A New Soft-Clipping Discrete Beta GARCH Model and Its Application on Measles Infection
Abstract
:1. Introduction
2. Model Formulation and Stability Properties
2.1. Discrete Beta Distribution
- (1)
- (2)
- ,
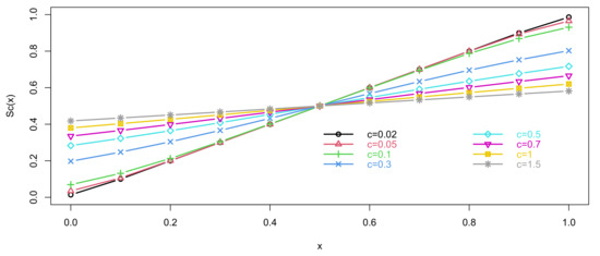
2.2. Discrete Beta GARCH(1,1) Model with a Nearly Linear Structure
- (1)
- If π is a stationary distribution and is independent of , then is geometric-moment contracting with unique stationary distribution π and .
- (2)
- There exists a measurable function such that , i.e., is -measurable, where .
- (3)
- If starts from π, i.e., , then is a stationary time series. Furthermore, is strictly stationary and ergodic.
3. Parameter Estimation
- (1)
- There exists an estimator such that ;
- (2)
- ,
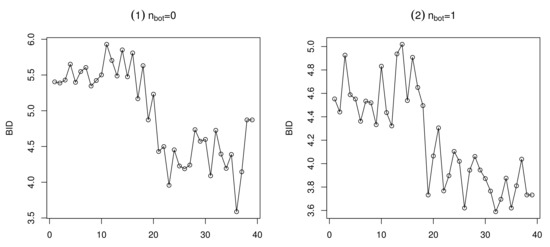
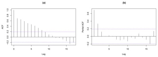
4. Real Data Example
5. Concluding and Discussion
Funding
Data Availability Statement
Acknowledgments
Conflicts of Interest
Abbreviations
| absolute of x, ; | |
| lr | likelihood ratio; | 
| stochastic small; | |
| equality in distribution. | |
| almost surely convergence; | |
| convergence in distribution. | 
Appendix A. Auxiliary Results
- (1)
- and
- (2)
- and ,
- (3)
- and ;
- (4)
- and .
- (1).
- (2).
- (3).
- where and with .
References
- McKenzie, E. Some simple models for discrete variate time series. J. Am. Water Resour. Bull. 1985, 21, 645–650. [Google Scholar] [CrossRef]
- Weiß, C.H.; Testik, M.C. On the Phase I analysis for monitoring time-dependent count processes. IIE Trans. 2015, 47, 294–306. [Google Scholar] [CrossRef]
- Möller, T.A.; Weiß, C.H.; Kim, H.Y.; Sirchenko, A. Modeling zero inflation in count data time series with bounded support. Methodol. Comput. Appl. Probab. 2018, 20, 589–609. [Google Scholar] [CrossRef]
- Chen, H.; Li, Q.; Zhu, F. Binomial AR(1) processes with innovational outliers. Commun. Stat. Theory Methods 2021, 50, 446–472. [Google Scholar] [CrossRef]
- Kang, Y.; Wang, D.; Yang, K. Extended binomial AR(1) processes with generalized binomial thinning operator. Commun. Stat. Theory Methods 2020, 49, 3498–3520. [Google Scholar] [CrossRef]
- Chen, H.; Zhang, J.; Liu, X. A Conway-Maxwell-Poisson-Binomial AR(1) model for bounded time series data. Entropy 2023, 25, 126. [Google Scholar] [CrossRef]
- Shmueli, G.; Minka, T.P.; Kadane, J.B.; Borle, S.; Boatwright, P. A useful distribution for fitting discrete data: Revival of the Conway-Maxwell-Poisson distribution. Appl. Stat. 2005, 54, 127–142. [Google Scholar] [CrossRef]
- Zhang, R.; Wang, D.; Li, C. Flexible binomial AR(1) processes using copulas. J. Stat. Plan. Inference 2022, 219, 306–332. [Google Scholar] [CrossRef]
- Weiß, C.H.; Pollett, P.K. Binomial autoregressive processes with density-dependent thinning. J. Time Ser. Anal. 2014, 35, 115–132. [Google Scholar] [CrossRef]
- Ristić, M.M.; Weiß, C.H.; Janjić, A.D. A binomial integer-valued ARCH model. Int. J. Biostat. 2016, 12, 20150051. [Google Scholar] [CrossRef]
- Lee, Y.; Lee, S. CUSUM test for general nonlinear integer–valued GARCH models: Comparison study. Ann. Inst. Stat. Math. 2019, 71, 1033–1057. [Google Scholar] [CrossRef]
- Chen, H.; Li, Q.; Zhu, F. Two classes of dynamic binomial integer-valued ARCH models. Braz. J. Probab. Stat. 2020, 34, 685–711. [Google Scholar] [CrossRef]
- Chen, H.; Li, Q.; Zhu, F. A new class of integer-valued GARCH models for time series of bounded counts with extra-binomial variation. AStA Adv. Stat. Anal. 2022, 106, 243–270. [Google Scholar] [CrossRef]
- Liu, M.; Zhu, F.; Zhu, K. Modeling normalcy-dominant ordinal time series: An application to air quality level. J. Time Ser. Anal. 2022, 43, 460–478. [Google Scholar] [CrossRef]
- Liu, M.; Li, Q.; Zhu, F. Modeling air quality level with a flexible categorical autoregression. Stoch. Environ. Res. Risk Assess. 36, 2835–2845. [CrossRef]
- Weiß, C.H.; Jahn, M. Soft-clipping INGARCH models for time series of bounded Counts. Stat. Model. 2022. forthcoming. [Google Scholar] [CrossRef]
- Weiß, C.H.; Zhu, F.; Hoshiyar, A. Softplus INGARCH models. Stat. Sin. 2022, 32, 1099–1120. [Google Scholar] [CrossRef]
- Klimek, M.D.; Perelstein, M. Neural network-based approach to phase space integration. SciPost Phys. 2020, 9, 053. [Google Scholar] [CrossRef]
- Turner, R. A new versatile discrete distribution. R J. 2021, 13, 485–506. [Google Scholar] [CrossRef]
- Davis, R.A.; Liu, H. Theory and inference for a class of observation-driven models with application to time series of counts. Stat. Sin. 2016, 26, 1673–1707. [Google Scholar]
- Wang, Z. One mixed negative binomial distribution with application. J. Stat. Plan. Inference 2011, 141, 1153–1160. [Google Scholar] [CrossRef]
- Wu, W.; Shao, X. Limit theorems for iterated random functions. J. Appl. Probab. 2004, 41, 425–436. [Google Scholar] [CrossRef]
- Weiß, C.H. An Introduction to Discrete-Valued Time Series; John Wiley & Sons: Chichester, UK, 2018. [Google Scholar]
- Chen, H.; Li, Q.; Zhu, F. A covariate-driven beta-binomial integer-valued GARCH model for bounded counts with an application. Metrika 2023. forthcoming. [Google Scholar] [CrossRef]
- Agosto, A.; Cavaliere, G.; Kristensen, D.; Rahbek, A. Modeling corporate defaults: Poisson autoregressions with exogenous covariates (PARX). J. Empir. Financ. 2016, 38, 640–663. [Google Scholar] [CrossRef]
- Chen, C.W.S.; Khamthong, K. Bayesian modelling of nonlinear negative binomial integer-valued GARCHX models. Stat. Model. 2020, 20, 537–561. [Google Scholar] [CrossRef]
- Aknouche, A.; Bentarzi, W.; Demouche, N. On periodic ergodicity of a general periodic mixed Poisson autoregression. Stat. Probab. Lett. 2018, 134, 15–21. [Google Scholar] [CrossRef]
- Liu, T.; Yuan, X. Random rounded integer-valued autoregressive conditional heteroskedastic process. Stat. Pap. 2013, 54, 645–683. [Google Scholar] [CrossRef]
- Alomani, G.A.; Alzaid, A.A.; Omair, M.A. A Skellam INGARCH model. Braz. J. Probab. Stat. 2018, 32, 200–214. [Google Scholar] [CrossRef]
- Carallo, G.; Casarin, R.; Robert, C.P. Generalized Poisson difference autoregressive processes. arXiv 2020, arXiv:2002.04470. [Google Scholar]
- Cui, Y.; Li, Q.; Zhu, F. Flexible bivariate Poisson integer-valued GARCH model. Ann. Inst. Stat. Math. 2020, 72, 1449–1477. [Google Scholar] [CrossRef]
- Gonçalves, E.; Mendes-Lopes, N. Signed compound Poisson integer-valued GARCH processes. Commun. Stat. Theory Methods 2020, 49, 5468–5492. [Google Scholar] [CrossRef]
- Xu, Y.; Zhu, F. A new GJR-GARCH model for Z-valued time series. J. Time Ser. Anal. 2022, 43, 490–500. [Google Scholar] [CrossRef]
- Bulla, J.; Chesneau, C.; Kachour, M. A bivariate first-order signed integer-valued autoregressive process. Commun. Stat. Theory Methods 2017, 46, 6590–6604. [Google Scholar] [CrossRef]
- Chen, H.; Zhu, F.; Liu, X. Two-step conditional least squares estimation for the bivariate Z-valued INAR(1) model with bivariate Skellam innovations. Commun. Stat. Theory Methods 2023. forthcoming. [Google Scholar] [CrossRef]










| Model | Estimates | −log-lik | AIC | BIC | |||
|---|---|---|---|---|---|---|---|
| BARCH(1) | 212.6574 | 429.3148 | 434.6036 | ||||
| 0.0367 | 0.6844 | ||||||
| (0.0071) | (0.0651) | ||||||
| BARCH(2) | 204.8729 | 415.7457 | 423.6789 | ||||
| 0.0270 | 0.4056 | 0.3669 | |||||
| (0.0072) | (0.0991) | (0.1005) | |||||
| logit-BARCH(1) | 215.9542 | 415.7457 | 423.5789 | ||||
| −2.8248 | 0.1608 | ||||||
| (0.1002) | (0.0161) | ||||||
| logit-BARCH(2) | 207.5645 | 421.1290 | 429.0622 | ||||
| −2.9473 | 0.1042 | 0.0827 | |||||
| (0.1087) | (0.0221) | (0.0220) | |||||
| score-BARCH(1) | 213.1136 | 432.2272 | 440.1604 | ||||
| −0.6178 | 0.6777 | 0.1192 | |||||
| (0.1525) | (0.0751) | (0.0160) | |||||
| BGARCH(1,1) | 212.4199 | 430.8399 | 438.7730 | ||||
| 0.0332 | 0.0175 | 0.6923 | |||||
| (0.0087) | (0.0263) | (0.0675) | |||||
| ScBGARCH(1,1) | 204.9207 | 415.8414 | 423.7746 | ||||
| 0.2209 | 0.5123 | 0.4292 | |||||
| (0.2235) | (0.1002) | (0.0836) | |||||
| ScDBGARCH(1,1) | 203.5400 | 415.0799 | 425.575 | ||||
| 0.2130 | 0.4926 | 0.4506 | 0.0196 | ||||
| (0.2297) | (0.0963) | (0.0832) | (0.0028) | ||||
| ScBBGARCH(1,1) | 211.9121 | 431.8242 | 442.4017 | ||||
| 0.3188 | 0.4946 | 0.4401 | 0.0202 | ||||
| (0.3267) | (0.1333) | (0.1116) | (0.0174) | ||||
| logit-BBGARCH(1,1) | 208.9151 | 425.8302 | 436.4078 | ||||
| −1.7203 | 0.4288 | 0.1137 | 0.0020 | ||||
| (0.2657) | (0.0933) | (0.0176) | (0.0040) | ||||
| Lag k | 3 | 5 | 7 | 9 | 11 | 13 | 15 | 
|---|---|---|---|---|---|---|---|
| p-value | 0.7736 | 0.9519 | 0.9642 | 0.9916 | 0.9950 | 0.9800 | 0.9934 | 
| 7.8147 | 11.0705 | 14.0671 | 16.9190 | 19.6751 | 22.3620 | 24.9958 | |
| Ljung–Box statistic | 1.1144 | 1.1245 | 1.9191 | 1.9895 | 2.6083 | 4.7636 | 4.8430 | 
| Disclaimer/Publisher’s Note: The statements, opinions and data contained in all publications are solely those of the individual author(s) and contributor(s) and not of MDPI and/or the editor(s). MDPI and/or the editor(s) disclaim responsibility for any injury to people or property resulting from any ideas, methods, instructions or products referred to in the content. | 
© 2023 by the author. Licensee MDPI, Basel, Switzerland. This article is an open access article distributed under the terms and conditions of the Creative Commons Attribution (CC BY) license (https://creativecommons.org/licenses/by/4.0/).
Share and Cite
Chen, H. A New Soft-Clipping Discrete Beta GARCH Model and Its Application on Measles Infection. Stats 2023, 6, 293-311. https://doi.org/10.3390/stats6010018
Chen H. A New Soft-Clipping Discrete Beta GARCH Model and Its Application on Measles Infection. Stats. 2023; 6(1):293-311. https://doi.org/10.3390/stats6010018
Chicago/Turabian StyleChen, Huaping. 2023. "A New Soft-Clipping Discrete Beta GARCH Model and Its Application on Measles Infection" Stats 6, no. 1: 293-311. https://doi.org/10.3390/stats6010018
APA StyleChen, H. (2023). A New Soft-Clipping Discrete Beta GARCH Model and Its Application on Measles Infection. Stats, 6(1), 293-311. https://doi.org/10.3390/stats6010018
 
        


 
       