC started working with the New York State Energy Research and Development Authority (NYSERDA) to design and manufacture a 1 MW flywheel-based energy storage facility on the 7 line. The purpose of this facility would be to capture and reuse RBE from subway trains, saving more energy and reducing peak demand. In consultation with NYCT, the group identified a site close to the 61st St-Woodside station and is currently in the process of vetting this site. Their system is modeled as part of the case study discussed later on. Some of the advantages of using a flywheel energy storage (FES) system include high energy efficiency, high power density, less maintenance, high cycling capacity, and low environmental concerns [18].
Like typical FES systems, this system will work by accelerating a rotor to a very high speed and maintaining the energy in the system as rotational energy. When energy is extracted from the system, the flywheel’s rotational speed will be reduced (principle of conservation of energy) and the amount of energy stored or delivered will depend on the inertia and speed of the rotating mass. The flywheel’s energy E (J) can be theoretically estimated by Equation (1) with inputs of the flywheel’s inertia J (kg·m2) and angular velocity ω (rad/s). The flywheel’s power P (W) can then be approximated through differentiation via Equation (2). Once the power and angular velocity of the flywheel are known, the flywheel’s mechanical torque T (N·m) can be approximated via Equation (3).
E = 1 2 J ω 2 ,
P = d d t E = d d t 1 2 J ω 2 ,
T = P ω
The proposed Beacon flywheel has been in commercial operation for over 10 years. It consists of a 2500 lb. rotor mass able to spin at up to 16,000 revolutions per minute (RPM). As detailed in [19], initial estimations of deploying the system predict 459.4 million tonnes of CO2 reduction and $243,572 in total annual savings.

3. MTA Bus Operations

3.1. NYCT and MTA Buses

In addition to subway trains, bus operations play a vital role in NYC’s public transportation and emissions. According to the MTA, their buses have an approximate average daily ridership of 2.1 million and an approximate average annual ridership of 677 million, as of 2019 [20]. The MTA has a total bus fleet of 5700+ buses, operating on 234 local, 71 express, and 20 select bus service (SBS) routes within the five boroughs [21,22]. Fixed-route buses are normally dispatched from 28 garages (20 NYCT Bus and 8 MTA Bus) and one annex in New York City. Currently, this huge fleet has a combination of compressed natural gas (CNG), diesel, and hybrid diesel (diesel–electric) buses. This includes over 1500 diesel–electric buses and over 700 CNG buses, the largest fleet of either kind in the U.S. [23].
An announcement made by the MTA in January 2018 revealed their plan to gradually transition their large bus fleet into zero-emission electric buses [24]. The MTA then launched a three-year pilot program to operate ten all-electric buses in some of the busiest streets of NYC. Over the three-year lease, the MTA expected to reduce 2000 metric tons of greenhouse gas emissions and save approximately $560,000 on maintenance and operating costs [25]. Using lessons learned from the initial phase of the program, the MTA recently decided to order an additional 60 all-electric buses [26]. This gradual transition and future addition of new all-electric buses will increase energy demand significantly, as well as require charging infrastructure. Completely new infrastructure can be built or charging equipment can be installed alongside/within preexisting infrastructure.

3.2. The MTA’s New All-Electric Buses

The MTA has two providers for its new all-electric buses, Proterra and New Flyer. As part of the pilot program, Proterra leased five Catalyst E2 model buses currently operating on the B32 and B39 bus routes in Brooklyn and Queens. They also provided six depot chargers, installed in Grand Avenue, Charleston, East New York, Jamaica, and Kingsbridge, where the buses, equipped with 440 kWh batteries, are typically charged overnight through 50 kW depot chargers, taking 6–8 h to fully charge. One “en route” 500 kW fast-charging station, located at Williamsburg Bridge Plaza in Brooklyn (Figure A1 in the Appendix A), was also installed to be used to quickly recharge the buses without the need to return to the depot, thereby also enhancing the range of these buses [27].
Also, as part of the pilot program, New Flyer provided five XE40 Xcelsior model buses currently operating on the M42 and M50 bus routes in midtown Manhattan. The bus models are equipped with 150 kWh batteries and two 50 kW chargers were installed in Michael J Quill depot, Manhattan, where the buses are also charged overnight, taking 2–3 h to fully charge. Two en route 300 kW fast-charging stations were also installed, one located at East 41st Street and the other at Pier 83, Circle Line, on West 43rd Street.
Figure 6 shows bus routes for the B32 and B39, on which the Catalyst E2 buses cover a round trip of approximately 7.27 miles and 3.70 miles, respectively [28,29]. The letter symbols represent nearby subway connection points. For example, passengers can transfer from the B32 bus to the 7 train at Court Sq-23 St.
Figure 7 shows bus routes for the M42 and M50, on which the XE40 Xcelsior buses cover a round trip of approximately 4 miles and 4.6 miles, respectively [30,31].
Figure A1 and Figure A2 in the Appendix A consist of Google Maps screenshots visually depicting a couple of locations where both the subway track and bus routes cross over. It is evident that if charging equipment can be installed to tap into the subway’s third rail circuit, RBE and the third rail can be used to charge electric buses.
Currently, less than 1% of the fleet consists of the new all-electric buses, but in order to meet its “zero-emission by 2040” goal, the MTA may soon have up to 300 all-electric buses being charged at once [32]. Having such few buses right now allows them to be charged by simply plugging them in at the bus depot, but that approach will not work when they exist in large numbers. En route overhead chargers (pantograph), chargers that come up from the floor, or even inductive chargers (no plug) then become required. Chargers would then need to be installed at strategic locations throughout the city. Thus far, the MTA has worked with the Hudson River Trust to put in a charging post on the 11th Avenue side of the 42nd Street bus and another on the 1st Avenue side. By doing so, each bus gets a five-minute power boost during a layover. A single trip then turns into three or four round-trips before the buses go back to the depot [33].
The NYC subway system is the largest rapid transit system in the world by number of stations. This means that there are numerous locations throughout the city that one can tap into in order to draw electrical power. If the system can support the demands of electric bus charging, without hindering its regular train operation, utilizing its already available resources may provide the most benefits. Testing the overall system’s response to electric bus charging is demonstrated in the case study presented next.

4. Case Study

This case study consists of simulating NYC’s subway power distribution network and monitoring resulting changes in voltage, current, and power, as inputs to the model are varied through multiple cases. The 7 train is modeled using its previously shown current and speed profiles, and the advantage of taking this approach is that it already takes into account the train’s real-time movements (coasting, braking, etc.), onboard flow control, and the variable resistances seen by the third rail. This allows the focus of the study to shift to the rest of the system, where the effects of the train’s behavior can be studied in further detail.
As shown in Figure 8, the distribution network consists of multiple substations working in parallel, and their contribution to a train’s required energy for acceleration depends on how far away they are from the train. Real-track distance measurements have been included in the simulation (represented through fixed resistors located in-between the substations). The train here is simulated to be arriving into the 61st St-Woodside passenger station (the location of the flywheel-based energy storage facility) as its position along the track is represented through variable resistors located on both sides. To simulate the train’s motion, the variable resistances of the third and running rail, on both sides of the train, can be calculated via Equations (4)–(7).
R T d = x T x p R T R
R T o = x p R T R
R R d = ( x T x p ) R R R
R R o = x p R R R
RTd (Ω) and RRd (Ω) are the varying third rail and running rail resistances, respectively, between the train and the destination station (61st St-Woodside). RTo (Ω) and RRo (Ω) are the varying third rail and running rail resistances, respectively, between the train and the origin station (69th St-Fisk Ave). These parameters depend on the train’s ft-distance traveled (xp), which is calculated through integration of the train’s speed profile (Figure 5b). RTR and RRR represent real measurements of the resistance-by-ft of the third rail and running rail, respectively. xT represents the total distance between the origin station and the destination station, i.e., about 1980 ft.
As mentioned early on, upon application of its brakes (deceleration mode), the train sends regenerative energy into the third rail, causing voltage spikes (Figure 9) exceeding the pre-established voltage of 650 VDC. A base case (Case 0) is established where no possible sink, other than the rail itself, is provided for the extra energy. With the braking chopper onboard the train disconnecting it for overload protection, the excess energy is simply dissipated as heat. Case 1 then includes the addition of a 1 MW electric vehicle (EV) load to study the possibility of using the excess regenerative energy to charge electric buses located at the 61st St-Woodside passenger station. Case 2 then adds wayside energy storage, i.e., the previously mentioned flywheel system, to help store energy and reduce the overall substation consumption even further.

4.1. Case 0: Base Case

Figure 10 shows the current and power profiles of Case 0, respectively.
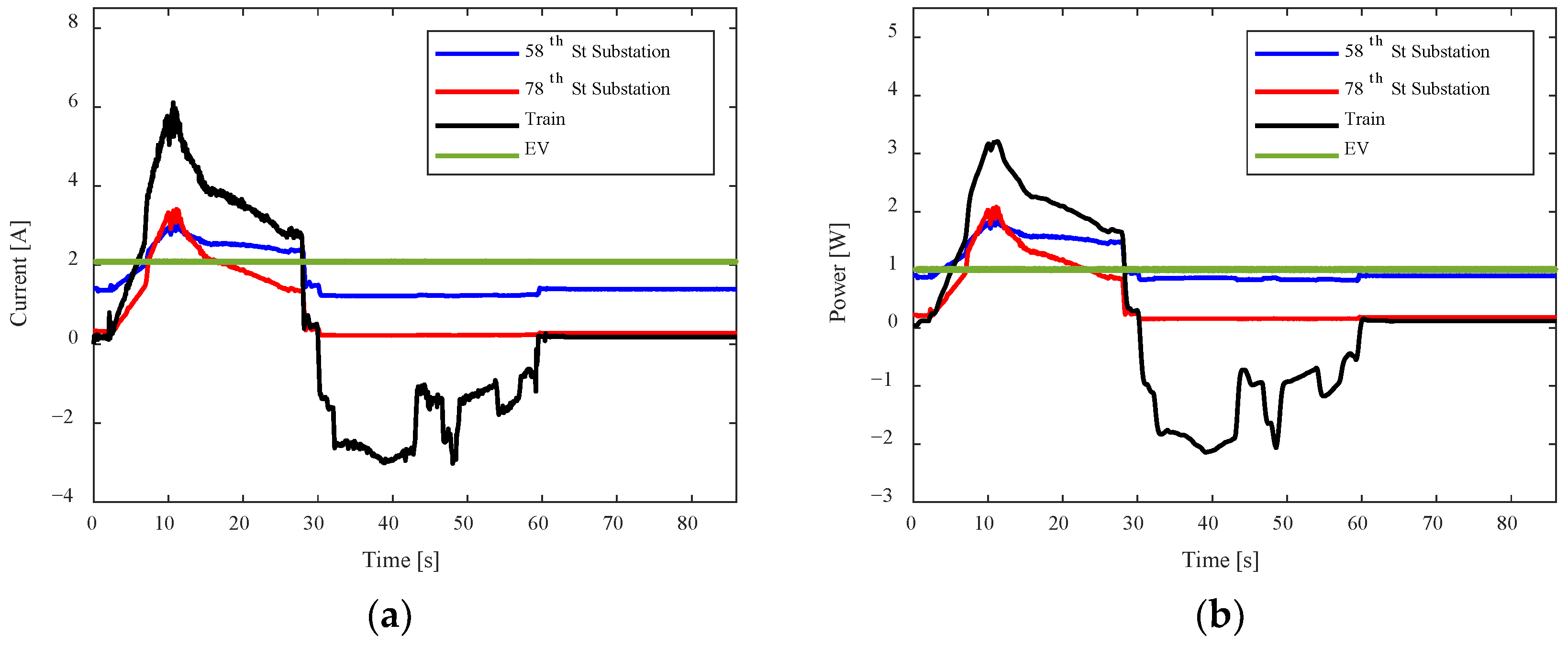
As the train is modeled to be heading westbound into 61st St-Woodside station (starting from about one station away, i.e., at 69th St-Fisk Ave station), the closest substation to the train is 78th St Substation, which, hence, contributes the most to its power and current profiles. Here, 58th St Substation becomes a greater contributor as the train approaches the 61st St passenger station. As mentioned before, negative current and power values for the train represent regenerative energy sent back to the third rail, which, as visible here (with the substation current and power values always staying positive), is unable to flow back into the substation (irreversible path), again leading to the voltage spikes shown in Figure 9 (from about 30 s to 60 s). All of the excess voltage represents energy that can be utilized elsewhere, rather than being unwantedly dissipated as heat.

4.2. Case 1: 1 MW EV Load

Figure 11 shows a 1 MW EV load added to the model, a size sufficient enough to comprise of multiple 50 kW, 300 kW, or 500 kW electric chargers used to charge the Catalyst E2 and XE40 Xcelsior buses. With the EV load located at the 61st St station (Figure 8), a buck-boost controller is integrated to regulate the EV voltage at 480 VDC through a DC–DC converter. This allows integration with the preexisting third rail set at 650 VDC. Figure 12 demonstrates successful regulation of the EV load at 480 VDC and 1 MW, respectively, while Figure 13 shows where the EV load is drawing most of its energy from. With the EV load situated at 61st St, a majority of its power is drawn from 58th St Substation, i.e., the closest substation.
As previously shown in Case 0 (Figure 10), when the train is drawing power (acceleration mode), 58th St Substation provides a peak power of 1 MW, while 78th St Substation provides a peak power of 2 MW. Now with the placement of the EV load at 61st St-Woodside station (closer to 58th St), 58th St Substation provides a peak power of 1.86 MW, almost as much as the 2 MW still provided by 78th St Substation. With the third rail voltage still not dropping below an acceptable value of 614 VDC (Figure 14), while at the same time providing enough energy to both charge the EV load as well as accelerate the train, this demonstrates successful application of the third rail to charge electric buses without hindering regular train operation.
Another observation to note is that when the train is braking (deceleration mode), not only is 58th St Substation still charging the EV load, but part of the regenerative energy sent back from the train is also sent to the EV load. This is evident as the peak in the third rail voltage without the EV load in Case 0 (Figure 9) is 720 VDC, while with the EV load (Figure 14) it is 710 VDC; both with the same amounts of regenerative energy traversing the network. With the added EV load producing lower increases in voltage, and the fact that substation power follows an irreversible path, more regenerative energy is directed towards the EV load, rather than being dissipated as heat.

4.3. Case 2: 1 MW EV Load and Flywheel

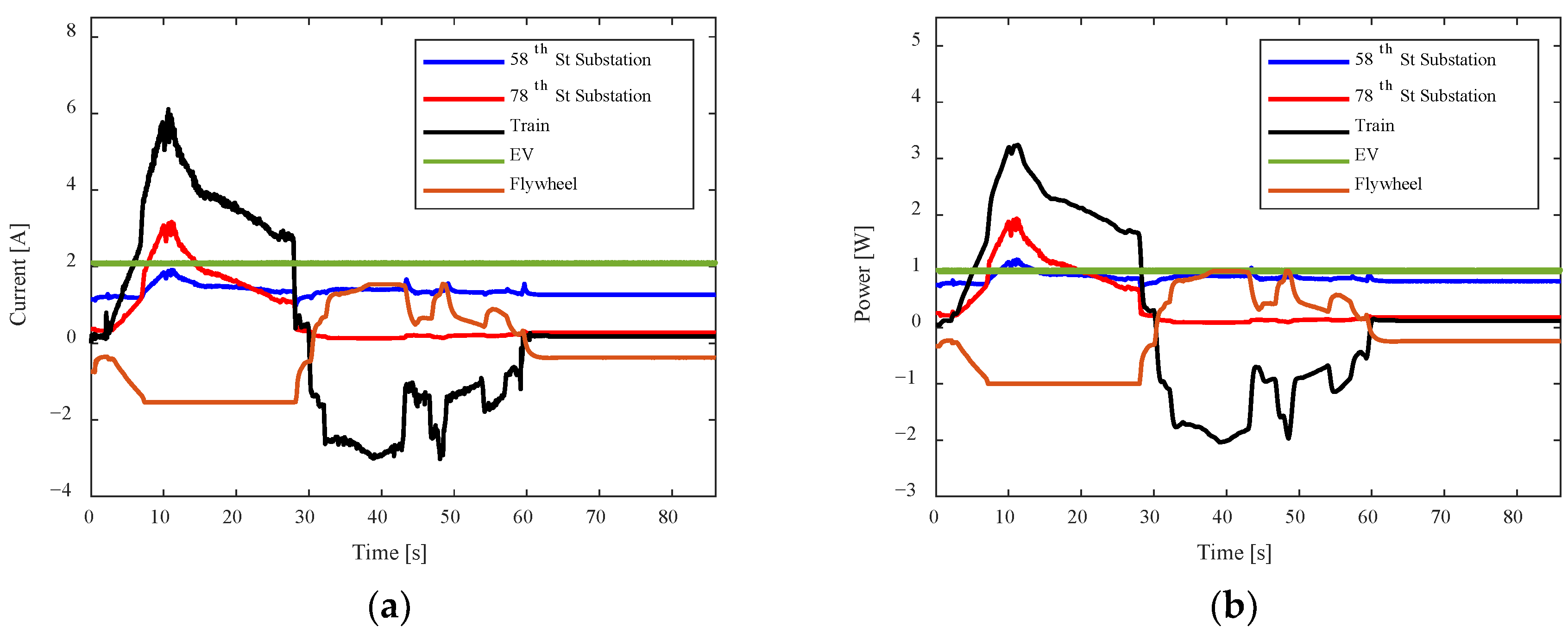
Case 2 involves adding energy storage into the network, specifically the 1 MW flywheel previously discussed, also located at 61st St-Woodside station. The flywheel eases the load on the nearby substation (58th St) by providing a means to flatten out its power consumption curve over time. Charging and discharging of the flywheel is controlled (Figure 15) through monitoring of the third rail voltage and maintaining it at 650 VDC.
The flywheel’s controller limits its power input and output to 1 MW, and depending on the third rail voltage its controller detects, decides to charge (positive current) or discharge (negative current) the flywheel. A torque limiter is included to allow safe operation of the flywheel. As previously seen, when the train draws energy, the third rail voltage drops. This causes the flywheel to discharge current (Figure 16) to regulate the third rail voltage and try to keep it near 650 VDC. When the train sends back regenerative energy, the third rail voltage rises, during which the flywheel draws however much energy it can without exceeding its 1 MW power capacity (Figure 16).
The EV load is still included in the model to act as a continuous sink for the energy sent back and forth, again demonstrating how electric vehicles can still be charged in parallel. Figure 17 shows the current and power profiles, respectively, of the entire network, with the inclusion of both the EV load and flywheel.
As visible in (Figure 17), 58th St Substation’s peak power consumption is significantly reduced with the inclusion of the flywheel, going from 1.86 MW in the previous case down to 1.2 MW, a reduction of approximately 35%. Not only that, but the substation’s power output curve is also maintained near a continuous 0.9 MW as the flywheel eases its discharging responsibilities. The flywheel also charges when excess regenerative energy is available, paving the way for further discharge when the substation needs assistance.
Figure 18 shows a third rail voltage comparison between all three cases. As mentioned previously, it is evident that inclusion of the EV load provides a sink for excess regenerative energy, in turn reducing the resulting rise in third rail voltage. Further inclusion of the FESS into the network allows even better third rail voltage regulation and the ability to both flatten and shift the power consumption curve of the nearest substation. Successful operation of the entire network collectively, without hindering regular train operation, proves that the subway system can be utilized to charge electric buses. Table 1 summarizes the parameters of the system under study.

4.4. Expanding to a 24 h Interval

The previously mentioned cases test the resiliency of the network with the EV load always connected and the larger train load changing as it would in real time. With the train still able to successfully draw its required energy for operation, an argument can be made for electric bus deployment into the network. However, as seen in Case 1, having the EV load always connected would increase the peak load, as well as the demand charges, especially when compared to not having it connected at all (Case 0). Therefore, to make better use of electric bus deployment, it would be more beneficial to charge the buses only during off-peak hours, e.g., overnight or midday, since the infrastructure is more relaxed during those times. The MTA’s new all-electric buses are already charged during those times (at both depots, as well as en route stations). As for the 24/7 subway system, there are still less trains during the night as compared to the day. Therefore, the EV load can be included into the network to not exceed overall daily substation peak power consumption, yet still benefit from the available excess energy. By still incorporating energy storage into the network (flywheels), excess regenerative energy can still be saved and utilized to charge the electric buses more flexibly.
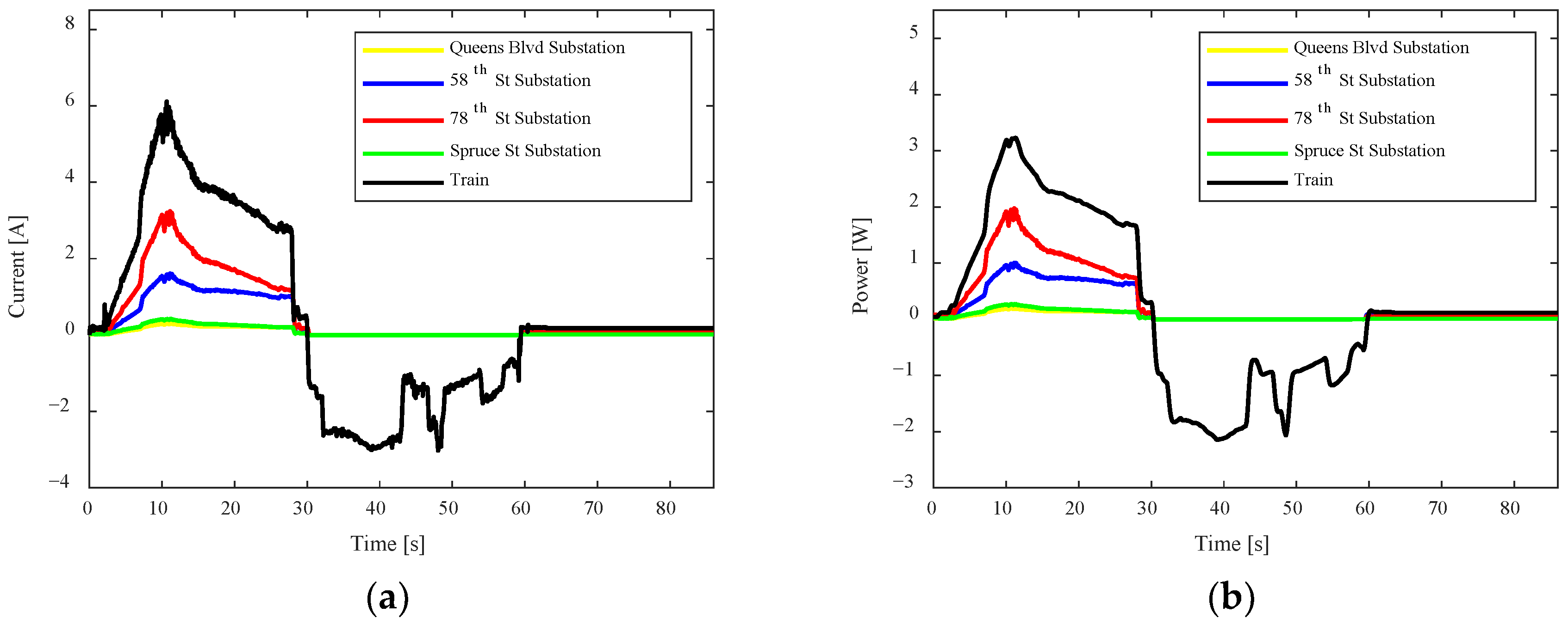
Figure 19 shows the average hourly total power consumption for the same substations simulated in the case study, but along a 24 h interval. Each graph also shows the available energy for off-peak transfer (i.e., valley filling) when taking the aforementioned approach. The graphs are generated by averaging the load data measured at each substation over fifteen-minute intervals. The average available energy for just these four substations is about 11.7 MWh, which is sufficient enough to charge twenty-six 440 kWh buses.

5. Conclusions

This article has demonstrated that charging NYC’s new all-electric buses via its preexisting subway network is feasible from both a technical and applicable standpoint. Infrastructure upgrades can be minimized through the utilization of preexisting resources, and regular train operation can remain uninterrupted as the third rail voltage for regular operation can still be readily available. RBE recuperation through the use of a WESS can reduce overall substation peak power consumption, as well as decrease power losses throughout the system. The recuperated energy can be used to charge electric buses, in turn easing the load off of subway substations. Sizing of the chosen wayside energy and EV systems have been made comparable, for instances where RBE is not available (either due to a train not being present nearby or traveling too slow to regenerate any energy). The EV load is intended to be deployed during off-peak hours to not exceed the overall daily substation peak power consumption (if, for example, the WESS goes down), and it can be deployed either at the station itself or anywhere along the line, as long as it is nearby a subway third rail. By incorporating the WESS, excess regenerative energy can be saved and utilized to charge the EVs more flexibly. Overall, the system still exists as is, where if the EV load or WESS are not able to draw any RBE, the third rail voltage will rise and the train(s) will be disconnected, hence the proposed technology serves to merely add to what already works, with the intent to make it more efficient.
The case study demonstrates integration of electric bus charging at just one of 400+ passenger train stations located in NYC. Most of the city’s buses all pass by at least one train station. As mentioned earlier, the Catalyst E2 buses pass by a 7 train stop at Court Square passenger station, and similar behavior would be seen if the buses were to be charged at that station. Perhaps that station could be used for experimental tests next. The 61st St-Woodside station was selected for this study since a flywheel-based energy storage facility will be located there, allowing regenerative braking recuperation and making the shift to off-peak charging easier. When the MTA does eventually transition its entire fleet to all-electric, buses that pass by the 61st St station, including the Q18, Q32, Q53-SBS, and Q70-SBS, can be charged as well. With further advancements in energy-storage technology, the MTA may soon consider including more ESS’s into their network. The proposed concept eases the shift to a carbon emission-free environment by allowing electric buses to act as a sink and capture RBE, while still being charged with minimal impact on the power grid.

Author Contributions

Conceptualization, A.A.A.M. and A.S.R.; methodology, A.A.A.M., R.A., and J.S.; software, R.A. and J.S.; validation, A.A.A.M., R.A., and J.S.; formal analysis, A.A.A.M., R.A., J.S., and A.S.R.; investigation, A.A.A.M., R.A., J.S., and A.S.R.; resources, A.A.A.M. and A.S.R.; data curation, A.A.A.M.; writing—original draft preparation, R.A., J.S., and A.S.R.; writing—review and editing, A.A.A.M., R.A., J.S., and A.S.R.; visualization, R.A.; supervision, A.A.A.M.; project administration, A.A.A.M.; funding acquisition, A.A.A.M. All authors have read and agreed to the published version of the manuscript.

Funding

This work was partly supported by the National Science Foundation (NSF) under Award number 846940.

Data Availability Statement

Not applicable.

Conflicts of Interest

The authors declare no conflict of interest.

Appendix A

Figure A1. Williamsburg Bridge Plaza subway and bus intersection.
Figure A1. Williamsburg Bridge Plaza subway and bus intersection.
Smartcities 06 00127 g0a1
Figure A2. Rockefeller Center subway and bus intersection.
Figure A2. Rockefeller Center subway and bus intersection.
Smartcities 06 00127 g0a2

References

  1. Carbon Dioxide Emissions from Electricity. 2022. Available online: https://world-nuclear.org/information-library/energy-and-the-environment/carbon-dioxide-emissions-from-electricity.aspx (accessed on 29 September 2023).
  2. Rodrigue, J.P. Global Greenhouse Gas Emissions by the Transportation Sector. 2014. Available online: https://transportgeography.org/contents/chapter4/transportation-and-environment/greenhouse-gas-emissions-transportation/ (accessed on 29 September 2023).
  3. Mohamed, A.; Reid, A.; Lamb, T. White Paper on Wayside Energy Storage for Regenerative Braking Energy Recuperation in the Electric Rail System; Consolidated Edison, Inc.: New York, NY, USA, 2018; Available online: https://www.coned.com/-/media/files/coned/documents/our-energy-future/our-energy-projects/regenerative-braking-energy-recuperation.pdf (accessed on 29 March 2023).
  4. Radcliffe, P.; Wallace, J.S.; Shu, L.H. Stationary applications of energy storage technologies for transit systems. In Proceedings of the 2010 IEEE Electrical Power & Energy Conference, Halifax, NS, Canada, 25–27 August 2010. [Google Scholar] [CrossRef]
  5. Sato, K.; Kato, H.; Fukushima, T. Outstanding technical features of traction system in N700S Shinkansen new generation standardized high speed train. IEEJ J. Ind. Appl. 2021, 10, 402–410. [Google Scholar] [CrossRef]
  6. Alstom and Deutsche Bahn Test First Battery Train in Passenger Operation in Germany. 2022. Available online: https://www.alstom.com/press-releases-news/2022/1/alstom-and-deutsche-bahn-test-first-battery-train-passenger-operation (accessed on 29 September 2023).
  7. Martinez, J. Hoping to Reduce Overcrowding, MTA Tries Removing Seats from Trains. 2017. Available online: https://ny1.com/nyc/all-boroughs/transit/2017/10/03/to-ease-subway-overcrowding--mta-removes-seats-from-e-trains#:~:text=The%20MTA%20is%20not%20removing,100%20extra%20riders%20per%20train (accessed on 29 September 2023).
  8. Ramsey, D.; Letrouvé, T.; Bouscayrol, A.; Delarue, P. Quantification of the Recoverable Braking Energy in a Reversible Railway DC Traction Power Substation. In Proceedings of the 2019 21st European Conference on Power Electronics and Applications, Genova, Italy, 3 September 2019. [Google Scholar] [CrossRef]
  9. Falvo, M.C.; Lamedica, R.; Bartoni, R.; Maranzano, G. An innovative proposal toward an integrated and sustainable urban mobility system including plug-in electric vehicles. Electr. Power Syst. Res. 2011, 81, 2127–2138. [Google Scholar] [CrossRef]
  10. López-López, A.J.; Abrahamsson, L.; Pecharromán, R.R.; Fernández-Cardador, A.; Cucala, P.; Östlund, S.; Söder, L. A Variable No-Load Voltage Scheme for Improving Energy Efficiency in DC-Electrified Mass Transit Systems. In Proceedings of the 2014 Joint Rail Conference, Colorado Springs, CO, USA, 2–4 April 2014. [Google Scholar] [CrossRef]
  11. Lu, S.; Weston, P.; Hillmansen, S.; Gooi, H.B.; Roberts, C. Increasing the Regenerative Braking Energy for Railway Vehicles. IEEE Trans. Intell. Trans. Syst. 2014, 15, 2506–2515. [Google Scholar] [CrossRef]
  12. Nasri, A.; Moghadam, M.F.; Mokhtari, H. Timetable optimization for maximum usage of regenerative energy of braking in electrical railway systems. In Proceedings of the SPEEDAM 2010, Pisa, Italy, 14–16 June 2010; pp. 1218–1221. [Google Scholar] [CrossRef]
  13. Fournier, D.; Fages, F.; Mulard, D. A Greedy Heuristic for Optimizing Metro Regenerative Energy Usage. In Proceedings of the Second International Conference on Railway Technology: Research, Development and Maintenance, Stirlingshire, UK, 8 April 2014. [Google Scholar] [CrossRef]
  14. Brown, D.T. Feasibility Study of On-Car Regenerative Braking System (RBS) for Electric Rail Applications. 305100-01-R12-0754. Contract No. 17734. 11 January 2013. Available online: https://www.nyserda.ny.gov/-/media/Project/Nyserda/Files/Publications/Research/Transportation/feasibility-on-car-regenerative-electric-rail-applications.pdf (accessed on 14 October 2023).
  15. Turner, D.; Schmitt, R.; Costea, A.; Flaxman, L. Regeneration Improvement at NYCT. In Proceedings of the 2008 American Public Transportation Association (APTA) Rail Conference, San Francisco, CA, USA, 1–4 June 2008. [Google Scholar]
  16. MTA New York City Subway. Available online: https://new.mta.info/map/5256 (accessed on 14 October 2023).
  17. 7 Train Stops. Available online: https://new-york.metro-map.net/nyc-subway-map-7-train-stops/ (accessed on 1 July 2023).
  18. Richardson, M.B. Flywheel energy storage system for traction applications. In Proceedings of the 2002 International Conference on Power Electronics, Machines and Drives, Bath, UK, 16 April 2002. [Google Scholar] [CrossRef]
  19. Mohamed, A.A.; Khan, A.A.; Elsayed, A.T.; Elshaer, M.A. Transportation Electrification: Breakthroughs in Electrified Vehicles, Aircraft, Rolling Stock, and Watercraft; IEEE Press Series on Power and Energy Systems; John Wiley & Sons, Inc.: Hoboken, NJ, USA, 2023; ISBN 9781119812326. [Google Scholar]
  20. Subway and Bus Ridership for 2019. 2020. Available online: http://web.mta.info/nyct/facts/ffbus.htm (accessed on 1 June 2023).
  21. Little, J. City Council Wants MTA To Provide All Electric Buses During L Train Shutdown. 2018. Available online: https://bklyner.com/city-council-wants-mta-to-provide-all-electric-buses-during-l-train-shutdown/ (accessed on 1 July 2023).
  22. MTA Regional Bus Operations. Available online: https://hmong.es/wiki/MTA_Bus_Company (accessed on 1 July 2023).
  23. Capital Program Oversign Committee Meeting. Available online: http://web.mta.info/mta/news/books/pdf/160125_1345_CPOC.pdf (accessed on 1 November 2022).
  24. MTA Testing 10 New, All-Electric Buses to Reduce Emissions & Modernize Public Transit Fleet. Available online: http://www.mta.info/news/2018/01/08/mta-testing-10-new-all-electric-buses-reduce-emissions-modernize-public-transit (accessed on 1 November 2022).
  25. Proterra Secures Three-Year Lease Program with New York MTA. 2017. Available online: https://www.proterra.com/press-release/proterra-secures-three-year-lease-program-with-new-york-mta/ (accessed on 1 July 2023).
  26. MTA to Deploy 60 Zero-Emission Electric Buses across New York. 2022. Available online: https://www.intelligenttransport.com/transport-news/135283/mta-zero-emission-electric-buses/#:~:text=Quill%2C%20Manhattan%3B%20and%20Jamaica%2C,the%20second%20half%20of%202022 (accessed on 1 July 2023).
  27. Catania, A.; Kastner, L.; Woods, M. Accelerating Electric Bus Adoption in New York City. 2020. Available online: https://www.energypolicy.columbia.edu/research/global-energy-dialogue/accelerating-electric-bus-adoption-new-york-city (accessed on 1 July 2023).
  28. B32 Local Service. 2020. Available online: https://new.mta.info/document/7031 (accessed on 1 November 2022).
  29. B39 Local Service. 2020. Available online: https://new.mta.info/document/7056 (accessed on 1 November 2022).
  30. M42 Local Crosstown Service. 2020. Available online: https://new.mta.info/document/70611 (accessed on 1 November 2022).
  31. M50 Local Crosstown Service. 2020. Available online: https://new.mta.info/document/70616 (accessed on 1 November 2022).
  32. Kessler, E. MTA to Add 60 Electric Buses by Year’s End (That’s 1% of the Entire Fleet). 2022. Available online: https://nyc.streetsblog.org/2022/04/22/mta-to-add-60-electric-buses-by-years-end/ (accessed on 1 July 2023).
  33. Martinez, J. MTA Surging Ahead with Electric Bus Plans. 2022. Available online: https://www.thecity.nyc/environment/2022/4/27/23045575/mta-surging-ahead-with-electric-bus-plans?_amp=true (accessed on 1 July 2023).
Figure 1. Map of NYC subway system [16].
Figure 1. Map of NYC subway system [16].
Smartcities 06 00127 g001
Figure 2. Average hourly total substation power consumption; 7 line (2018).
Figure 2. Average hourly total substation power consumption; 7 line (2018).
Smartcities 06 00127 g002
Figure 3. Diagram of 7 line [17].
Figure 3. Diagram of 7 line [17].
Smartcities 06 00127 g003
Figure 4. Electrical path from a NYC substation to the third rail.
Figure 4. Electrical path from a NYC substation to the third rail.
Smartcities 06 00127 g004
Figure 5. Profiles of a 7 train: (a) current; (b) speed.
Figure 5. Profiles of a 7 train: (a) current; (b) speed.
Smartcities 06 00127 g005
Figure 6. B32 and B39 bus routes [28,29].
Figure 6. B32 and B39 bus routes [28,29].
Smartcities 06 00127 g006
Figure 7. M42 and M50 Bus Routes [30,31].
Figure 7. M42 and M50 Bus Routes [30,31].
Smartcities 06 00127 g007
Figure 8. Modeled NYC subway power distribution network.
Figure 8. Modeled NYC subway power distribution network.
Smartcities 06 00127 g008
Figure 9. Third rail voltage.
Figure 9. Third rail voltage.
Smartcities 06 00127 g009
Figure 10. Case 0 profiles: (a) current; (b) power.
Figure 10. Case 0 profiles: (a) current; (b) power.
Smartcities 06 00127 g010
Figure 11. EV Model.
Figure 11. EV Model.
Smartcities 06 00127 g011
Figure 12. Case 1 profiles: (a) EV Voltage; (b) EV Power.
Figure 12. Case 1 profiles: (a) EV Voltage; (b) EV Power.
Smartcities 06 00127 g012
Figure 13. Case 1 profiles: (a) current; (b) power.
Figure 13. Case 1 profiles: (a) current; (b) power.
Smartcities 06 00127 g013
Figure 14. Third rail voltage (Case 1).
Figure 14. Third rail voltage (Case 1).
Smartcities 06 00127 g014
Figure 15. Flywheel model.
Figure 15. Flywheel model.
Smartcities 06 00127 g015
Figure 16. Case 2 profiles: (a) flywheel current; (b) flywheel power.
Figure 16. Case 2 profiles: (a) flywheel current; (b) flywheel power.
Smartcities 06 00127 g016
Figure 17. Case 2 profiles: (a) current; (b) power.
Figure 17. Case 2 profiles: (a) current; (b) power.
Smartcities 06 00127 g017
Figure 18. Third rail voltage comparison.
Figure 18. Third rail voltage comparison.
Smartcities 06 00127 g018
Figure 19. Average hourly substation power consumption (2018): (a) Spruce St Substation; (b) 78th St Substation; (c) 58th St Substation; (d) Queens Blvd Substation.
Figure 19. Average hourly substation power consumption (2018): (a) Spruce St Substation; (b) 78th St Substation; (c) 58th St Substation; (d) Queens Blvd Substation.
Smartcities 06 00127 g019
Table 1. Parameters of system under study.
Table 1. Parameters of system under study.
SymbolDescriptionValue
CFCapacitive Filter’s Capacitance1 mF
RRecTraction Rectifier’s Internal Resistance1.08 mΩ
LLBuck-Boost Converter Inductor’s Inductance8 µH
CLBuck-Boost Converter Capacitor’s Capacitance120 mF
RLEV Load’s Equivalent Resistance0.23 Ω
KpLEV Load Buck-Boost PI Controller’s Proportional Gain Value0.001
KiLEV Load Buck-Boost PI Controller’s Integral Gain Value0.1
SeqfRepeating Sequence’s Frequency100 µHz
SeqrRepeating Sequence’s Range[0,1]
KpFlyFlywheel PI Controller’s Proportional Gain Value 2
KiFlyFlywheel PI Controller’s Integral Gain Value40
Disclaimer/Publisher’s Note: The statements, opinions and data contained in all publications are solely those of the individual author(s) and contributor(s) and not of MDPI and/or the editor(s). MDPI and/or the editor(s) disclaim responsibility for any injury to people or property resulting from any ideas, methods, instructions or products referred to in the content.

Share and Cite

MDPI and ACS Style

Mohamed, A.A.A.; Ahmad, R.; Singh, J.; Rahman, A.S. Train to Vehicle: Toward Sustainable Transportation in Dense Urban Regions. Smart Cities 2023, 6, 2828-2848. https://doi.org/10.3390/smartcities6050127

AMA Style

Mohamed AAA, Ahmad R, Singh J, Rahman AS. Train to Vehicle: Toward Sustainable Transportation in Dense Urban Regions. Smart Cities. 2023; 6(5):2828-2848. https://doi.org/10.3390/smartcities6050127

Chicago/Turabian Style

Mohamed, Ahmed Ali A., Rohama Ahmad, Jaskaran Singh, and Ahmed S. Rahman. 2023. "Train to Vehicle: Toward Sustainable Transportation in Dense Urban Regions" Smart Cities 6, no. 5: 2828-2848. https://doi.org/10.3390/smartcities6050127

APA Style

Mohamed, A. A. A., Ahmad, R., Singh, J., & Rahman, A. S. (2023). Train to Vehicle: Toward Sustainable Transportation in Dense Urban Regions. Smart Cities, 6(5), 2828-2848. https://doi.org/10.3390/smartcities6050127

Article Metrics

Back to TopTop