Abstract
An impedance model based on the Volmer–Heyrovsky–Tafel mechanism was developed to study the kinetics of the hydrogen evolution reaction on polycrystalline gold electrodes at moderate overpotentials in aqueous H2SO4 (0.5 and 1.0 M) solutions. The model was optimized on data from potentiodynamic polarization and electrochemical impedance spectroscopy, and model parameters were extracted. Consistent with expectations, the magnitude of the impedance data indicated a higher rate of hydrogen evolution at lower pH. Also, the fractional surface coverage of adsorbed hydrogen () increases with increasing overpotential but the small value of indicates only weak adsorption of H on gold. Tafel slopes and exchange current densities were estimated to be in the range of 81–124 mV/dec, and 10−6 and 10−5 A/cm2 in H2SO4 (0.5 and 1.0 M), respectively. The results show that the model accounts well for the experimental data, such as the steady-state current density. Sensitivity analysis reveals that the electrochemical parameters ( associated with the kinetics of the hydrogen evolution reaction have a major impact on the calculated impedance but the standard rate constant for hydrogen oxidation reaction ( does not strongly affect the calculated impedance.
1. Introduction
An important renewable energy source that can be used in place of fossil fuels to combat the alleged anthropogenic global warming is hydrogen [1,2]. Although hydrogen can be produced from the steam reforming of natural gas [3,4,5], there is intense interest in producing it sustainably via the electrolysis of water [6,7,8]. The current technology, however, is expensive and inadequate, thus necessitating the development of new high-performance electrocatalysts [9,10]. In addition, the mechanisms and the associated kinetics of the hydrogen evolution reaction (HER) on gold have not been investigated extensively [11,12,13]. In the present work, our emphasis is on polycrystalline gold because the cost of preparing single-crystal substrates for large-scale use as electrocatalysts in practical applications would be prohibitive.
Noble metals like platinum, gold, and silver as either bulk electrodes or in the form of nanoparticles were extensively studied as model systems [14,15,16,17,18,19,20]. Gold offers unique features as a useful model electrode for the HER over a wide range of potentials in various solutions, despite its moderate activity for the HER in an acidic solution [21,22,23,24,25,26]. Numerous studies were conducted on gold stationary and rotating disk electrodes in acidic and alkaline solutions, mostly using the common dc-polarization techniques to measure exchange current density and Tafel slopes but considerably less attention has focused on the kinetics of the HER [26,27,28,29,30,31,32,33,34].
For example, Kibler et al. [21] studied the relationship between reconstruction of the Au(111) single-crystal surface and HER activity. They reported that the kinetics of this reconstruction depend greatly on the applied potential. Furthermore, they raised the possibility of the hydrogen oxidation reaction (HOR) on gold in the presence of molecular hydrogen, either added externally or formed as a consequence of potential cycling towards negative potentials. The authors detected a HOR peak in the positive sweep if the electrode potential was held at a sufficiently large negative potential and attributed it to thermal reconstruction of the surface of the electrode. This result serves as evidence for the possibility of the HOR on gold, despite a common belief that clean bulk gold electrodes lack the ability to oxidize molecular hydrogen. Perez et al. [22] studied the activity of low-index gold single crystals for the HER in acidic solutions and reported the following order of catalytic activity: Au(111) > Au(100) > Au(110). Kahyarian et al. [25] developed a mechanistic model to evaluate possible HER mechanisms to address the polarization behavior of the HER on gold in mildly acidic solutions. They concluded that the overall reaction can be accurately described by the Volmer–Heyrovsky mechanism, which incorporates an intermediate surface diffusion step. Sasaki et al. [26] concluded that due to a wide variation in the reported b-value of the Tafel slope of the HER on gold in an acidic solution, the Tafel slope cannot be viewed as a definitive indicator of the mechanism behind HER. Therefore, to better understand the HER mechanism, they divided the overall reaction into its individual elementary steps and directly compared their rates using the exchange current density of each individual step. They reported that exchange current density in acidic solution varies linearly with pH which implies that the electron-transfer step in sulfuric acid involves the reduction of hydronium ions.
The catalytic activity of gold nanoparticles in sulfuric acid solution was examined by Wang et al. [27] through electrochemical cycling. Their results demonstrated a notable improvement in the HER activity, characterized by a reduction in overpotential and Tafel slope. This enhancement was assigned to the formation of “stepped-like” structures, which were generated by consecutive electrochemical cycling within the double-layer region. In another study, Meethal et al. [35] utilized an inverted rotating disc electrode to mechanistically model the kinetics of HER on a gold electrode in perchloric acid and in sodium hydroxide solutions. Their findings indicated that the Volmer–Heyrovsky–Tafel (VHT) mechanism best described the kinetics of the HER in highly acidic solutions. Additionally, they observed that diffusion played a significant role in the HER process at higher overpotentials.
A powerful method for extracting mechanistic information is the evaluation of electrochemical models based on data from electrochemical impedance spectroscopy (EIS) [36,37,38,39,40,41,42,43,44,45,46,47,48,49]. This method uses a small ac potential at different frequencies to perturb electrochemical reactions occurring at the electrode/solution interface, which produces an ac current response associated with the electrochemical processes and the passive resistive and capacitive elements present in the system (e.g., the double-layer capacitance). As a result of the small perturbation, physical models can be developed by linearizing the electrochemical equations to study capacitance behavior, diffusion, and Faradaic reactions at the electrode/solution interface [36,37,38,39].
Several EIS studies reported on the kinetics of the HER, with either simple electrical equivalent circuits (EECs) or the kinetics parameters correlated to EECs elements used to interpret the results [39,40,41,42,43,44]. For instance, Laisa et al. [40] investigated the HER mechanism on a Raney nickel electrode in a 1.04 M NaOH solution using the EIS technique. According to their findings, chemically activated electrode materials exhibit a preference for the Volmer–Tafel mechanism as the primary pathway for the HER, in which the Volmer reaction serves as the controlling step, accompanied by minor involvement of the Heyrovsky reaction. However, they also observed that electrochemical activation leads to an improvement in the electrocatalytic behavior of the electrode material towards the HER. As a result, the Volmer–Heyrovsky mechanism becomes the favored route, with both steps playing significant roles in determining the reaction rate.
Nicolic et al. [41] examined how in situ ionic activation, achieved through the combined use of three d-metals (Ni, Co, and Mo), influences both the mechanism and kinetics of the HER. Their investigation involved conducting polarization and EIS measurements and found that the simultaneous deposition of Ni, Co, and Mo species on the Ni cathode led to the creation of numerous active sites for hydrogen adsorption. Additionally, they observed a synergistic effect that resulted in an electronic structure conducive to the HER, ultimately contributing to significant improvements in the kinetics of the reaction. Alobaid et al. [42] studied the mechanism and kinetics of the HER and oxygen evolution reaction on nickel iron layered double hydroxide (NiFe LDH) in a basic electrolyte, using experimental linear sweep voltammetry and EIS techniques. According to their findings, the HER is primarily controlled by the Heyrovsky step, with the reaction mechanism depending on the applied potential. At low potentials, the mechanism initiates with the Volmer step, followed by parallel Tafel and Heyrovsky steps. However, at higher potentials, the mechanism transitions into a consecutive combination of the Volmer and Heyrovsky steps. Franceschini et al. [43] characterized a Ni catalyst for the HER in alkaline solutions using rotating disk electrodes and EIS techniques. They reported the rate-determining step on fresh nickel is the one-electron Volmer reaction, while catalytic activity for activated nickel through chronoamperometry decreases and exhibits a strong temperature dependence. Furthermore, they reported that hydrogen adsorption on fresh nickel follows the Langmuir isotherm while it shifts to Temkin for activated nickel. Ohmori et al. [44] studied the mechanism of the HER kinetics on a Au electrode in hydroxide solutions and reported the kinetics of the HER exhibit a slow discharge mechanism that remains consistent across the entire range of solution concentrations.
Existing studies on HER kinetics using EIS have not delved into mechanistic investigation, particularly on gold electrodes in an acidic solution. Given the recent resurgence of interest in gold catalysis, including water-splitting [6,7,8] and HER [11,12,13], the primary aim of the work in this paper was to assess whether the current mechanism of the HER can be used to accurately model the process on gold and to allow extraction of valuable kinetic parameters. We believe this approach is essential to corroborate and build upon established knowledge. As such, our work both validates the VHT mechanism for gold and reports the first (to our knowledge) comprehensive set of kinetic parameters for the HER on this metal using EIS. Specifically, we optimized a kinetic model based on the EIS data by implementing a genetic-based optimization algorithm [45], which was proven to be effective in extracting accurate and reliable model parameters [45,46,47]. This study, therefore, fills a research gap by employing an impedance-based physical model to probe the HER mechanism on stationary polycrystalline gold electrodes in H2SO4 (0.5 and 1.0 M) solutions at moderate overpotentials.
2. Experimental
2.1. Materials
Gold (99.999%, VEM Vacuum Engineering, Santa Clara, CA, USA), sulfuric acid (95–98%, EMD, La Grange, IL, USA), hydrochloric acid (EMD, 37%), nitric acid (EMD, 70%), and silver nitrate (99.8%, Fisher Scientific, Hampton, NH, USA) were used as received. Water, purified to 18.2 MΩ·cm using a Millipore Simplicity UV system, was used in all experiments described in this article.
2.2. Electrochemical Measurements
Polycrystalline gold electrodes were prepared by evaporating 100 nm of gold onto a 5 nm titanium adhesion layer on glass substrates. The gold working electrodes were cleaned chemically in dilute aqua regia (0.5 M HNO3, 1.5 M HCl) for 7 min, and then electrochemically by cycling the potential between 0.5 and 2.0 V (versus SHE) in deaerated H2SO4 (0.5 or 1.0 M) solutions (having measured pH values of 0.6 and 0.25) seven times at a scan rate of 100 mV/s. A commonly employed method to activate the gold surface is by cleaning via cyclic voltammetry, which involves repeatedly scanning the potential from the double-layer region to the oxide-formation region [35]. Such a method is also useful for detecting the presence of reducible cations (e.g., Ag+ from the Ag/AgNO3 reference electrode, in our case) but no such peaks were found.
These studies used a traditional three-electrode system, with gold as the working electrode, platinum wire as the counter electrode, and aqueous Ag/AgNO3 (10 mM) as the reference electrode (+0.8 V versus SHE). All solutions were purged with H2 (5.16% in N2) gas for about 20 min to ensure saturation, and potentials are reported vs. SHE, unless stated otherwise. Potentiodynamic polarization (PDP) data were recorded in H2SO4 (0.5 and 1.0 M) solutions from 0.0 to −0.3 V vs. SHE with scan rates of 1 mV/s using a VersaSTAT3 potentiostat. All potentials reported here were corrected for the ohmic drop using the solution resistance calculated from the EIS data. The EIS measurements were performed potentiostatically over a frequency range of 10 kHz–0.1 Hz by superimposing a sinusoidal excitation of 10 mV (peak-to-peak) on the chosen polarization potentials (−0.12 to −0.25 V vs. SHE) imposed by a VersaSTAT3 potentiostat. All electrochemical measurements were conducted at temperatures of 20 and 24 °C in H2SO4 (0.5) and H2SO4 (1.0 M), respectively.
3. Model Development
The HER is generally regarded as proceeding through three steps (Equations (1)–(3)), known as the VHT mechanism [13]. The initial adsorption of protons from the solution is referred to as the Volmer reaction (Equation (1)). In the second reaction (Equation (2)), the “Heyrovsky step”, a proton from the solution combines with the adsorbed hydrogen (Hads) and an electron to produce H2, which diffuses into the solution. The “Tafel step” (Equation (3)) provides an additional route to H2 by the reactive elimination of two adjacent adsorbed surface hydrogen atoms.
The Faradaic current density () corresponding to the VHT mechanism is given by:
where C1 and C2 represent the H+ and H2 concentrations in solutions, , , , and represent the forward and reverse rate constants for Reactions (1) and (2), respectively, represents the fractional coverage of , and is the Faraday constant. The concentration gradients for H+ and H2 are ignored in the model derivation since the measurements are performed in the moderate overpotential in which diffusion does not contribute significantly. However, this may not be correct at higher overpotentials. The rate constants are expressed as:
Here, E is the applied potential, Eeq is the standard equilibrium potential [Eeq: 0.0025 V vs. SHE in H2SO4 (0.5 M), Eeq: 0.023 V vs. SHE in H2SO4 (1.0 M)], is the standard rate constant of Reactions (1)–(3), , and . The current is a function of surface coverage ( and V, the total differential of Equation (4) is then:
Therefore,
where . The partial differentials are then easily obtained as:
The variation of with time resulting from the imposition of the sinusoidal excitation can be calculated from the mass balance equation, assuming Langmuir adsorption conditions:
Taking the total differential of Equation (15) and noting that for a sinusoidal variation (16)
we obtain
The steady-state fractional surface coverage can be obtained by solving the following second-order quadratic equations:
We define the parameters as follows to solve the steady-state fractional surface coverage :
Only gives positive values; therefore, can be eliminated from the admittance equation.
Substitution of Equations (13), (14) and (17) in Equation (12) gives the admittance as follows:
The total impedance of the system can then be expressed as:
where is the Faradaic impedance for the HER, which is the inverse of the interfacial admittance (Equation (20)), represents the double-layer capacitor’s impedance, and Rs is the solution resistance. The double-layer capacitance in the circuit was changed to a constant phase element (CPE) because, as found in this work, depressed semicircles are typically seen on solid electrodes in the Nyquist plane. The need for this modification reflects the inhomogeneity of the polycrystalline electrode surface, which creates a variety of capacitive states, and consequently, a distribution in the relaxation time. The impedance of the CPE is described in Equation (22):
where is a constant relating to the electrode capacitance and is a constant that reflects the depression angle.
4. Model Optimization Procedure
In the first step, the pre-exponential rate constants and charge-transfer coefficients were estimated by optimizing the DC part of the model on the experimental PDP data. The best-fit parameters obtained from the first step were then used as initial guesses to optimize the model on the experimental EIS data. The optimization of the model on the PDP data was run in MATLAB, Version R2021a, and the optimization of the model on the EIS data was performed using a genetic curve-fitting approach, implemented in Igor Pro (Version 8.04, WaveMetrics, Inc., Portland, OR, USA) with a custom software interface powered by Andrew Nelson’s “gencurvefit” package [46].
5. Results and Discussions
5.1. Optimization of the Model on Potentiodynamic Polarization (PDP) Data
Figure 1 shows the DC part of the model optimized on the experimental PDP data in H2SO4 (0.5 and 1.0 M) solutions, and the best-fit parameters are summarized in Table 1. In Figure 1, the red lines demonstrate the experimental PDP data and the black dashed lines show the simulated PDP data; as can be seen, a near-perfect match exists between the experimental and simulated PDP data (very small values of ). This demonstrates that the model accounts for the experimental data well. The model parameters, including charge-transfer coefficients and pre-exponential rate constants, are summarized in Table 1 and are used as initial guesses in the model optimization on EIS data in the final step of this analysis. The reduced goodness-of-fit at lower potentials may be attributed to the surface diffusion of hydrogen reported to occur at a lower potential [24], a factor that our model disregards.
Figure 1.
Optimization of the model on potentiodynamic polarization (PDP) data in H2SO4 (0.5 and 1.0 M).
Table 1.
Best-fit parameters obtained from the model optimization on the experimental PDP data.
5.2. Validity of the Impedance Data
Linear system theory (LST) requires that causality, stability, linearity, and finiteness must all be met by the system under consideration [49,50,51]. Therefore, a linear Kramer–Kronig transformation (KKT) was used to verify that all EIS data satisfy these important criteria. Figure 2 illustrates the KKT of the EIS data collected in H2SO4 (0.5 and 1.0 M) at various potentials. The results indicate that the LST constraints are fulfilled by the excellent agreement between the predicted imaginary and real components from KKT and the experimental data. Any data points that did not satisfy the KKT were eliminated before further analysis.
Figure 2.
Kramers–Kronig transforms of the real and imaginary components of the EIS data.
5.3. Model Optimization on the EIS Data
Figure 3 shows Nyquist and Bode phase plots of the EIS spectra for the HER on polycrystalline Au in H2SO4 (0.5 and 1.0 M) solutions as a function of potential, based on the optimized impedance model. The kinetic parameters obtained from the optimization are summarized in Table 2 and Table 3. The Nyquist plots are depressed semi-circles with an inductive response at lower frequencies, representing adsorption–desorption of the Hads intermediate. Also, upon increasing the concentration of the sulfuric acid solution (lowering the pH) and increasing the applied cathodic potential, the magnitude of the impedance decreases, indicating more facile electron transfer. These graphs also show the best-fit results derived from the suggested mechanism as solid lines. The excellent agreement between the experimental findings and those predicted by the model provides evidence that the proposed mechanism is viable and provides confidence that the parameter values are adequate to explain the experimental findings.

Figure 3.
Nyquist and Bode plots of the EIS spectra for the HER on Au in aqueous H2O4 (0.5 and 1.0 M) solutions, at several cathodic overpotentials. The model predictions are shown as lines, and the experimental data are shown as points.
Table 2.
Best-fit parameters and calculated rate constants obtained from the model optimization on experimental EIS data in H2SO4 (0.5 M).
Table 3.
Best-fit parameters and calculated rate constants obtained from the model optimization on experimental EIS data in H2SO4 (1.0 M).
Figure 4 shows the predicted steady-state current density calculated using the extracted parameters (Equation (4) from model optimization on the EIS data. The experimental steady-state current density results and those predicted by the model correspond quite well, demonstrating that the proposed mechanism accounts for the HER on gold in H2SO4 (0.5 and 1.0 M) solutions well.
Figure 4.
Steady-state current density predicted by the impedance model and comparison with the experimental values at each applied potential in H2SO4 (0.5 and 1.0 M) solutions.
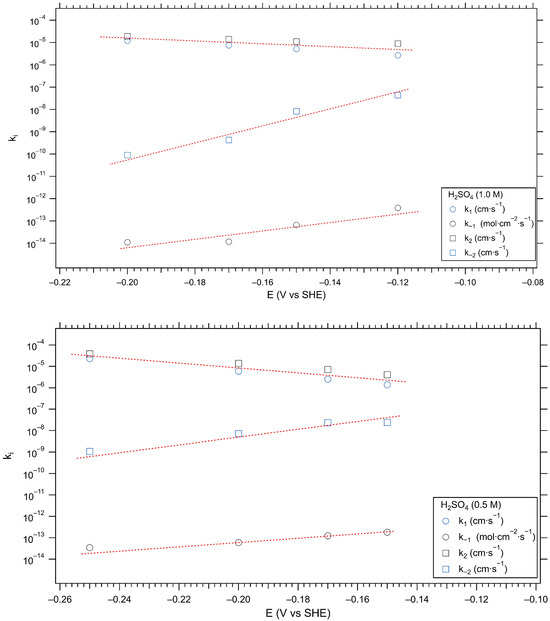
Figure 5 and Figure 6 show the calculated rate constants and estimated charge-transfer coefficients from optimization of the model on the EIS data for Reactions (1) and (2) as a function of potential. The rate constants for the forward reactions increase when increasing the overpotential, and the opposite occurs for the reverse reactions. The logarithm of the rate constants changes linearly with potential, in agreement with the theory of electrochemical kinetics [52]. In addition, no systematic dependency of the charge-transfer coefficients on potential is evident in Figure 6. The average values of the forward and backward standard rate constants for Reactions (1) and (2) ( in the 0.5 M H2SO4 solution are of the order of and , and ( in the 1.0 M H2SO4 solution are of the order of and , respectively. The estimated rate constants for the VHT steps exhibit a similar range of magnitude to the values reported in Meethal’s study for the HER on gold in the HClO4 solution [35]. Furthermore, as expected, the forward and backward standard rate constants values for Reaction 3 in both solutions remain relatively unaffected by changes in potential. The average values of the charge-transfer coefficients ( and ) are 0.59 and 0.85 in 0.5 M H2SO4, and 0.45 and 0.87 in 1.0 M H2SO4, respectively. The average magnitudes of the charge-transfer coefficients obtained from our model optimization on both PDP and EIS data, however, do not align with the values reported in Meethal’s study of HER kinetics on gold in a HClO4 solution, (α1, 0.72; α2, 0.55) [35]. Those results have the opposite order of our model’s prediction for those values in the 0.5 and 1.0 M H2SO4 solutions. The observed discrepancies in our experimental results could potentially be attributed to the choice of electrolytes used. In our study, we employed a sulfuric acid solution containing adsorbing anions such as bisulfate and sulfate [53]. In Meethal’s experiment, however, the utilized perchloric acid and the perchlorate ions exhibit a lower affinity for adsorption onto gold surfaces. Furthermore, Meethal’s model incorporates diffusion effects, which may have an impact on the determination of charge-transfer coefficients in the system.
Figure 5.
Calculated rate constants as a function of potential for HER reactions on gold in H2SO4 (0.5 and 1.0 M) solutions.
Figure 6.
Estimated charge-transfer coefficients for Reactions (1) and (2) from the optimization of the model on EIS data in H2SO4 (0.5 and 1.0 M) solutions. The dashed lines are guides to the eye, not fits to the data.
In the context of the theory of partial charges for the kinetics of electrochemical processes, the transfer coefficient is a measure of the location of the activated complex (transition state) between the initial and final states. For Reactions (1) and (2), the partial-charge representation of the reactions may be written as:
where superscript “ǂ” designates the transition state. The schemes can be tested by setting and equal zero (initial state) and 1 (final state). As a result, the character of the transition state can be judged from the transfer coefficient, which is a measure of where it occurs along the reaction coordinate. Thus, if 0 < α < 0.2 the transition state is said to be “reactant-like”, if 0.8 < α < 1 the transition state is “product like”, and if 0.2 < α < 0.8 the transition state is intermediate between the reactants and products. Based on these considerations, the transition state for Reaction (1) is intermediate between reactants and products at both concentrations, whereas the transition state for Reaction (2) is product-like at both concentrations.
Furthermore, fractional surface coverages of adsorbed hydrogen () on gold in aqueous H2SO4 (0.5 and 1.0 M) solutions, calculated from Equation (19e) and summarized in Table 2 and Table 3. The fractional surface coverage of Hads increases with an increasing overpotential; however, the small values of demonstrate a weak adsorption of hydrogen on the gold surface overall. The estimated in this study is in a good agreement with those values reported in the literature for the HER on gold in acidic solutions [24,35].
Figure 7 and Figure 8 depict the comparison between the Tafel slope estimated from the experimental data and the Tafel slope predicted by the model in H2SO4 solutions (0.5 M and 1.0 M). The Tafel slope in H2SO4 (0.5 M) is estimated to be 81 mV/dec, while in H2SO4 (1.0 M) it is approximately 120–124 mV/dec. Literature reports of the Tafel slopes for the HER on gold in acidic solutions reveal two distinct slopes depending on the applied overpotentials [22,24,30,54,55,56,57,58]. At lower overpotentials, the Tafel slope ranges from 30 to 97 mV/dec, while at larger overpotentials, it falls within the range of 97 to 141 mV/dec [22,24,30,54,55,56,57,58]. The Tafel slopes predicted by the model optimizations align well with both the experimental data and the reported values in the literature. This agreement further validates the accuracy and reliability of the model’s predictions.
Figure 7.
Estimated Tafel slope from steady-state current density of HER on gold in H2SO4 (0.5 M), open circles (Experimental), filled circles (Model), and dashed lines are the regression.
Figure 8.
Tafel slope estimated from steady-state current density of HER on gold in H2SO4 (1.0 M), open circles (Experimental), filled circles (Model), and dashed lines are the regression.
Figure 9 illustrates the estimated exchange current density from the polarization data in H2SO4 solutions (0.5 M and 1.0 M). The exchange current densities are estimated from fitting experimental polarization data on Equation (25).
where is the exchange current density, F is the Faraday constant (96,485 Columb/mol), is the charge-transfer coefficient, T is the temperature, R is the universal gas constant (8.314 J/mol.K) and is the equilibrium potential. Exchange current densities were estimated to be in the order of 5.64 × 10−6 and 1.62 × 10−5 in H2SO4 solutions (0.5 M and 1.0 M), respectively.

Figure 9.
Estimation of exchange current densities of HER on gold in H2SO4 solutions (0.5 M and 1.0 M).
5.4. Sensitivity Analysis
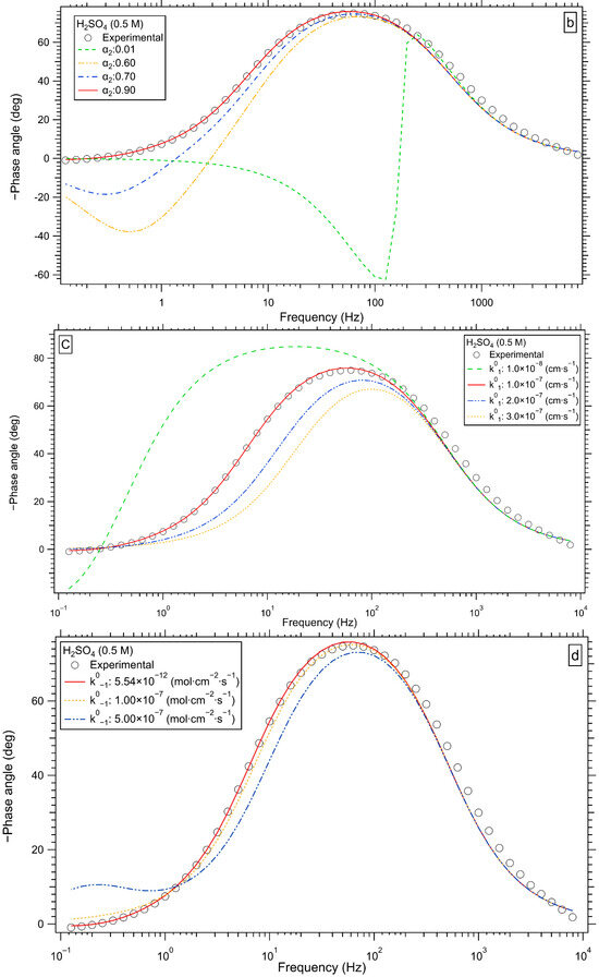
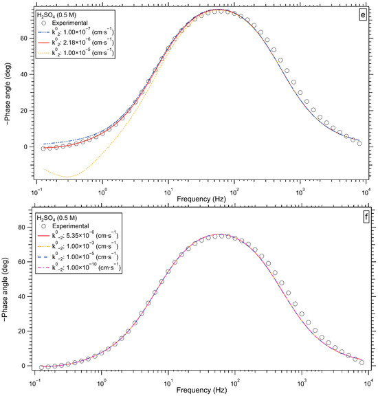
To investigate the impact of the model parameters on the calculated impedance, a sensitivity analysis was conducted. In this analysis, each individual parameter was systematically varied to assess its corresponding effect on the total impedance [47]. Figure 10 and Figure 11 present the outcomes of the sensitivity analysis carried out on the impedance for H2SO4 (0.5 and 1.0 M). It is evident that the charge-transfer coefficients and standard rate constants for the forward and reverse Reaction (1) and for the forward Reaction (2) have a major effect on the calculated impedance from moderate to lower frequencies where the impedance is more sensitive to Faradic (charge transfer) phenomena. The variation of the standard rate constant for the reverse Reaction (2), which is associated with the hydrogen oxidation reaction, does not impact the calculated impedance, which indicates that hydrogen oxidation may not occur at the potential range applied in this study.


Figure 10.
Sensitivity analysis of important electrochemical parameters of charge-transfer coefficients (a,b), and standard rate constants of forward and backward Reactions (1) (c,d) and (2) (e,f) in H2SO4 (0.5 M).


Figure 11.
Sensitivity analysis of important electrochemical parameters of charge-transfer coefficients (a,b), and standard rate constants of forward and backward Reactions (1) (c,d) and (2) (e,f) in H2SO4 (1.0 M).
6. Conclusions
The aim of this study was to investigate the kinetics of the HER on polycrystalline gold in aqueous H2SO4 solutions (0.5 and 1.0 M), to reveal mechanistically relevant information. To achieve this goal, we developed an impedance model based on the VHT mechanism. The model was optimized using experimental polarization (PDP) data and subsequently refined using electrochemical impedance spectroscopy data. By optimizing the model on the PDP data, parameter values for the HER were extracted. These parameters, including rate constants and charge-transfer coefficients, were then used as initial guesses for the optimization process on the EIS data.
The findings of the study revealed several significant insights. First, the fractional surface coverage of hydrogen () increased as the overpotential increased, and a small value of indicates a weak adsorption of H on gold. Additionally, through partial-charge analysis, the study identified the transition-state characteristics for two reactions. For Reaction (1), the transition state was found to be intermediate between reactants and products in both 0.5 M and 1.0 M H2SO4 solutions, whereas the transition state for Reaction (2) is “product-like” at both concentrations. These findings contribute to a deeper understanding of the kinetics of the HER on polycrystalline gold in H2SO4 solutions.
The Tafel slopes and exchange current densities in H2SO4 (0.5 and 1.0 M) were estimated to be in the range of 81–124 mV/dec and 10−6 to 10−5 A/cm2, respectively. A sensitivity analysis was conducted on the impact of the kinetics parameters on the calculated impedance. This analysis indicated that the charge-transfer coefficients and standard rate constants for Reactions (1) and (2)—but not the standard rate constant for the reverse Reaction (2)—have a significant impact on the calculated impedance. Thus, the use of an optimized impedance model, combined with the insights gained from the experimental data, provides valuable improvements in accurately describing and predicting the behavior of the HER in this system.
Author Contributions
Conceptualization, Z.G.; Methodology, Z.G.; Validation, Z.G.; Formal analysis, Z.G.; Investigation, Z.G.; Writing—original draft, Z.G.; Writing—review & editing, D.D.M. and G.S.F.; Supervision, G.S.F. All authors have read and agreed to the published version of the manuscript.
Funding
This research received no external funding.
Data Availability Statement
The raw data will be provided upon request.
Acknowledgments
We gratefully acknowledge Ramanathan Srinivasan at the Indian Institute of Technology-Madras, Chennai, India for providing technical support and helpful discussion on the experimental procedures and model development. We would like to express our sincere appreciation to Lehigh University for the generous financial support, which enabled us to acquire the impedance module for the VersaSTAT3 potentiostat. We also gratefully thank Nicholas Strandwitz for providing hydrogen gas for this project. The contribution of the University of California at Berkeley is also gratefully acknowledged.
Conflicts of Interest
The authors declare no conflict of interest.
References
- Field, R.; Derwent, R. Global warming consequences of replacing natural gas with hydrogen in the domestic energy sectors of future low-carbon economies in the United Kingdom and the United States of America. Int. J. Hydrogen Energy 2021, 46, 30190–30203. [Google Scholar] [CrossRef]
- Acar, C.; Dincer, I. The potential role of hydrogen as a sustainable transportation fuel to combat global warming. Int. J. Hydrogen Energy 2020, 45, 3396–3406. [Google Scholar] [CrossRef]
- Dawood, F.; Anda, M.; Shafiullah, G. Hydrogen production for energy: An overview. Int. J. Hydrogen Energy 2020, 45, 3847–3869. [Google Scholar] [CrossRef]
- Nikolaidis, P.; Poullikkas, A. A comparative overview of hydrogen production processes. Renew. Sustain. Energy Rev. 2017, 67, 597–611. [Google Scholar] [CrossRef]
- Acar, C.; Dincer, I. Comparative assessment of hydrogen production methods from renewable and non-renewable sources. Int. J. Hydrogen Energy 2014, 39, 1–12. [Google Scholar] [CrossRef]
- Santos, D.M.F.; Sequeira, C.A.C.; Figueiredo, J.L. Hydrogen production by alkaline water electrolysis. Química Nova 2013, 36, 1176–1193. [Google Scholar] [CrossRef]
- Chi, J.; Yu, H. Water electrolysis based on renewable energy for hydrogen production. Chin. J. Catal. 2018, 39, 390–394. [Google Scholar] [CrossRef]
- Bhandari, R.; Trudewind, C.A.; Zapp, P. Life cycle assessment of hydrogen production via electrolysis—A review. J. Clean. Prod. 2014, 85, 151–163. [Google Scholar] [CrossRef]
- Younas, M.; Shafique, S.; Hafeez, A.; Javed, F.; Rehman, F. An Overview of Hydrogen Production: Current Status, Potential, and Challenges. J. Fuel 2022, 316, 123317. [Google Scholar] [CrossRef]
- Zhang, B.; Zhang, S.-X.; Yao, R.; Wu, Y.-H.; Qiu, J.-S. Progress and prospects of hydrogen production: Opportunities and challenges. J. Electron. Sci. Technol. 2021, 19, 100080. [Google Scholar] [CrossRef]
- Ďurovič, M.; Hnát, J.; Bouzek, K. Electrocatalysts for the hydrogen evolution reaction in alkaline and neutral media. A comparative review. J. Power Sources 2021, 493, 229708. [Google Scholar]
- Pentland, N.; Bockris, J.O.M.; Sheldon, E. Hydrogen evolution reaction on copper, gold, molybdenum, palladium, rhodium, and iron. J. Electrochem. Soc. 1957, 104, 182. [Google Scholar] [CrossRef]
- Lasia, A. Mechanism and kinetics of the hydrogen evolution reaction. Int. J. Hydrogen Energy 2019, 44, 19484–19518. [Google Scholar]
- Trasatti, S. Work function, electronegativity, and electrochemical behavior of metals III, Electrolytic hydrogen evolution in acid solutions. J. Electroanal. Chem. 1972, 39, 163–184. [Google Scholar] [CrossRef]
- Conway, B.E.; Jerkiewicz, G. Relation of energies and coverages of underpotential and overpotential deposited H at Pt and other metals to the ‘volcano curve’ for cathodic H2 evolution kinetics. Electrochim. Acta 2000, 45, 4075–4083. [Google Scholar] [CrossRef]
- Campbell, F.W.; Belding, S.R.; Baron, R.; Xiao, L.; Compton, R.G. The Hydrogen Evolution Reaction at a Silver Nanoparticle Array and a Silver Macroelectrode Compared: Changed Electrode Kinetics between the Macro- and Nanoscales. J. Phys. Chem. C 2009, 113, 14852–14857. [Google Scholar] [CrossRef]
- Zhu, J.; Hu, L.; Zhao, P.; Lee, L.Y.S.; Wong, K.-Y. Recent Advances in Electrocatalytic Hydrogen Evolution Using Nanoparticles. Chem. Rev. 2020, 120, 851–918. [Google Scholar]
- Li, Y.; Li, S.; Nagarajan, A.V.; Liu, Z.; Nevins, S.; Song, Y.; Mpourmpakis, G.; Jin, R. Hydrogen Evolution Electrocatalyst Design: Turning Inert Gold into Active Catalyst by Atomically Precise Nanochemistry. J. Am. Chem. Soc. 2021, 143, 11102–11108. [Google Scholar] [CrossRef]
- Tran, T.D.; Nguyen, M.T.T.; Le, H.V.; Nguyen, D.N.; Truong, Q.D.; Tran, P.D. Gold nanoparticles as an outstanding catalyst for the hydrogen evolution reaction. Chem. Commun. 2018, 54, 3363–3366. [Google Scholar] [CrossRef]
- Mei, L.; Gao, X.; Gao, Z.; Zhang, Q.; Yu, X.; Rogach, A.L.; Zeng, Z. Size-selective synthesis of platinum nanoparticles on transition-metal dichalcogenides for the hydrogen evolution reaction. Chem. Commun. 2021, 57, 2879–2882. [Google Scholar] [CrossRef]
- Kibler, L.A.; Hermann, J.M.; Abdelrahman, A.; El-Aziz, A.A.; Jacob, T. New insights on hydrogen evolution at Au single crystal electrodes. Curr. Opin. Electrochem. 2018, 9, 265–270. [Google Scholar] [CrossRef]
- Perez, J.; Gonzalez, E.R.; Villullas, H.M. Hydrogen evolution reaction on gold single-crystal electrodes in acid solutions. J. Phys. Chem. B 1998, 102, 10931–10935. [Google Scholar] [CrossRef]
- Kibler, L.A. Hydrogen electrocatalysis. Chem. Phys. Chem. 2006, 7, 985–991. [Google Scholar] [CrossRef] [PubMed]
- Kahyarian, A.; Brown, B.; Nesic, S. Mechanism of the hydrogen evolution reaction in mildly acidic environments on gold. J. Electrochem. Soc. 2017, 164, H365–H374. [Google Scholar] [CrossRef]
- Smiljanić, M.; Srejić, I.; Grgur, B.; Rakočević, Z.; Štrbac, S. Catalysis of hydrogen evolution on Au(111) modified by spontaneously deposited Pd nanoislands. Electrocatalysis 2012, 3, 369–375. [Google Scholar] [CrossRef]
- Sasaki, T.; Matsuda, A. Mechanism of hydrogen evolution reaction on gold in aqueous sulfuric acid and sodium hydroxide. J. Res. Inst. Catal. Hokkaido Univ. 1981, 29, 113–132. [Google Scholar]
- Wang, Y.; Sun, Y.; Liao, H.; Sun, S.; Li, S.; Ager, J.W.; Xu, Z.J. Activation effect of electrochemical cycling on gold nanoparticles towards the hydrogen evolution reaction in sulfuric acid. Electrochim. Acta 2016, 209, 440–447. [Google Scholar] [CrossRef]
- Sukeri, A.; Bertotti, M. Nanoporous gold surface: An efficient platform for hydrogen evolution reaction at very low overpotential. J. Braz. Chem. Soc. 2018, 29, 226–231. [Google Scholar] [CrossRef]
- Tang, Z.-Q.; Liao, L.-W.; Zheng, Y.-L.; Kang, J.; Chen, Y.-X. Temperature effect on hydrogen evolution reaction at Au electrode. Chin. J. Chem. Phys. 2012, 25, 469–474. [Google Scholar] [CrossRef]
- Khanova, L.A.; Krishtalik, L.I. Kinetics of the hydrogen evolution reaction on gold electrode. A new case of the barrierless discharge. J. Electroanal. Chem. 2011, 660, 224–229. [Google Scholar] [CrossRef]
- Xu, Y. The hydrogen evolution reaction on single crystal gold electrode. Int. J. Hydrogen Energy 2009, 34, 77–83. [Google Scholar] [CrossRef]
- Goyal, A.; Marcandalli, G.; Mints, V.A.; Koper, M.T. Competition between CO2 reduction and hydrogen evolution on a gold electrode under well-defined mass transport conditions. J. Am. Chem. Soc. 2020, 142, 4154–4161. [Google Scholar] [CrossRef] [PubMed]
- Alshammari, B.H.; Begum, H.; Ibrahim, F.A.; Hamdy, M.S.; Oyshi, T.A.; Khatun, N.; Hasnat, M.A. Electrocatalytic Hydrogen Evolution Reaction from Acetic Acid over Gold Immobilized Glassy Carbon Surface. Catalysts 2023, 13, 744. [Google Scholar] [CrossRef]
- Brug, G.J.; Sluyters-Rehbach, M.; Sluyters, J.H.; Hemelin, A. The kinetics of the reduction of protons at polycrystalline and monocrystalline gold electrodes. J. Electroanal. Chem. Interfacial Electrochem. 1984, 181, 245–266. [Google Scholar] [CrossRef]
- Meethal, R.P.; Saibi, R.; Srinivasan, R. Hydrogen evolution reaction on polycrystalline Au inverted rotating disc electrode in HClO4 and NaOH solutions. Int. J. Hydrogen Energy 2022, 47, 14304–14318. [Google Scholar] [CrossRef]
- Macdonald, D.D. Review of mechanistic analysis by electrochemical impedance spectroscopy. Electrochim. Acta 1990, 35, 1509–1525. [Google Scholar] [CrossRef]
- Srinivasan, R.; Fasmin, F. An Introduction to Electrochemical Impedance Spectroscopy; CRC Press: Boca Raton, FL, USA, 2021. [Google Scholar]
- Orazem, M.E.; Tribollet, B. Electrochemical Impedance Spectroscopy; John Wiley & Sons: Hoboken, NJ, USA, 2017. [Google Scholar]
- Macdonald, D.D.; McKubre, M.C.H. Impedance measurements in electrochemical systems. In Chapter 2 in Modern Aspects of Electrochemistry; Bockris, J.O., Conway, B.E., White, R.E., Eds.; Plenum Press: New York, NY, USA, 1982; Volume 14, p. 61. [Google Scholar]
- Choquette, Y.; Brossard, L.; Lasia, A.; Menard, H. Study of the Kinetics of Hydrogen Evolution Reaction on Raney Nickel Composite-Coated Electrode by AC Impedance Technique. J. Electrochem. Soc. 1990, 137, 1723. [Google Scholar] [CrossRef]
- Nikolic, V.M.; Maslovara, S.L.J.; Tasic, G.S.; Brdaric, T.P.; Lausevic, P.Z.; Radak, B.B.; Kaninski, M.P.M. Kinetics of hydrogen evolution reaction in alkaline electrolysis on a Ni cathode in the presence of Ni–Co–Mo based ionic activators. Appl. Catal. B 2015, 179, 88–94. [Google Scholar] [CrossRef]
- Alobaid, A.; Wang, C.; Adomaitis, R.A. Mechanism and Kinetics of HER and OER on NiFe LDH Films in an Alkaline Electrolyte. J. Electrochem. Soc. 2018, 165, J3395–J3404. [Google Scholar] [CrossRef]
- Franceschini, E.A.; Lacconi, G.I.; Corti, H.R. Kinetics of the hydrogen evolution on nickel in alkaline solution: New insight from rotating disk electrode and impedance spectroscopy analysis. Electrochim. Acta 2015, 159, 210–218. [Google Scholar] [CrossRef]
- Ohmori, T.; Enyo, M. Hydrogen evolution reaction on gold electrode in alkaline solutions. Electrochim. Acta 1992, 37, 2021–2028. [Google Scholar] [CrossRef]
- Sharifi-Asl, S.; Macdonald, D.D. Investigation of the Kinetics and Mechanism of the Hydrogen Evolution Reaction on Copper. J. Electrochem. Soc. 2013, 160, H382. [Google Scholar] [CrossRef]
- GenCurvefit | IgorExchange. Available online: http://www.igorexchange.com/project/gencurvefit (accessed on 10 February 2021).
- Sharifi-Asl, S.; Taylor, M.L.; Lu, Z.; Engelhardt, G.R.; Kursten, B.; Macdonald, D.D. Modeling of the electrochemical impedance spectroscopic behavior of passive iron using a genetic algorithm approach. Electrochim. Acta 2013, 102, 161–173. [Google Scholar] [CrossRef]
- Ghelichkhah, Z.; Ferguson, G.S.; Macdonald, D.D.; Asl, S.S. Point defect model description of the formation of anodic gold oxide in H2SO4 solution. J. Electrochem. Soc. 2021, 168, 041506. [Google Scholar] [CrossRef]
- Macdonald, M.U.; Real, S.; Macdonald, D.D. Applications of Kramers-Kronig transforms in the analysis of electrochemical impedance data—III. Stability and linearity. Electrochim. Acta 1990, 35, 1559–1566. [Google Scholar] [CrossRef]
- Macdonald, D.D.; Macdonald, M.U. Application of Kramers-Kronig transforms in the analysis of electrochemical systems I. Polarization Resistance. J. Electrochem. Soc. 1985, 132, 2316. [Google Scholar] [CrossRef]
- Macdonald, M.U.; Real, S.; Macdonald, D.D. Application of Kramers-Kronig transforms in the analysis of electrochemical impedance data II. Transformations in the complex plane. J. Electrochem. Soc. 1986, 133, 2018. [Google Scholar] [CrossRef]
- Bard, A.J.; Faulkner, L.R. Electrochemical Methods: Fundamentals and Applications; Wiley: New York, NY, USA, 1980. [Google Scholar]
- Ghelichkhah, Z.; Srinivasan, R.; Macdonald, D.D.; Ferguson, G.S. Anion-catalyzed active dissolution model for the electrochemical adsorption of bisulfate, sulfate, and oxygen on gold in H2SO4 solution. Electrochim. Acta 2023, 439, 141515. [Google Scholar] [CrossRef]
- Chun, J.H.; Ra, K.H.; Kim, N.Y. Langmuir Adsorption Isotherms of Overpotentially Deposited Hydrogen at Poly-Au and Rh / H2SO4 Aqueous Electrolyte Interfaces: Qualitative Analysis Using the Phase-Shift Method. J. Electrochem. Soc. 2003, 150, E207. [Google Scholar] [CrossRef]
- Conway, B.E.; Bai, L. State of adsorption and coverage by overpotential-deposited H in the H2 evolution reaction at Au and Pt. Electrochim. Acta 1986, 31, 1013–1024. [Google Scholar] [CrossRef]
- Kuhn, A.T.; Byrne, M. The hydrogen- and deuterium-evolution reactions on gold in acid solutions. Electrochim. Acta 1971, 16, 391–399. [Google Scholar] [CrossRef]
- Hillson, P.J. Adsorption and the hydrogen overpotential. Trans. Faraday Soc. 1952, 48, 462–473. [Google Scholar] [CrossRef]
- Parsons, R.; Picq, G.; Vennereau, P. Comparison between the protonation of atomic hydrogen resulting in hydrogen evolution and in the protonic trapping of photoemitted electrons on gold electrodes. J. Electroanal. Chem. 1984, 181, 281–287. [Google Scholar] [CrossRef]
Disclaimer/Publisher’s Note: The statements, opinions and data contained in all publications are solely those of the individual author(s) and contributor(s) and not of MDPI and/or the editor(s). MDPI and/or the editor(s) disclaim responsibility for any injury to people or property resulting from any ideas, methods, instructions or products referred to in the content. |
© 2024 by the authors. Licensee MDPI, Basel, Switzerland. This article is an open access article distributed under the terms and conditions of the Creative Commons Attribution (CC BY) license (https://creativecommons.org/licenses/by/4.0/).