Preoperative Injection of Indocyanine Green Fluorescence at the Anorectal Junction Safely Identifies the Inferior Mesenteric Artery in a Prospective Case-Series Analysis of Colorectal Cancer Patients
Abstract
1. Introduction
2. Results
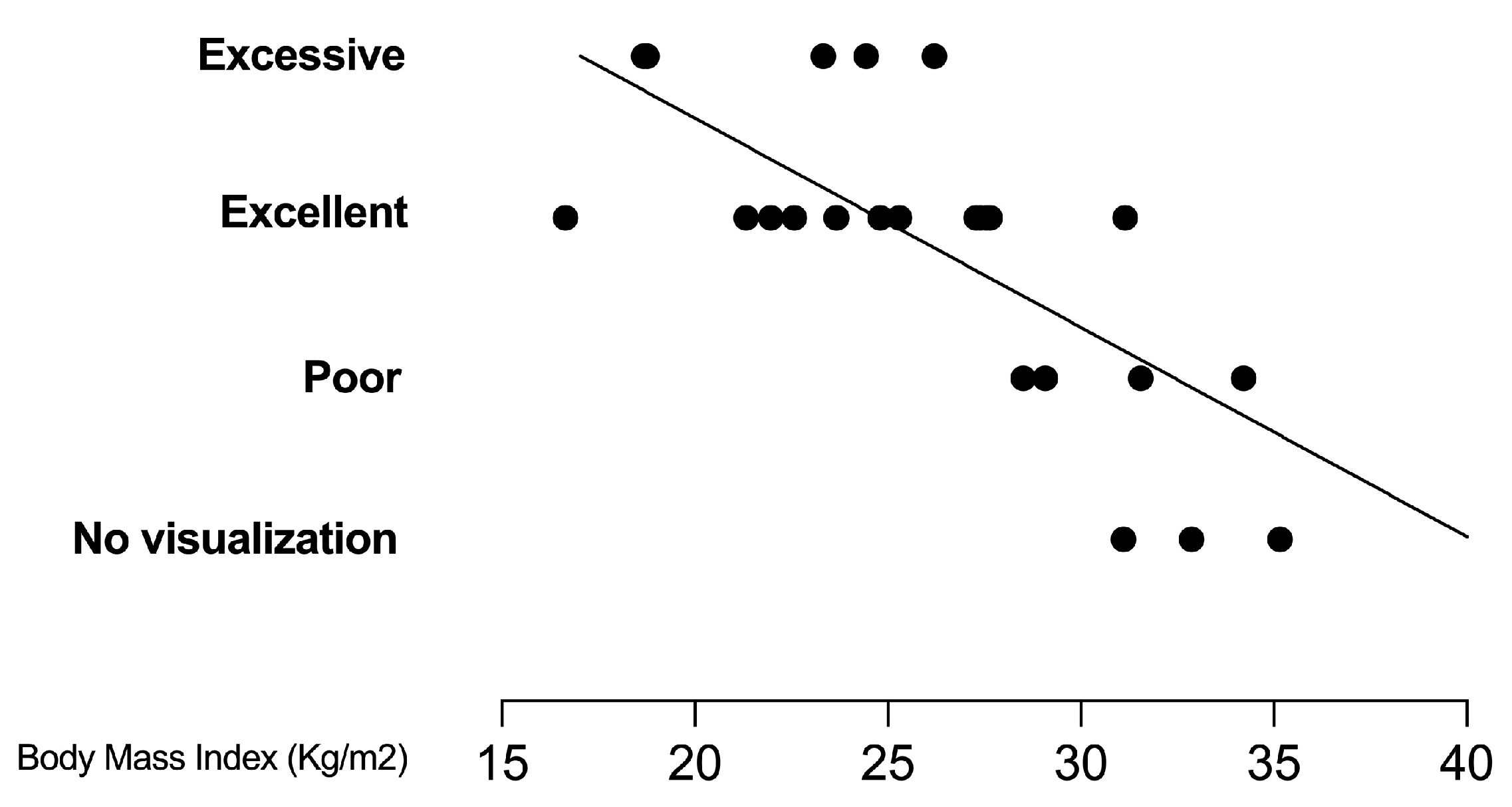
2.1. Entire Cohort
2.2. Subgroup Analysis
3. Discussion
Implemented Algorithm
4. Materials and Methods
4.1. Population
4.2. Procedure
4.3. Aim
4.4. Statistical Analysis
5. Conclusions
Author Contributions
Funding
Institutional Review Board Statement
Informed Consent Statement
Data Availability Statement
Conflicts of Interest
Abbreviations
| ICG | Indocyanine green |
| IMA | Inferior mesenteric artery |
| BMI | Body Mass Index |
References
- Argilés, G.; Tabernero, J.; Labianca, R.; Hochhauser, D.; Salazar, R.; Iveson, T.; Laurent-Puig, P.; Quirke, P.; Yoshino, T.; Taieb, J.; et al. Localised colon cancer: ESMO Clinical Practice Guidelines for diagnosis, treatment and follow-up. Ann. Oncol. 2020, 31, 1291–1305. [Google Scholar] [CrossRef] [PubMed]
- Hashiguchi, Y.; Muro, K.; Saito, Y.; Ito, Y.; Ajioka, Y.; Hamaguchi, T.; Hasegawa, K.; Hotta, K.; Ishida, H.; Ishiguro, M.; et al. Japanese Society for Cancer of the Colon and Rectum (JSCCR) guidelines 2019 for the treatment of colorectal cancer. Int. J. Clin. Oncol 2020, 25, 1–42. [Google Scholar] [CrossRef]
- Kudra, A.; Muszyński, D.; Sobocki, B.K.; Atzeni, A.; Carbone, L.; Kaźmierczak-Siedlecka, K.; Połom, K.; Kalinowski, L. Insights into oral microbiome and colorectal cancer—On the way of searching new perspectives. Front. Cell. Infect. Microbiol. 2023, 13, 1159822. [Google Scholar] [CrossRef]
- Ferraro, L.; Formisano, G.; Salaj, A.; Giuratrabocchetta, S.; Giuliani, G.; Salvischiani, L.; Bianchi, P.P. Robotic right colectomy with complete mesocolic excision: Senior versus junior surgeon, a case-matched retrospective analysis. Int. J. Med. Robot. Comput. Assist. Surg. 2022, 18, e2383. [Google Scholar] [CrossRef]
- Son, G.M.; Ahn Hmin Lee, I.Y.; Ha, G.W. Multifunctional Indocyanine Green Applications for Fluorescence-Guided Laparoscopic Colorectal Surgery. Ann. Coloproctol. 2021, 37, 133–140. [Google Scholar] [CrossRef]
- Watanabe, J.; Takemasa, I.; Kotake, M.; Noura, S.; Kimura, K.; Suwa, H.; Tei, M.; Takano, Y.; Munakata, K.; Matoba, S.; et al. Blood Perfusion Assessment by Indocyanine Green Fluorescence Imaging for Minimally Invasive Rectal Cancer Surgery (EssentiAL trial). Ann. Surg. 2023, 278, e688–e694. [Google Scholar] [CrossRef]
- Qiu, W.; Hu, G.; Mei, S.; Li, Y.; Quan, J.; Niu, H.; Mei, L.; Jin, S.; Liu, Q.; Tang, J. Indocyanine green highlights the lymphatic drainage pathways, enhancing the effectiveness of radical surgery for mid-low rectal cancer: A non-randomized controlled prospective study. Eur. J. Surg. Oncol. 2025, 51, 109520. [Google Scholar] [CrossRef] [PubMed]
- Ho, M.F.; Futaba, K.; Mak, T.W.C.; Ng, S.S.M. Personalized laparoscopic resection of colon cancer with the use of indocyanine green lymph node mapping: Technical and clinical outcomes. Asian J. Endosc. Surg. 2022, 15, 563–568. [Google Scholar] [CrossRef]
- Kuipers, E.J.; Grady, W.M.; Lieberman, D.; Seufferlein, T.; Sung, J.J.; Boelens, P.G.; van de Velde, C.J.; Watanabe, T. Colorectal cancer. Nat. Rev. Dis. Primers 2015, 1, 15065. [Google Scholar] [CrossRef]
- Coppola, A.; La Vaccara, V.; Cascone, C.; Farolfi, T.; Carbone, L.; Greco, C.; Ramella, S.; Ciccozzi, M.; Angeletti, S.; Coppola, R.; et al. Laparoscopic total mesorectal excision (L-TME) for rectal cancer surgery: Does elective diverting ileostomy really protect? An observational retrospective cohort study. Ann. Ital. Chir. 2021, 92, S0003469X21036101. [Google Scholar] [PubMed]
- Stafford, C.; Francone, T.; Roberts, P.L.; Marcello, P.W.; Ricciardi, R. What influences conversion to open surgery during laparoscopic colorectal resection? Surg. Endosc. 2021, 35, 1584–1590. [Google Scholar] [CrossRef]
- Joosten, J.J.A.; Strobbe, L.J.A.; Wauters, C.A.P.; Pruszczynski, M.; Wobbes, T.; Ruers, T.J.M. Intraoperative lymphatic mapping and the sentinel node concept in colorectal carcinoma. J. Br. Surg. 1999, 86, 482–486. [Google Scholar] [CrossRef]
- Nagata, K.; Endo, S.; Hidaka, E.; Tanaka, J.I.; Kudo, S.E.; Shiokawa, A. Laparoscopic sentinel node mapping for colorectal cancer using infrared ray laparoscopy. Anticancer Res. 2006, 26, 2307–2311. [Google Scholar]
- Cassinotti, E.; Al-Taher, M.; Antoniou, S.A.; Arezzo, A.; Baldari, L.; Boni, L.; Bonino, M.A.; Bouvy, N.D.; Brodie, R.; Carus, T.; et al. European Association for Endoscopic Surgery (EAES) consensus on Indocyanine Green (ICG) fluorescence-guided surgery. Surg. Endosc. 2023, 37, 1629–1648. [Google Scholar] [CrossRef]
- Garoufalia, Z. The promise of indocyanine green in colorectal surgery. Lancet Gastroenterol. Hepatol. 2024, 9, 897–898. [Google Scholar] [CrossRef] [PubMed]
- Lin, J.; Zheng, B.; Lin, S.; Chen, Z.; Chen, S. The efficacy of intraoperative ICG fluorescence angiography on anastomotic leak after resection for colorectal cancer: A meta-analysis. Int. J. Color. Dis. 2021, 36, 27–39. [Google Scholar] [CrossRef]
- Somashekhar, S.P.; Reddy, G.R.K.; Deshpande, A.Y.; Ashwin, K.R.; Kumar, R. A prospective study of real-time identification of line of transection in robotic colorectal cancer surgery by ICG. J. Robot. Surg. 2021, 15, 369–374. [Google Scholar] [CrossRef]
- Faber, R.A.; Meijer, R.P.J.; Droogh, D.H.M.; Jongbloed, J.J.; Bijlstra, O.D.; Boersma, F.; Braak, J.P.B.M.; Kranenbarg, E.M.-K.; Putter, H.; Holman, F.A.; et al. Indocyanine green near-infrared fluorescence bowel perfusion assessment to prevent anastomotic leakage in minimally invasive colorectal surgery (AVOID): A multicentre, randomised, controlled, phase 3 trial. Lancet Gastroenterol. Hepatol. 2024, 9, 924–934. [Google Scholar] [CrossRef]
- Chand, M.; Keller, D.S.; Joshi, H.M.; Devoto, L.; Rodriguez-Justo, M.; Cohen, R. Feasibility of fluorescence lymph node imaging in colon cancer: FLICC. Tech. Coloproctol. 2018, 22, 271–277. [Google Scholar] [CrossRef] [PubMed]
- Watanabe, M.; Murakami, M.; Ozawa, Y.; Yoshizawa, S.; Matsui, N.; Aoki, T. Intraoperative Identification of Colonic Tumor Sites Using a Near-Infrared Fluorescence Endoscopic Imaging System and Indocyanine Green. Dig. Surg. 2017, 34, 495–501. [Google Scholar] [CrossRef] [PubMed]
- Zhang, C.; Zhang, L.; Xu, T.; Xue, R.; Yu, L.; Zhu, Y.; Wu, Y.; Zhang, Q.; Li, D.; Shen, S.; et al. Mapping the spreading routes of lymphatic metastases in human colorectal cancer. Nat. Commun. 2020, 11, 1993. [Google Scholar] [CrossRef] [PubMed]
- Leake, I. Understanding the routes of metastasis in colorectal cancer. Nat. Rev. Gastroenterol. Hepatol. 2014, 11, 270. [Google Scholar] [CrossRef]
- Benson, A.B.; Venook, A.P.; Adam, M.; Chang, G.; Chen, Y.-J.; Ciombor, K.K.; Cohen, S.A.; Cooper, H.S.; Deming, D.; Garrido-Laguna, I.; et al. Colon Cancer, Version 3.2024, NCCN Clinical Practice Guidelines in Oncology. J. Natl. Compr. Cancer Netw. 2024, 22, e240029. [Google Scholar] [CrossRef]
- Zeng, J.; Su, G. High ligation of the inferior mesenteric artery during sigmoid colon and rectal cancer surgery increases the risk of anastomotic leakage: A meta-analysis. World J. Surg. Oncol. 2018, 16, 157. [Google Scholar] [CrossRef]
- Liu, R.Q.; Elnahas, A.; Tang, E.; Alkhamesi, N.A.; Hawel, J.; Alnumay, A.; Schlachta, C.M. Cost analysis of indocyanine green fluorescence angiography for prevention of anastomotic leakage in colorectal surgery. Surg. Endosc. 2022, 36, 9281–9287. [Google Scholar] [CrossRef] [PubMed]
- Mathew, G.; Sohrabi, C.; Franchi, T.; Nicola, M.; Kerwan, A.; Agha, R. Preferred reporting of case series in surgery (PROCESS) 2023 guidelines. Int. J. Surg. 2023, 109, 3760–3769. [Google Scholar] [CrossRef] [PubMed]




| Patients (n = 26) | |
|---|---|
| Female | 15 (57.7) |
| Age (mean ± SD) | 66.5 ± 15.2 |
| BMI (mean ± SD) | 26.7 ± 5.8 |
| <25 | 11 (42.3) |
| 25–30 | 8 (30.8) |
| >30 | 7 (26.9) |
| Left colon cancer | 12 (46.2) |
| Rectal cancer | 14 (53.8) |
| Tumor size (mean ± SD) | 4 ± 1.9 |
| Neoadjuvant | 8 (30.8) |
| IMA visualization | |
| Excessive | 5 (19.2) |
| Excellent | 13 (50.0) |
| Poor | 4 (15.4) |
| No | 4 (15.4) |
| Nodes retrieved (mean ± SD) | 22 ± 9 |
| Intraoperative complications | 0 (0) |
| Pathological TNM | |
| pT1 | 4 (15.4) |
| pT2 | 6 (23.1) |
| pT3 | 14 (53.8) |
| pT4 | 2 (7.7) |
| Metastatic lymph nodes | 7 (26.9) |
| Hospital stay (mean ± SD) | 7.6 ± 3.9 |
| Period 1 ICG 10 mg (n = 13) | Period 2 ICG 15 mg (n = 9) | Period 3 ICG 20 mg (n = 4) | p-Value | |
|---|---|---|---|---|
| BMI | 0.093 | |||
| <25 | 5 (45.5) | 5 (45.5) | 1 (9.0) | |
| 25–30 | 2 (25.0) | 3 (37.5) | 3 (37.5) | |
| >30 | 6 (85.7) | 1 (14.3) | 0 (0) | |
| Neoadjuvant | 4 (50) | 3 (37.5) | 1 (12.5) | 0.956 |
| IMA visualization | 0.097 | |||
| Excessive | 0 (0) | 3 (60) | 2 (40) | |
| Excellent | 6 (46.2) | 5 (38.5) | 2 (15.3) | |
| Poor/No | 7 (87.5) | 1 (12.5) | 0 (0) |
Disclaimer/Publisher’s Note: The statements, opinions and data contained in all publications are solely those of the individual author(s) and contributor(s) and not of MDPI and/or the editor(s). MDPI and/or the editor(s) disclaim responsibility for any injury to people or property resulting from any ideas, methods, instructions or products referred to in the content. |
© 2025 by the authors. Licensee MDPI, Basel, Switzerland. This article is an open access article distributed under the terms and conditions of the Creative Commons Attribution (CC BY) license (https://creativecommons.org/licenses/by/4.0/).
Share and Cite
Roviello, F.; Andreucci, E.; Carbone, L.; Calomino, N.; Piccioni, S.; Bobbio, L.; Piagnerelli, R.; Fontani, A.; Marrelli, D. Preoperative Injection of Indocyanine Green Fluorescence at the Anorectal Junction Safely Identifies the Inferior Mesenteric Artery in a Prospective Case-Series Analysis of Colorectal Cancer Patients. Gastrointest. Disord. 2025, 7, 76. https://doi.org/10.3390/gidisord7040076
Roviello F, Andreucci E, Carbone L, Calomino N, Piccioni S, Bobbio L, Piagnerelli R, Fontani A, Marrelli D. Preoperative Injection of Indocyanine Green Fluorescence at the Anorectal Junction Safely Identifies the Inferior Mesenteric Artery in a Prospective Case-Series Analysis of Colorectal Cancer Patients. Gastrointestinal Disorders. 2025; 7(4):76. https://doi.org/10.3390/gidisord7040076
Chicago/Turabian StyleRoviello, Franco, Eleonora Andreucci, Ludovico Carbone, Natale Calomino, Stefania Piccioni, Lucia Bobbio, Riccardo Piagnerelli, Andrea Fontani, and Daniele Marrelli. 2025. "Preoperative Injection of Indocyanine Green Fluorescence at the Anorectal Junction Safely Identifies the Inferior Mesenteric Artery in a Prospective Case-Series Analysis of Colorectal Cancer Patients" Gastrointestinal Disorders 7, no. 4: 76. https://doi.org/10.3390/gidisord7040076
APA StyleRoviello, F., Andreucci, E., Carbone, L., Calomino, N., Piccioni, S., Bobbio, L., Piagnerelli, R., Fontani, A., & Marrelli, D. (2025). Preoperative Injection of Indocyanine Green Fluorescence at the Anorectal Junction Safely Identifies the Inferior Mesenteric Artery in a Prospective Case-Series Analysis of Colorectal Cancer Patients. Gastrointestinal Disorders, 7(4), 76. https://doi.org/10.3390/gidisord7040076

