Area under the Curve as an Alternative to Latent Growth Curve Modeling When Assessing the Effects of Predictor Variables on Repeated Measures of a Continuous Dependent Variable
Abstract
1. Introduction
2. Methods
2.1. Initial Analysis Using PSID Data
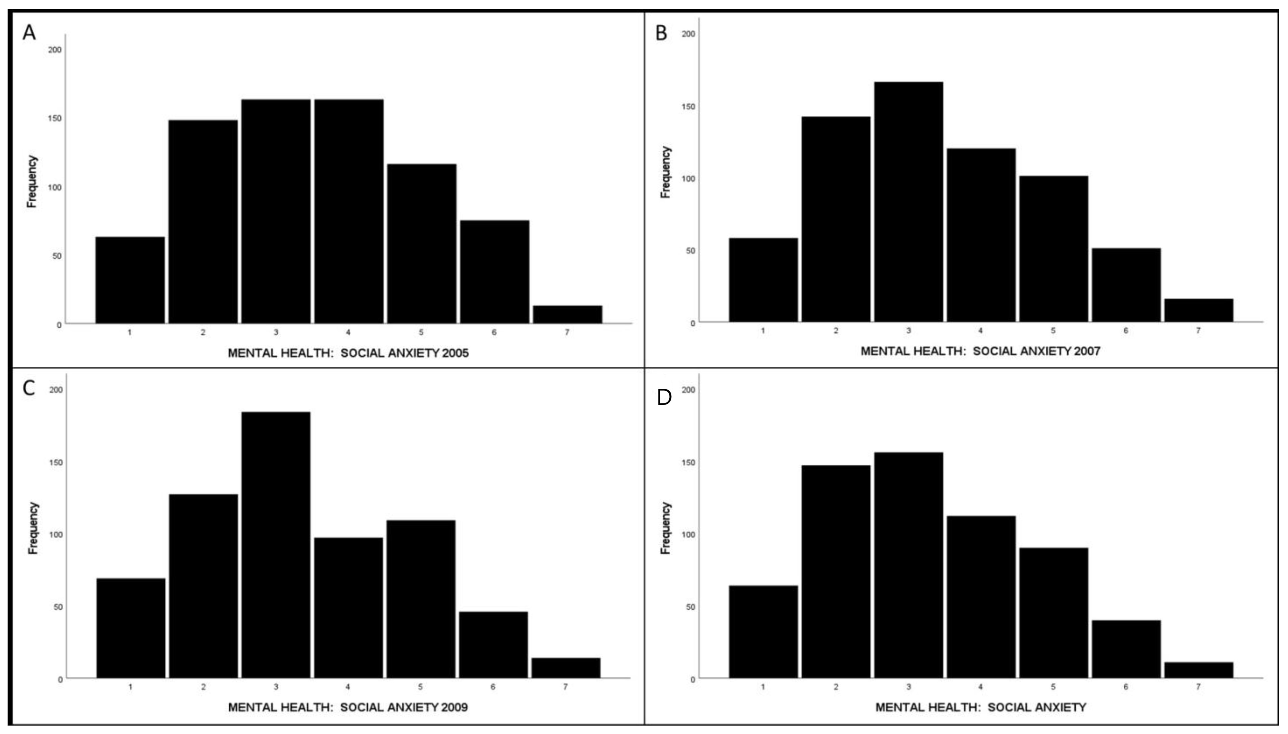
2.2. Social Anxiety
2.3. Area under the Curve
2.4. Predictor Variables
2.5. Data Analysis and Statistics
2.5.1. Latent Growth Curve Modeling
2.5.2. Multiple Imputation
2.5.3. Monte Carlo Simulations
3. Results
3.1. Descriptive Statistics
3.2. Latent Growth Curve Model
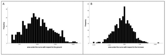
3.3. AUC-g
3.4. AUC-i
3.5. Multiple Imputation Analysis for the Area under the Curve
3.6. Monte Carlo Simulation Studies
3.6.1. LGCM
3.6.2. AUC
4. Discussion
Supplementary Materials
Funding
Institutional Review Board Statement
Informed Consent Statement
Data Availability Statement
Conflicts of Interest
References
- Pituch, K.A.; Stevens, J.P. Applied Multivariate Statistics for the Social Sciences: Analyses with SAS and IBM’s SPSS; Routledge: London, UK, 2015. [Google Scholar]
- Rodriguez, D. Research Methods; Kendall Hunt Publishing Company: Dubuque, IA, USA, 2021. [Google Scholar]
- Park, E.; Cho, M.; Ki, C.-S. Correct use of repeated measures analysis of variance. Korean J. Lab. Med. 2009, 29, 1–9. [Google Scholar] [CrossRef] [PubMed]
- Liang, K.-Y.; Zeger, S.L. Longitudinal data analysis using generalized linear models. Biometrika 1986, 73, 13–22. [Google Scholar] [CrossRef]
- Robins, J.M.; Rotnitzky, A.; Zhao, L.P. Analysis of semiparametric regression models for repeated outcomes in the presence of missing data. J. Am. Stat. Assoc. 1995, 90, 106–121. [Google Scholar] [CrossRef]
- Yang, C.; Diao, L.; Cook, R.J. Adaptive response—Dependent two—Phase designs: Some results on robustness and efficiency. Stat. Med. 2022, 41, 4403–4425. [Google Scholar] [CrossRef] [PubMed]
- Lane, S.P.; Hennes, E.P. Power struggles: Estimating sample size for multilevel relationships research. J. Soc. Pers. Relatsh. 2018, 35, 7–31. [Google Scholar] [CrossRef]
- Duncan, T.E.; Duncan, S.C. An introduction to latent growth curve modeling. Behav. Ther. 2004, 35, 333–363. [Google Scholar] [CrossRef]
- Muthén, B.O.; Curran, P.J. General longitudinal modeling of individual differences in experimental designs: A latent variable framework for analysis and power estimation. Psychol. Methods 1997, 2, 371. [Google Scholar] [CrossRef]
- Duncan, T.E.; Duncan, S.C. The ABC’s of LGM: An introductory guide to latent variable growth curve modeling. Soc. Personal. Psychol. Compass 2009, 3, 979–991. [Google Scholar] [CrossRef] [PubMed]
- Schminkey, D.L.; von Oertzen, T.; Bullock, L. Handling missing data with multilevel structural equation modeling and full information maximum likelihood techniques. Res. Nurs. Health 2016, 39, 286–297. [Google Scholar] [CrossRef]
- Rodriguez, D. Assessing Area under the Curve as an Alternative to Latent Growth Curve Modeling for Repeated Measures Zero-Inflated Poisson Data: A Simulation Study. Stats 2023, 6, 22. [Google Scholar] [CrossRef]
- Campbell, R.L.; Cloutier, R.; Bynion, T.M.; Nguyen, A.; Blumenthal, H.; Feldner, M.T.; Leen-Feldner, E.W. Greater adolescent tiredness is related to more emotional arousal during a hyperventilation task: An area under the curve approach. J. Adolesc. 2021, 90, 45–52. [Google Scholar] [CrossRef]
- Hearn, C.S.; Donovan, C.L.; Spence, S.H.; March, S. A worrying trend in Social Anxiety: To what degree are worry and its cognitive factors associated with youth Social Anxiety Disorder? J. Affect. Disord. 2017, 208, 33–40. [Google Scholar] [CrossRef]
- Mick, M.A.; Telch, M.J. Social Anxiety and History of Behavioral Inhibition in Young Adults. J. Anxiety Disord. 1998, 12, 1–20. [Google Scholar] [CrossRef] [PubMed]
- Morrison, A.S.; Heimberg, R.G. Social anxiety and social anxiety disorder. Annu. Rev. Clin. Psychol. 2013, 9, 249–274. [Google Scholar] [CrossRef]
- Asher, M.; Asnaani, A.; Aderka, I.M. Gender differences in social anxiety disorder: A review. Clin. Psychol. Rev. 2017, 56, 1–12. [Google Scholar] [CrossRef] [PubMed]
- Doré, I.; O’Loughlin, J.; Sylvestre, M.-P.; Sabiston, C.M.; Beauchamp, G.; Martineau, M.; Fournier, L. Not flourishing mental health is associated with higher risks of anxiety and depressive symptoms in college students. Can. J. Community Ment. Health 2020, 39, 33–48. [Google Scholar] [CrossRef]
- Kashdan, T.B.; Collins, R.L.; Elhai, J.D. Social anxiety and positive outcome expectancies on risk-taking behaviors. Cogn. Ther. Res. 2006, 30, 749–761. [Google Scholar] [CrossRef]
- Panel Study of Income Dynamics; Public Use Dataset; University of Michigan: Ann Arbor, MI, USA, 2012.
- Pruessner, J.C.; Kirschbaum, C.; Meinlschmid, G.; Hellhammer, D.H. Two formulas for computation of the area under the curve represent measures of total hormone concentration versus time-dependent change. Psychoneuroendocrinology 2003, 28, 916–931. [Google Scholar] [CrossRef]
- Hogg, R.; McKean, J.; Craig, A. Introduction to Mathematical Statistics, 6th ed.; Pearson Prentice Hall: Upper Saddle River, NJ, USA, 2004. [Google Scholar]
- Muthén, L.K.; Muthén, B.O. Mplus User’s Guide, 8th ed.; Muthén & Muthén: Los Angeles, CA, USA, 1998. [Google Scholar]
- Muthén, B.O. beyond SEM: General latent variable modeling. Behaviormetrika 2002, 29, 81–117. [Google Scholar] [CrossRef]
- Willett, J.B.; Bub, K.L. Latent growth curve analysis. In Encyclopedia of Statistics in the Behavioral Sciences; John Wiley and Sons: Sussex, UK, 2004. [Google Scholar]
- Hancock, G.R.; Choi, J. A vernacular for linear latent growth models. Struct. Equ. Model. 2006, 13, 352–377. [Google Scholar] [CrossRef]
- Hooper, D.; Coughlan, J.; Mullen, M. Evaluating model fit: A synthesis of the structural equation modelling literature. In Proceedings of the 7th European Conference on Research Methodology for Business and Management Studies, London, UK, 19–20 June 2008; pp. 195–200. [Google Scholar]
- Little, R.J.A.; Rubin, D.B. Statistical Analysis with Missing Data, 2nd ed.; John Wiley & Sons, Inc: Hoboken, NJ, USA, 2002. [Google Scholar]
- Asparouhov, T.; Muthén, B. Multiple imputation with Mplus. MPlus Web Notes 2010, 29, 238–246. [Google Scholar]
- Matore, E.M.; Khairani, A.Z. The pattern of skewness and kurtosis using mean score and logit in measuring adversity quotient (AQ) for normality testing. Int. J. Future Gener. Commun. Netw. 2020, 13, 688–702. [Google Scholar]
- Demir, S. Comparison of normality tests in terms of sample sizes under different skewness and Kurtosis coefficients. Int. J. Assess. Tools Educ. 2022, 9, 397–409. [Google Scholar] [CrossRef]
- Wright, D.B.; Herrington, J.A. Problematic standard errors and confidence intervals for skewness and kurtosis. Behav. Res. Methods 2011, 43, 8–17. [Google Scholar] [CrossRef] [PubMed]



| Variable | Level | N | % | ||
|---|---|---|---|---|---|
| Biological sex | Female | 393 | 53 | ||
| Male | 348 | 47 | |||
| N | Mean | SD | |||
| Flourishing | 741 | 13.46 | 2.526 | ||
| Worry | 741 | 3.45 | 1.542 | ||
| Risk | 741 | 1.55 | 0.795 | ||
| Area Under the Curve | |||||
| Mean | SD | Skewness (SE) | Kurtosis (SE) | ||
| SA 1 2005 | 741 | 3.54 | 1.514 | 0.175 (0.090) | −0.778 (0.179) |
| SA 2007 | 654 | 3.43 | 1.512 | 0.332 (0.096) | −0.625 (0.191) |
| SA 2009 | 646 | 3.38 | 1.516 | 0.319 (0.096) | −0.636 (0.192) |
| SA 2011 | 620 | 3.29 | 1.481 | 0.375 (0.098) | −0.574 (0.196) |
| AUC 2-g | 556 | 10.28 | 3.756 | 0.280 (0.104) | −0.439 (0.207) |
| AUC 3-i | 556 | −0.49 | 2.933 | 0.275 (0.104) | −0.273 (0.207) |
| Latent Growth Curve Model (n = 741) | ||||||||
| Baseline Level | Linear Trend | |||||||
| B | SE | Z-Stat | p-Value | B | SE | Z-Stat | p-Value | |
| Sex | −0.138 | 0.104 | −1.327 | 0.184 | −0.024 | 0.039 | −0.607 | 0.544 |
| Risk | −0.197 | 0.066 | −2.978 | 0.003 | 0.055 | 0.025 | 2.225 | 0.026 |
| Well-being | −0.116 | 0.021 | −5.415 | <0.0001 | 0.008 | 0.008 | 1.01 | 0.313 |
| Worry | 0.248 | 0.035 | 7.12 | <0.0001 | −0.026 | 0.013 | −1.979 | 0.048 |
| Area Under the Curve (n = 555) | ||||||||
| AUC-g | AUC-i | |||||||
| B | SE | Z-Stat | p-Value | B | SE | Z-Stat | p-Value | |
| Sex | −0.5 | 0.316 | −1.583 | 0.114 | −0.36 | 0.263 | −1.371 | 0.17 |
| Risk | −0.315 | 0.197 | −1.601 | 0.109 | 0.179 | 0.164 | 1.093 | 0.275 |
| Well-being | −0.3 | 0.068 | −4.443 | <0.0001 | 0.075 | 0.056 | 1.328 | 0.184 |
| Worry | 0.534 | 0.105 | 5.075 | <0.0001 | −0.025 | 0.088 | −0.286 | 0.775 |
| Multiple Imputation Results (n = 741) | ||||||||
| AUC-g | AUC-i | |||||||
| B | SE | Z-Stat | p-Value | B | SE | Z-Stat | p-Value | |
| Sex | −0.627 | 0.275 | −2.28 | 0.023 | −0.395 | 0.23 | −1.715 | 0.086 |
| Risk | −0.374 | 0.175 | −2.144 | 0.032 | 0.191 | 0.146 | 1.306 | 0.191 |
| Well-being | −0.302 | 0.057 | −5.292 | <0.0001 | 0.067 | 0.048 | 1.393 | 0.164 |
| Worry | 0.635 | 0.093 | 6.815 | <0.0001 | −0.109 | 0.078 | −1.392 | 0.164 |
| N = 741 | ||||||||||
| Intercept | Slope | |||||||||
| Average | % Bias 1 | MSE 2 | 95% Coverage | Power | Average | % Bias | MSE | 95% Coverage | Power | |
| Sex | −0.1383 | 0.217391 | 0.0103 | 0.952 | 0.274 | −0.0233 | −2.91667 | 0.0014 | 0.948 | 0.102 |
| Risk | −0.1969 | −0.05076 | 0.0044 | 0.95 | 0.842 | 0.0546 | −0.72727 | 0.0006 | 0.95 | 0.641 |
| Well-being | −0.1163 | 0.258621 | 0.0004 | 0.955 | 1.00 | 0.0083 | 3.75 | 0.0001 | 0.949 | 0.198 |
| Worry | 0.2479 | −0.04032 | 0.0012 | 0.952 | 1.00 | −0.0258 | −0.76923 | 0.0002 | 0.949 | 0.551 |
| N = 500 | ||||||||||
| Intercept | Slope | |||||||||
| Average | % Bias | MSE | 95% Coverage | Power | Average | % Bias | MSE | 95% Coverage | Power | |
| Sex | −0.1402 | 1.594203 | 0.0153 | 0.953 | 0.199 | −0.023 | −4.16667 | 0.0021 | 0.947 | 0.08 |
| Risk | −0.196 | −0.50761 | 0.0064 | 0.953 | 0.688 | 0.0545 | −0.90909 | 0.0008 | 0.945 | 0.476 |
| Well-being | −0.1163 | 0.258621 | 0.0007 | 0.954 | 0.996 | 0.0083 | 3.75 | 0.0001 | 0.948 | 0.143 |
| Worry | 0.2476 | −0.16129 | 0.0017 | 0.952 | 1 | −0.0256 | −1.53846 | 0.0002 | 0.947 | 0.387 |
| N = 250 | ||||||||||
| Intercept | Slope | |||||||||
| Average | % Bias | MSE | 95% Coverage | Power | Average | % Bias | MSE | 95% Coverage | Power | |
| Sex | −0.1436 | 4.057971 | 0.0314 | 0.948 | 0.127 | −0.0216 | −10 | 0.0043 | 0.942 | 0.07 |
| Risk | −0.1955 | −0.76142 | 0.0132 | 0.943 | 0.417 | 0.0539 | −2 | 0.0017 | 0.945 | 0.271 |
| Well-being | −0.1168 | 0.689655 | 0.0014 | 0.944 | 0.886 | 0.0084 | 5 | 0.0002 | 0.943 | 0.102 |
| Worry | 0.2476 | −0.16129 | 0.0036 | 0.949 | 0.984 | −0.0254 | −2.30769 | 0.0005 | 0.954 | 0.222 |
| N = 100 | ||||||||||
| Intercept | Slope | |||||||||
| Average | % Bias | MSE | 95% Coverage | Power | Average | % Bias | MSE | 95% Coverage | Power | |
| Sex | −0.1433 | 3.84058 | 0.0839 | 0.94 | 0.086 | −0.0212 | −11.6667 | 0.0109 | 0.933 | 0.069 |
| Risk | −0.1942 | −1.42132 | 0.0357 | 0.932 | 0.207 | 0.0542 | −1.45455 | 0.0045 | 0.935 | 0.152 |
| Well-being | −0.1175 | 1.293103 | 0.0036 | 0.938 | 0.53 | 0.0082 | 2.5 | 0.0005 | 0.94 | 0.078 |
| Worry | 0.2476 | −0.16129 | 0.0096 | 0.939 | 0.736 | −0.0258 | −0.76923 | 0.0012 | 0.943 | 0.127 |
| N = 50 | ||||||||||
| Intercept | Slope | |||||||||
| Average | % Bias | MSE | 95% Coverage | Power | Average | % Bias | MSE | 95% Coverage | Power | |
| Sex | −0.1442 | 4.492754 | 0.1842 | 0.922 | 0.091 | −0.0215 | −10.4167 | 0.0239 | 0.929 | 0.077 |
| Risk | −0.188 | −4.56853 | 0.0767 | 0.922 | 0.149 | 0.0528 | −4 | 0.0097 | 0.923 | 0.123 |
| Well-being | −0.1178 | 1.551724 | 0.0076 | 0.933 | 0.316 | 0.0083 | 3.75 | 0.001 | 0.934 | 0.081 |
| Worry | 0.2459 | −0.84677 | 0.0203 | 0.93 | 0.466 | −0.0258 | −0.76923 | 0.0026 | 0.934 | 0.106 |
| N = 741 | ||||||||||
| AUC-g | AUC-i | |||||||||
| Average | % Bias 1 | MSE 2 | 95% Coverage | Power | Average | % Bias | MSE | 95% Coverage | Power | |
| Sex | −0.629 | 0.318979 | 0.0732 | 0.95 | 0.645 | −0.3967 | 0.43038 | 0.0507 | 0.95 | 0.42 |
| Risk | 0.6363 | 0.204724 | 0.0294 | 0.949 | 0.957 | 0.1914 | 0.209424 | 0.0021 | 0.953 | 0.984 |
| Well-being | −0.3735 | −0.13369 | 0.0031 | 0.953 | 1.000 | 0.0682 | 1.791045 | 0.0057 | 0.949 | 0.145 |
| Worry | −0.3006 | −0.46358 | 0.0083 | 0.949 | 0.910 | −0.1079 | −1.00917 | 0.0203 | 0.949 | 0.12 |
| N = 500 | ||||||||||
| AUC-g | AUC-i | |||||||||
| Average | % Bias | MSE | 95% Coverage | Power | Average | % Bias | MSE | 95% Coverage | Power | |
| Sex | −0.6314 | 0.701754 | 0.1124 | 0.947 | 0.475 | −0.3986 | 0.911392 | 0.0778 | 0.947 | 0.312 |
| Risk | 0.6382 | 0.503937 | 0.043 | 0.95 | 0.861 | 0.192 | 0.52356 | 0.0032 | 0.951 | 0.925 |
| Well-being | −0.3728 | −0.32086 | 0.0046 | 0.951 | 1.000 | 0.0683 | 1.940299 | 0.0085 | 0.951 | 0.12 |
| Worry | −0.3004 | −0.5298 | 0.0123 | 0.951 | 0.771 | −0.1063 | −2.47706 | 0.0298 | 0.95 | 0.093 |
| N = 250 | ||||||||||
| AUC-g | AUC-i | |||||||||
| Average | % Bias | MSE | 95% Coverage | Power | Average | % Bias | MSE | 95% Coverage | Power | |
| Sex | −0.6333 | 1.004785 | 0.2254 | 0.943 | 0.278 | −0.4003 | 1.341772 | 0.1561 | 0.943 | 0.179 |
| Risk | 0.6368 | 0.283465 | 0.086 | 0.952 | 0.575 | 0.1917 | 0.366492 | 0.0066 | 0.949 | 0.67 |
| Well-being | −0.3731 | −0.24064 | 0.0095 | 0.949 | 0.97 | 0.0712 | 6.268657 | 0.0175 | 0.944 | 0.087 |
| Worry | −0.297 | −1.65563 | 0.0252 | 0.944 | 0.47 | −0.1075 | −1.37615 | 0.0596 | 0.952 | 0.07 |
| N = 100 | ||||||||||
| AUC-g | AUC-i | |||||||||
| Average | % Bias | MSE | 95% Coverage | Power | Average | % Bias | MSE | 95% Coverage | Power | |
| Sex | −0.63 | 0.478469 | 0.5671 | 0.946 | 0.149 | −0.3975 | 0.632911 | 0.3928 | 0.946 | 0.107 |
| Risk | 0.6353 | 0.047244 | 0.2274 | 0.945 | 0.284 | 0.1889 | −1.09948 | 0.0176 | 0.938 | 0.335 |
| Well-being | −0.3765 | 0.668449 | 0.0254 | 0.938 | 0.686 | 0.0702 | 4.776119 | 0.0458 | 0.942 | 0.076 |
| Worry | −0.2982 | −1.25828 | 0.0661 | 0.942 | 0.244 | −0.1087 | −0.27523 | 0.1575 | 0.945 | 0.068 |
| N = 50 | ||||||||||
| AUC-g | AUC-i | |||||||||
| Average | % Bias | MSE | 95% Coverage | Power | Average | % Bias | MSE | 95% Coverage | Power | |
| Sex | −0.6186 | −1.33971 | 1.2115 | 0.934 | 0.105 | −0.388 | −1.77215 | 0.839 | 0.934 | 0.09 |
| Risk | 0.6312 | −0.59843 | 0.4925 | 0.933 | 0.18 | 0.1889 | −1.09948 | 0.0376 | 0.923 | 0.213 |
| Well-being | −0.3765 | 0.668449 | 0.0542 | 0.923 | 0.429 | 0.0665 | −0.74627 | 0.0987 | 0.921 | 0.078 |
| Worry | −0.3026 | 0.198675 | 0.1426 | 0.921 | 0.164 | −0.1122 | 2.93578 | 0.3411 | 0.933 | 0.071 |
| % Bias | Power | |||||||
| LGCM | AUC | LGCM | AUC | |||||
| Intercept | Trend | AUC-g | AUC-i | Intercept | Trend | AUC-g | AUC-i | |
| N = 741 | ||||||||
| Sex | 0.217 | −2.917 | 0.319 | 0.430 | 0.274 | 0.102 | 0.645 | 0.420 |
| Risk | −0.051 | −0.727 | 0.205 | 0.209 | 0.842 | 0.641 | 0.957 | 0.984 |
| Well-being | 0.259 | 3.750 | −0.134 | 1.791 | 1.000 | 0.198 | 1.000 | 0.145 |
| Worry | −0.040 | −0.769 | −0.464 | −1.009 | 1.000 | 0.551 | 0.910 | 0.120 |
| N = 500 | ||||||||
| Sex | 1.594 | −4.167 | 0.702 | 0.911 | 0.199 | 0.080 | 0.475 | 0.312 |
| Risk | −0.508 | −0.909 | 0.504 | 0.524 | 0.688 | 0.476 | 0.861 | 0.925 |
| Well-being | 0.259 | 3.750 | −0.321 | 1.940 | 0.996 | 0.143 | 1.000 | 0.120 |
| Worry | −0.161 | −1.539 | −0.530 | −2.477 | 1.000 | 0.387 | 0.771 | 0.093 |
| N = 250 | ||||||||
| Sex | 4.058 | −10.000 | 1.005 | 1.342 | 0.127 | 0.070 | 0.278 | 0.179 |
| Risk | −0.761 | −2.000 | 0.284 | 0.367 | 0.417 | 0.271 | 0.575 | 0.670 |
| Well-being | 0.690 | 5.000 | −0.241 | 6.269 | 0.886 | 0.102 | 0.970 | 0.087 |
| Worry | −0.161 | −2.308 | −1.656 | −1.376 | 0.984 | 0.222 | 0.470 | 0.070 |
| N = 100 | ||||||||
| Sex | 3.841 | −11.667 | 0.479 | 0.633 | 0.086 | 0.069 | 0.149 | 0.107 |
| Risk | −1.421 | −1.455 | 0.047 | −1.100 | 0.207 | 0.152 | 0.284 | 0.335 |
| Well-being | 1.293 | 2.500 | 0.668 | 4.776 | 0.530 | 0.078 | 0.686 | 0.076 |
| Worry | −0.161 | −0.769 | −1.258 | −0.275 | 0.736 | 0.127 | 0.244 | 0.068 |
| N = 50 | ||||||||
| Sex | 4.493 | −10.417 | −1.340 | −1.772 | 0.091 | 0.077 | 0.105 | 0.090 |
| Risk | −4.569 | −4.000 | −0.598 | −1.100 | 0.149 | 0.123 | 0.180 | 0.213 |
| Well-being | 1.552 | 3.750 | 0.668 | −0.746 | 0.316 | 0.081 | 0.429 | 0.078 |
| Worry | −0.847 | −0.769 | 0.199 | 2.936 | 0.466 | 0.106 | 0.164 | 0.071 |
Disclaimer/Publisher’s Note: The statements, opinions and data contained in all publications are solely those of the individual author(s) and contributor(s) and not of MDPI and/or the editor(s). MDPI and/or the editor(s) disclaim responsibility for any injury to people or property resulting from any ideas, methods, instructions or products referred to in the content. |
© 2023 by the author. Licensee MDPI, Basel, Switzerland. This article is an open access article distributed under the terms and conditions of the Creative Commons Attribution (CC BY) license (https://creativecommons.org/licenses/by/4.0/).
Share and Cite
Rodriguez, D. Area under the Curve as an Alternative to Latent Growth Curve Modeling When Assessing the Effects of Predictor Variables on Repeated Measures of a Continuous Dependent Variable. Stats 2023, 6, 674-688. https://doi.org/10.3390/stats6020043
Rodriguez D. Area under the Curve as an Alternative to Latent Growth Curve Modeling When Assessing the Effects of Predictor Variables on Repeated Measures of a Continuous Dependent Variable. Stats. 2023; 6(2):674-688. https://doi.org/10.3390/stats6020043
Chicago/Turabian StyleRodriguez, Daniel. 2023. "Area under the Curve as an Alternative to Latent Growth Curve Modeling When Assessing the Effects of Predictor Variables on Repeated Measures of a Continuous Dependent Variable" Stats 6, no. 2: 674-688. https://doi.org/10.3390/stats6020043
APA StyleRodriguez, D. (2023). Area under the Curve as an Alternative to Latent Growth Curve Modeling When Assessing the Effects of Predictor Variables on Repeated Measures of a Continuous Dependent Variable. Stats, 6(2), 674-688. https://doi.org/10.3390/stats6020043
