Product Recalls in European Textile and Clothing Sector—A Macro Analysis of Risks and Geographical Patterns
Abstract
1. Introduction
2. Related Literature
3. Empirical Data and Methods
3.1. Empirical Data
3.2. Methods
3.2.1. Correspondence Analysis
3.2.2. Latent Dirichlet Allocation (LDA)
- Draw a topic assignment, ,
- Draw a word ,
4. Results
4.1. Descriptive Analysis
4.2. Correspondence Analysis
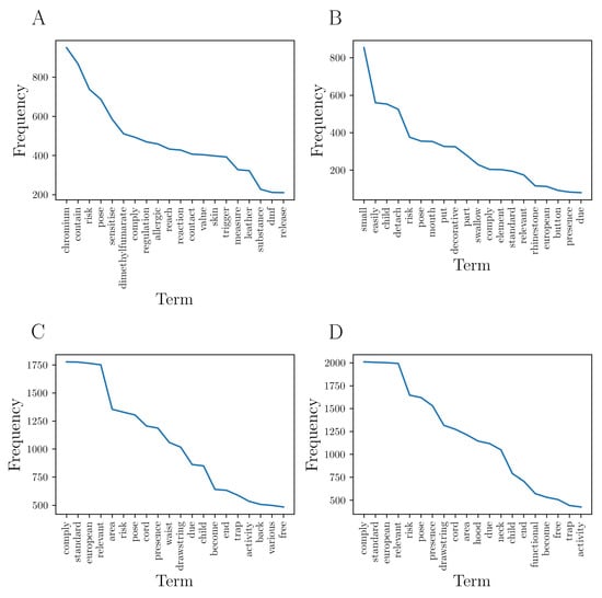
4.3. Text Analysis of Recall Description
5. Conclusions
6. Limitation and Future Work
Supplementary Materials
Author Contributions
Funding
Institutional Review Board Statement
Informed Consent Statement
Data Availability Statement
Conflicts of Interest
References
- Vantyghem, D. The European Textiles and Apparel Industryin the Post Corona Era—Proposals for Recovery; Technical Report; EURATEX: Brussels, Belgium, 2020. [Google Scholar]
- Bubicz, M.E.; Dias Barbosa-Póvoa, A.P.F.; Carvalho, A. Social sustainability management in the apparel supply chains. J. Clean. Prod. 2021, 280, 124214. [Google Scholar] [CrossRef]
- Arrigo, E. Global sourcing in fast fashion retailers: Sourcing locations and sustainability considerations. Sustainability 2020, 12, 508. [Google Scholar] [CrossRef]
- Cleeren, K.; Dekimpe, M.; van Heerde, H. Marketing research on product-harm crises: A review, managerial implications, and an agenda for future research. J. Acad. Mark. Sci. 2017, 45, 593–615. [Google Scholar] [CrossRef]
- Liu, Y.; Cheng, P.; Ouyang, Z. How trust mediate the effects of perceived justice on loyalty: A study in the context of automotive recall in China. J. Retail. Consum. Serv. 2021, 58, 102322. [Google Scholar] [CrossRef]
- Bruccoleri, M.; Perrone, G.; Mazzola, E.; Handfield, R. The magnitude of a product recall: Offshore outsourcing vs. captive offshoring effects. Int. J. Prod. Res. 2019, 57, 4211–4227. [Google Scholar] [CrossRef]
- Das, S. 7-Product Recall in Children Garment; Woodhead Publishing India: Delhi, India, 2009; pp. 161–174. [Google Scholar]
- US CPSC. Target Recalls Infant Rompers Due to Choking Hazard; US CPSC: Bethesda, ML, USA, 2020.
- US CPSC. Target Recalls Infant-Toddler Girl’s One-Piece Rashguard Swimsuits Due to Choking Hazard; US CPSC: Bethesda, ML, USA, 2020.
- European Commission. RAPEX Facts and Figures 2013 Complete Statistics; Technical Report; European Commission: Brussels, Belgium, 2014. [Google Scholar]
- European Commission. Keeping European Consumers Safe Rapid Alert System for Dangerous Non-Food Products 2014 Complete Statistics; Technical Report; European Commission: Brussels, Belgium, 2015. [Google Scholar] [CrossRef]
- European Commission. 31 Countries 1 Internal Market of Safe Products—Rapid Alert System for Dangerous Products 2015 Results; Technical Report; European Commission: Brussels, Belgium, 2016. [Google Scholar] [CrossRef]
- European Commission. Rapid Alert System for Dangerous Products Working Together to Keep Consumers Safe 2016 Annual Report; Technical Report; European Commission: Brussels, Belgium, 2017. [Google Scholar] [CrossRef]
- European Commission. Working Together to Keep Consumers Safe—2017 Results of the EU Rapid Alert System for Dangerous Non-Food Products; Technical Report; European Commission: Brussels, Belgium, 2018. [Google Scholar] [CrossRef]
- European Commission. Safety Gate: Just a Click to Keep Away from Dangerous Products—2018 Results of the Rapid Alert System for Dangerous Non-Food Products; Technical Report; European Commission: Brussels, Belgium, 2019. [Google Scholar] [CrossRef]
- European Commission. Saving Lives Every Day—2019 Results of the Rapid Alert System for Dangerous Non-Food Products; Technical Report; European Commission: Brussels, Belgium, 2020. [Google Scholar] [CrossRef]
- Kumar, V.; Hallqvist, C.; Ekwall, D. Developing a framework for traceability implementation in the textile supply chain. Systems 2017, 5, 33. [Google Scholar] [CrossRef]
- Norum, P.; Ha-Brookshire, J. Analysis of children’s textiles and apparel product safety issues using recall data from the US Consumer Product Safety Commission. Int. J. Fash. Des. Technol. Educ. 2012, 5, 25–31. [Google Scholar] [CrossRef]
- Durrett, J. A Decade of Data: An In-Depth Look at 2014 and a Ten-Year Retrospective on Children’s Product Recalls; Technical Report; Kids In Danger: Chicago, IL, USA, 2016. [Google Scholar]
- Ni, J.; Flynn, B.; Jacobs, F. Impact of product recall announcements on retailers? financial value. Int. J. Prod. Econ. 2014, 153, 309–322. [Google Scholar] [CrossRef]
- Borah, A.; Tellis, G. Halo (spillover) effects in social media: Do product recalls of one brand hurt or help rival brands? J. Mark. Res. 2016, 53, 143–160. [Google Scholar] [CrossRef]
- Lee, L.; Hutton, A.; Shu, S. The role of social media in the capital market: Evidence from consumer product recalls. J. Account. Res. 2015, 53, 367–404. [Google Scholar] [CrossRef]
- Magno, F.; Cassia, F.; Ugolini, M. Impact of voluntary product recalls on utilitarian and hedonic attitudes: Is it the same for all brands? Aust. J. Manag. 2017, 42, 161–174. [Google Scholar] [CrossRef]
- Salerno-Kochan, R.; Kowalski, M. Safety management of textile products in the European Union and estimation of its efficiency. Part 1. In Fibres &Textiles in Eastern Europe; The Łukasiewicz-Łódź Institute of Technology: Łódź, Poland, 2020. [Google Scholar]
- Salerno-Kochan, R.; Kowalski, M. Safety Management of Textile Products in the European Union and Estimation of its Efficiency. Part 2. In Fibres &Textiles in Eastern Europe; The Łukasiewicz-Łódź Institute of Technology: Łódź, Poland, 2020. [Google Scholar]
- Chen, Y.; Ganesan, S.; Liu, Y. Does a firm’s product-recall strategy affect its financial value? An examination of strategic alternatives during product-harm crises. J. Mark. 2009, 73, 214–226. [Google Scholar] [CrossRef]
- Liu, Y.; Shankar, V.; Yun, W. Crisis management strategies and the long-term effects of product recalls on firm value. J. Mark. 2017, 81, 30–48. [Google Scholar] [CrossRef]
- Byun, K.; Dass, M. An investigation of the effects of product recalls on brand commitment and purchase intention. J. Consum. Mark. 2015, 32, 1–14. [Google Scholar] [CrossRef]
- Magno, F. Managing product recalls: The effects of time, responsible vs. opportunistic recall management and blame on consumers’ attitudes. Procedia-Soc. Behav. Sci. 2012, 58, 1309–1315. [Google Scholar] [CrossRef]
- Lyles, M.; Flynn, B.; Frohlich, M. All supply chains don’t flow through: Understanding supply chain issues in product recalls. Manag. Organ. Rev. 2008, 4, 167–182. [Google Scholar] [CrossRef]
- Souiden, N.; Pons, F. Product recall crisis management: The impact on manufacturer’s image, consumer loyalty and purchase intention. J. Prod. Brand Manag. 2009, 18, 106–114. [Google Scholar] [CrossRef]
- Steven, A.; Dong, Y.; Corsi, T. Global sourcing and quality recalls: An empirical study of outsourcing-supplier concentration-product recalls linkages. J. Oper. Manag. 2014, 32, 241–253. [Google Scholar] [CrossRef]
- Marucheck, A.; Greis, N.; Mena, C.; Cai, L. Product safety and security in the global supply chain: Issues, challenges and research opportunities. J. Oper. Manag. 2011, 29, 707–720. [Google Scholar] [CrossRef]
- Luo, Y. A strategic analysis of product recalls: The role of moral degradation and organizational control. Manag. Organ. Rev. 2008, 4, 183–196. [Google Scholar] [CrossRef]
- Byun, K.; Duhan, D.; Dass, M. The preservation of loyalty halo effects: An investigation of the post-product-recall behavior of loyal customers. J. Bus. Res. 2020, 116, 163–175. [Google Scholar] [CrossRef]
- Vassilikopoulou, A.; Siomkos, G.; Chatzipanagiotou, K.; Pantouvakis, A. Product-harm crisis management: Time heals all wounds? J. Retail. Consum. Serv. 2009, 16, 174–180. [Google Scholar] [CrossRef]
- Kuang, D.; Ma, B.; Wang, H. The relative impact of advertising and referral reward programs on the post-consumption evaluations in the context of service failure. J. Retail. Consum. Serv. 2021, 65, 102849. [Google Scholar] [CrossRef]
- Hersel, M.C.; Helmuth, C.A.; Zorn, M.L.; Shropshire, C.; Ridge, J.W. The Corrective Actions Organizations Pursue Following Misconduct: A Review and Research Agenda. Acad. Manag. Ann. 2019, 13, 547–585. [Google Scholar] [CrossRef]
- Hua, L.L.; Prentice, C.; Han, X. A netnographical approach to typologizing customer engagement and corporate misconduct. J. Retail. Consum. Serv. 2021, 59, 102366. [Google Scholar] [CrossRef]
- Cheng, S.; Kaminga, A.C.; Cheng, X.; Xu, H. An analysis of children’s clothing-related injuries cases reported by the media in mainland of China from 2003 to 2017. Medicine 2020, 99, e19305. [Google Scholar] [CrossRef]
- Chen, L.; Yan, X.; Gao, C. Apparel design safety and production criteria and models. In Fibres &Textiles in Eastern Europe; The Łukasiewicz-Łódź Institute of Technology: Łódź, Poland, 2016. [Google Scholar]
- Chen, H.; Chai, M.; Cheng, J.; Wang, Y.; Tang, Z. Occurrence and health implications of heavy metals in preschool children’s clothing manufactured in four Asian regions. Ecotoxicol. Environ. Saf. 2022, 245, 114121. [Google Scholar] [CrossRef]
- Kumar, V.; Ekwall, D. Macro-Scale Indicators Based Analysis of Textile Product Recalls in the EU. In Proceedings of the NOFOMA 2016-Proceesings of the 28th Annual Nordic Logistics Research Network Conference, Turku, Finland, 8–10 June 2016; pp. 321–340. [Google Scholar]
- Kothari, V.; Mathews, S. Necessity of Kids wear Safety Regulations for India: Viewpoint of Retailers. Sona Glob. Manag. Rev. 2016, 10, 1–14. [Google Scholar]
- Greenacre, M. Correspondence analysis. Wiley Interdiscip. Rev. Comput. Stat. 2010, 2, 613–619. [Google Scholar] [CrossRef]
- Beh, E. Simple correspondence analysis: A bibliographic review. Int. Stat. Rev. 2004, 72, 257–284. [Google Scholar] [CrossRef]
- Yelland, P. An introduction to correspondence analysis. Math. J. 2010, 12, 86–109. [Google Scholar] [CrossRef]
- Blei, D.; Ng, A.; Jordan, M. Latent dirichlet allocation. J. Mach. Learn. Res. 2003, 3, 993–1022. [Google Scholar]
- Blei, D.; Lafferty, J. Topic models. In Text Mining; Chapman and Hall/CRC: Boca Raton, FL, USA, 2009; pp. 71–94. [Google Scholar]
- Slof, D.; Frasincar, F.; Matsiiako, V. A competing risks model based on latent Dirichlet Allocation for predicting churn reasons. Decis. Support Syst. 2021, 146, 113541. [Google Scholar] [CrossRef]
- Ponweiser, M. Latent Dirichlet Allocation in R; WU Vienna University of Economics and Business: Wien, Austria, 2012. [Google Scholar]
- Darling, W. A theoretical and practical implementation tutorial on topic modeling and gibbs sampling. In Proceedings of the 49th Annual Meeting of the Association for Computational Linguistics: Human Language Technologies, Portland, OR, USA, 19–24 June 2011; pp. 642–647. [Google Scholar]
- Řehůřek, R.; Sojka, P. Software Framework for Topic Modelling with Large Corpora. In Proceedings of the LREC 2010 Workshop on New Challenges for NLP Frameworks, ELRA, Valletta, Malta, 22 May 2010; pp. 45–50. Available online: http://is.muni.cz/publication/884893/en (accessed on 8 August 2022).
- Kumar, P.; Rao, T.; Raj, L.; Pugazhendi, E. An Efficient Text-Based Image Retrieval Using Natural Language Processing (NLP) Techniques. In Intelligent System Design. Advances in Intelligent Systems and Computing; Satapathy, S., Bhateja, V., Janakiramaiah, B., Chen, Y., Eds.; Springer: Berlin/Heidelberg, Germany, 2021; Volume 1171, pp. 505–519. [Google Scholar]
- Ottoni, R.; Cunha, E.; Magno, G.; Bernardina, P.; Meira, W., Jr.; Almeida, V. Analyzing right-wing youtube channels: Hate, violence and discrimination. In Proceedings of the 10th ACM Conference on Web Science, Amsterdam, The Netherlands, 27–30 May 2018; pp. 323–332. [Google Scholar]







| Chemical | Choking | |||||||||||
|---|---|---|---|---|---|---|---|---|---|---|---|---|
| Topic 1 | Topic 2 | Topic 3 | Topic 1 | Topic 2 | Topic 3 | |||||||
| Tr # | Tr | Pr | Tr | Pr | Tr | Pr | Tr | Pr | Tr | Pr | Tr | Pr |
| 1 | dimethylfumarate | 0.071 | regulation | 0.035 | chromium | 0.049 | small | 0.131 | risk | 0.063 | risk | 0.038 |
| 2 | risk | 0.044 | contain | 0.033 | contain | 0.040 | child | 0.079 | pose | 0.057 | safety | 0.030 |
| 3 | contain | 0.044 | weight | 0.031 | comply | 0.038 | easily | 0.075 | european | 0.045 | force | 0.025 |
| 4 | pose | 0.041 | value | 0.027 | reach | 0.037 | detach | 0.073 | standard | 0.044 | pose | 0.022 |
| 5 | skin | 0.040 | human | 0.026 | regulation | 0.037 | mouth | 0.056 | relevant | 0.043 | pin | 0.018 |
| 6 | contact | 0.038 | measure | 0.026 | amine | 0.034 | put | 0.053 | comply | 0.040 | child | 0.018 |
| 7 | substance | 0.034 | comply | 0.024 | aromatic | 0.033 | part | 0.050 | presence | 0.034 | cause | 0.017 |
| 8 | dmf | 0.032 | lead | 0.023 | release | 0.029 | decorative | 0.034 | due | 0.032 | plastic | 0.016 |
| 9 | sensitise | 0.028 | health | 0.022 | risk | 0.026 | risk | 0.022 | drawstring | 0.028 | addition | 0.015 |
| 10 | presence | 0.025 | phthalate | 0.019 | allergic | 0.026 | pose | 0.022 | area | 0.027 | upper | 0.015 |
| Injuries | Strangulation | |||||||||||
|---|---|---|---|---|---|---|---|---|---|---|---|---|
| Topic 1 | Topic 2 | Topic 3 | Topic 1 | Topic 2 | Topic 3 | |||||||
| Term # | Tr | Pr | Tr | Pr | Tr | Pr | Tr | Pr | Tr | Pr | Tr | Pr |
| 1 | risk | 0.069 | child | 0.063 | toggle | 0.051 | risk | 0.074 | cord | 0.092 | child | 0.066 |
| 2 | pose | 0.068 | become | 0.061 | drawstring | 0.048 | presence | 0.073 | tie | 0.043 | standard | 0.059 |
| 3 | presence | 0.067 | standard | 0.059 | child | 0.040 | pose | 0.071 | garment | 0.039 | european | 0.058 |
| 4 | comply | 0.065 | comply | 0.059 | risk | 0.038 | comply | 0.070 | halter | 0.038 | comply | 0.058 |
| 5 | standard | 0.065 | european | 0.058 | pose | 0.036 | relevant | 0.070 | neck | 0.035 | relevant | 0.057 |
| 6 | relevant | 0.065 | relevant | 0.056 | hood | 0.029 | standard | 0.069 | bikini | 0.034 | become | 0.057 |
| 7 | european | 0.064 | trap | 0.056 | cause | 0.028 | european | 0.069 | functional | 0.030 | activity | 0.044 |
| 8 | area | 0.055 | activity | 0.047 | relevant | 0.026 | drawstring | 0.047 | top | 0.027 | trap | 0.044 |
| 9 | cord | 0.048 | area | 0.044 | european | 0.026 | area | 0.041 | decorative | 0.027 | various | 0.043 |
| 10 | waist | 0.043 | various | 0.044 | comply | 0.026 | due | 0.041 | area | 0.025 | drawstring | 0.042 |
Publisher’s Note: MDPI stays neutral with regard to jurisdictional claims in published maps and institutional affiliations. |
© 2022 by the author. Licensee MDPI, Basel, Switzerland. This article is an open access article distributed under the terms and conditions of the Creative Commons Attribution (CC BY) license (https://creativecommons.org/licenses/by/4.0/).
Share and Cite
Kumar, V. Product Recalls in European Textile and Clothing Sector—A Macro Analysis of Risks and Geographical Patterns. Stats 2022, 5, 1044-1061. https://doi.org/10.3390/stats5040062
Kumar V. Product Recalls in European Textile and Clothing Sector—A Macro Analysis of Risks and Geographical Patterns. Stats. 2022; 5(4):1044-1061. https://doi.org/10.3390/stats5040062
Chicago/Turabian StyleKumar, Vijay. 2022. "Product Recalls in European Textile and Clothing Sector—A Macro Analysis of Risks and Geographical Patterns" Stats 5, no. 4: 1044-1061. https://doi.org/10.3390/stats5040062
APA StyleKumar, V. (2022). Product Recalls in European Textile and Clothing Sector—A Macro Analysis of Risks and Geographical Patterns. Stats, 5(4), 1044-1061. https://doi.org/10.3390/stats5040062