Soil Properties Governing Erodibility of Cuban Soils: A Univariate Erodibility Equation
Abstract
1. Introduction
2. Materials and Methods
2.1. Study Area
2.2. Soil Analysis
2.3. Soil Erodibility
2.3.1. Erodibility from Rainfall Simulation Plots
2.3.2. Erodibility from Major Regression Model
2.4. Statistical Analysis
3. Results and Discussion
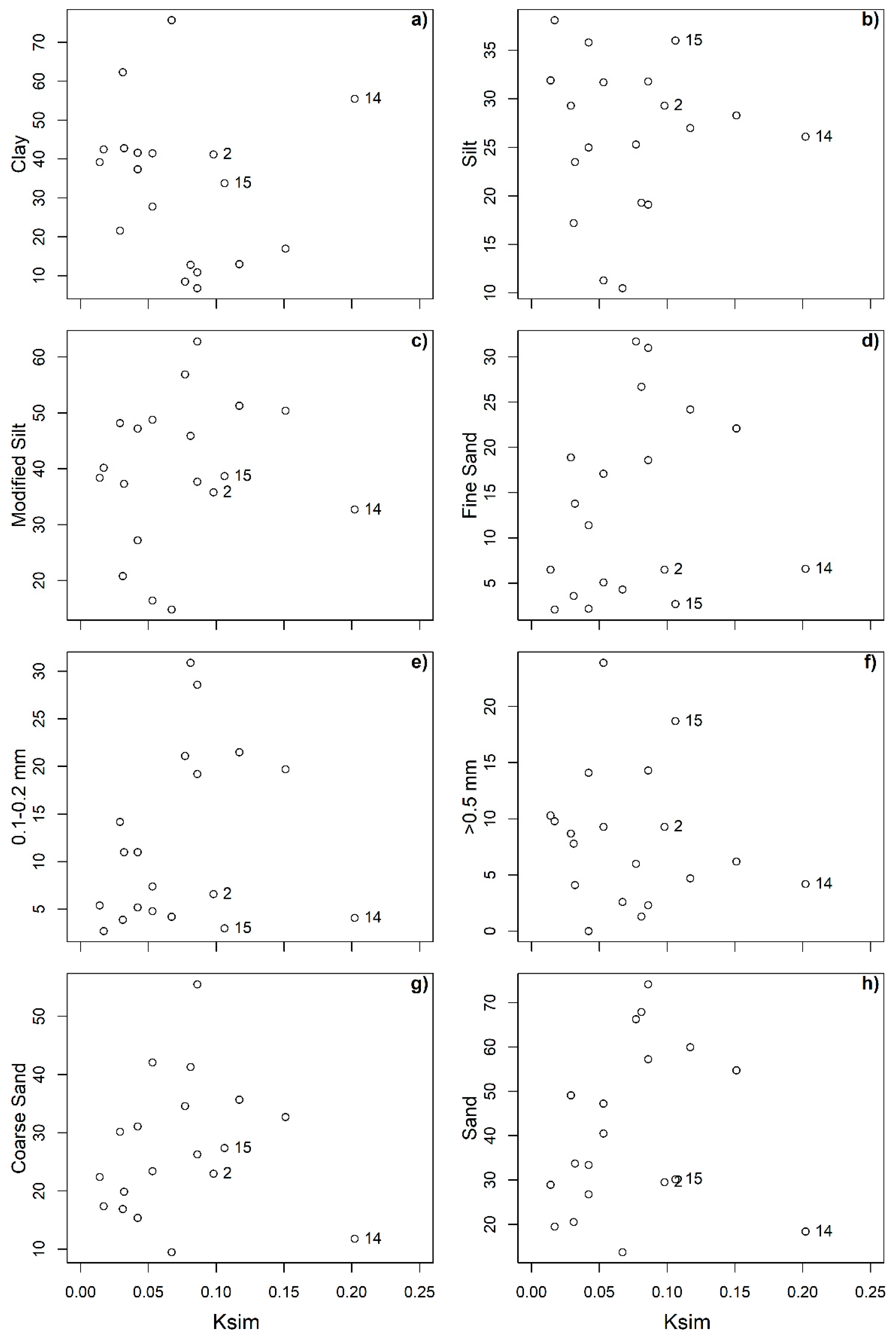
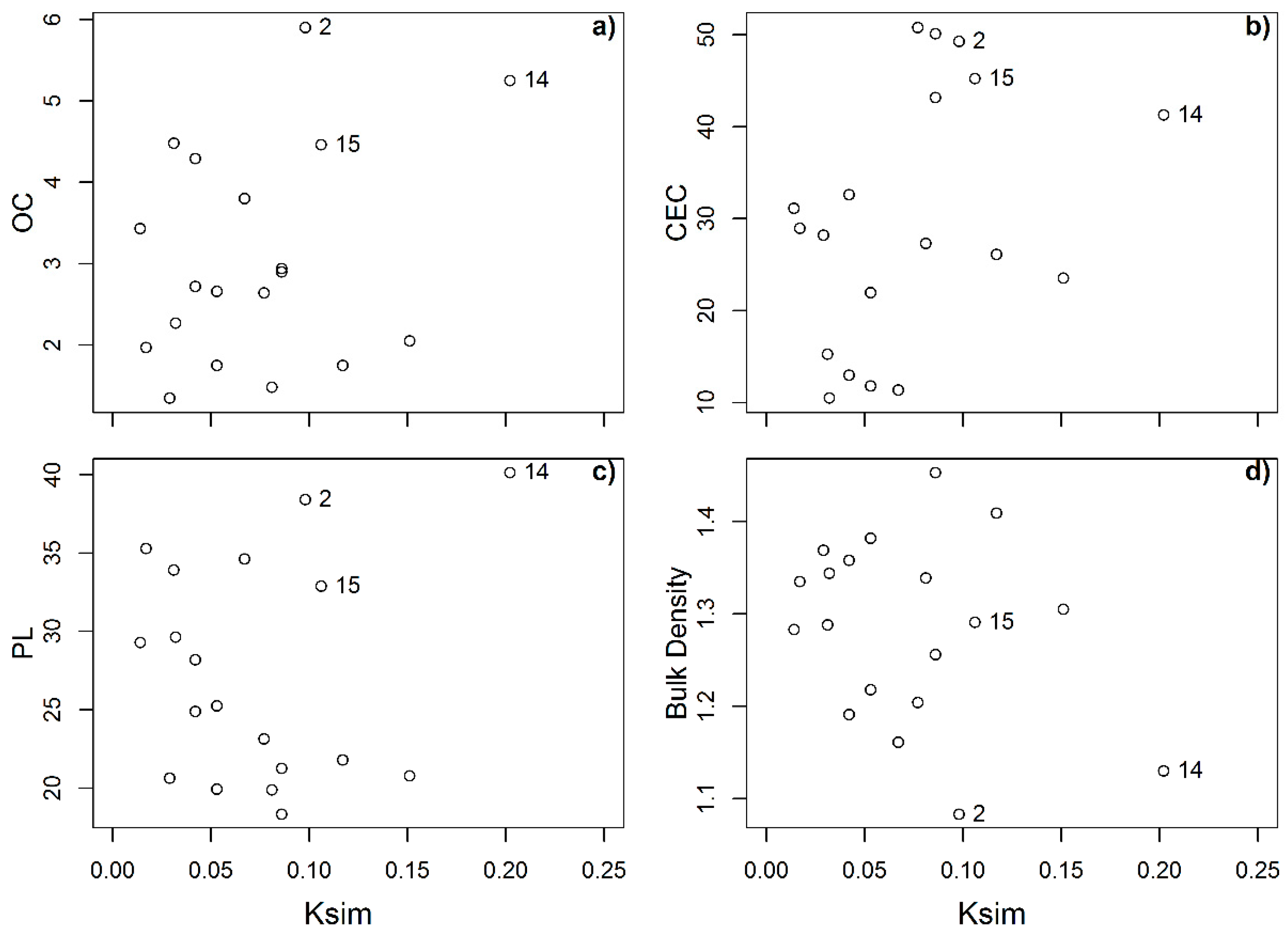
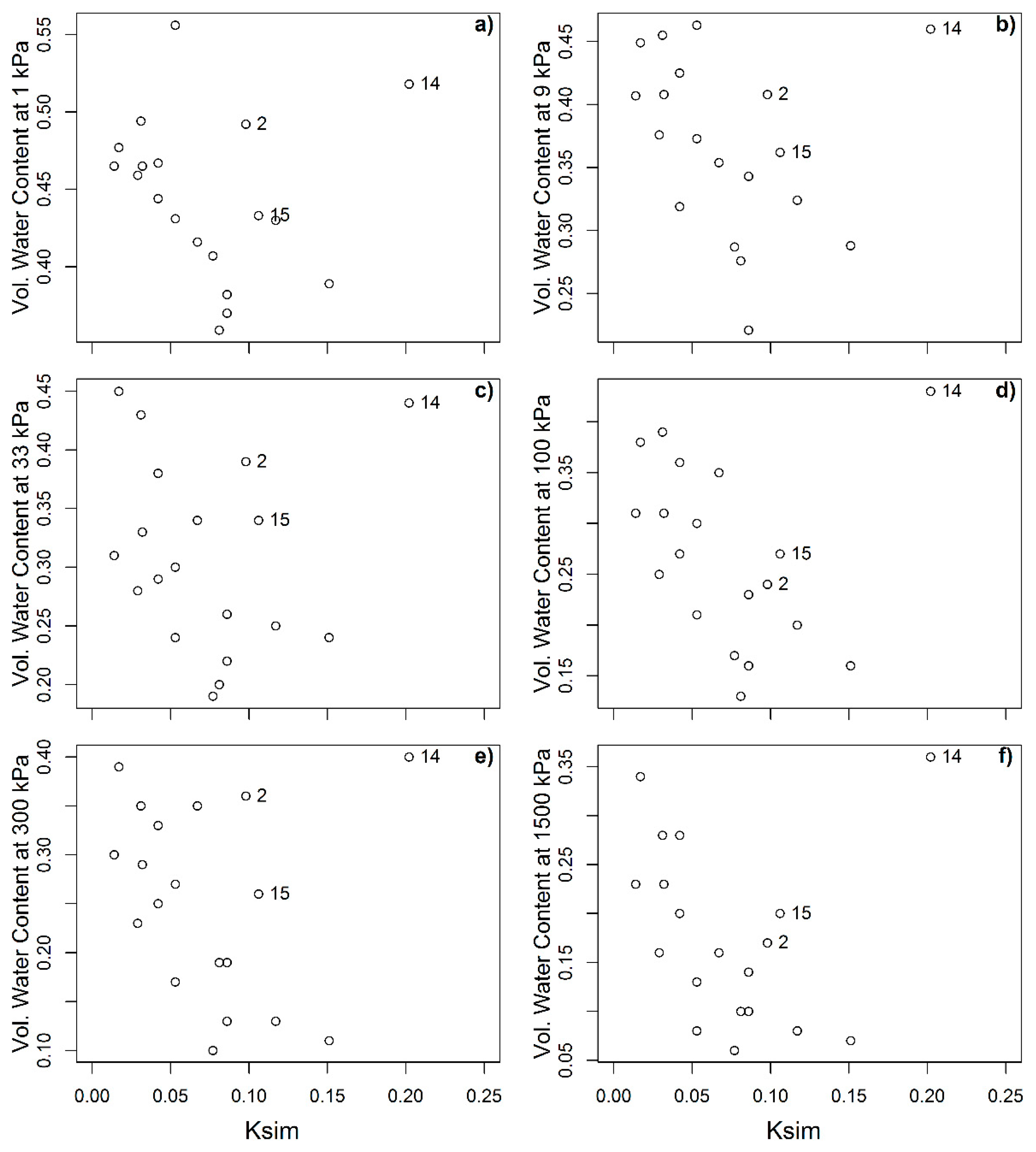
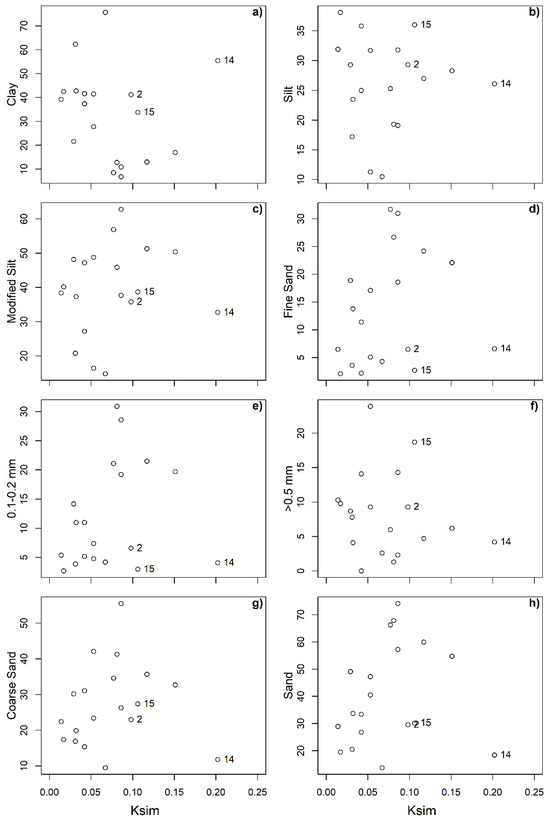
3.1. Erodibility–Soil Property Relationship
3.2. New Erodibility Equation
3.3. Testing Well-Known Erodibility Equations
4. Conclusions
Author Contributions
Funding
Data Availability Statement
Acknowledgments
Conflicts of Interest
References
- Instituto de Suelos. Programa Nacional de Mejoramiento y Conservación de Suelos; Ministerio de la Agricultura. Agrinfor: Havana, Cuba, 2001; p. 38. [Google Scholar]
- Republic of Cuba. Second National Communication to the United Nations Framework Convention on Climate Change; Government of Cuba: La Habana, Cuba, 2015; p. 228.
- Panagos, P.; Borrelli, P.; Poesen, J.; Ballabio, C.; Lugato, E.; Meusburger, K.; Montanarella, L.; Alewell, C. The new assessment of soil los by water erosion in Europe. Environ. Sci. Policy 2015, 54, 438–447. [Google Scholar] [CrossRef]
- Auerswald, K.; Fiener, P.; Martin, W.; Elhaus, D. Use and misuse of the K factor equation in soil erosion modeling: An alternative equation for determining USLE nomograph soil erodibility values. Catena 2014, 118, 220–225. [Google Scholar] [CrossRef]
- Wischmeier, W.H.; Mannering, J.V. Relation of Soil Properties to its Erodibility. Soil Sci. Soc. Am. J. 1969, 33, 131–137. [Google Scholar] [CrossRef]
- Renard, K.G.; Foster, G.R.; Weesies, G.A.; Mccool, D.K.; Yoder, D.C. Predicting Soil Erosion by Water: A Guide to Conservation Planning with the Revised Universal Soil Loss Equation (RUSLE); USDA Agriculture Handbook No. 703; U.S. Department of Agriculture: Washington, DC, USA, 1997; Volume 537.
- Le Bissonnais, Y. Soil characteristics and aggregate stability. In Soil Erosion, Conservation and Rehabilitation; Agassi, M., Ed.; CRC Press: Boca Raton, FL, USA, 1995; pp. 41–60. [Google Scholar]
- Dimoyiannis, D.G.; Tsadilas, C.D.; Valmis, S. Factors affecting aggregate instability of Greek agricultural soils. Commun. Soil Sci. Plant Anal. 1998, 29, 1239–1251. [Google Scholar] [CrossRef]
- Six, J.; Feller, C.; Denef, K.; Ogle, S.M.; De Moraes Sá, J.C.; Albrecht, A. Soil organic matter, biota and aggregation in temperate and tropical soils—Effect of no-tillage. Agronomie 2002, 22, 755–775. [Google Scholar] [CrossRef]
- Lado, M.; Ben-Hur, M. Soil mineralogy effects on seal formation, runoff and soil loss. Appl. Clay Sci. 2004, 24, 209–224. [Google Scholar] [CrossRef]
- Singer, A. Clay mineralogy as affecting dispersivity and crust formation in Aridisols. In Proceedings of the Transactions of 15th World Congress of Soil Science, Acapulco, Mexico, 10–16 July 1994; Etchevers, J.D., Ed.; Society of Soil Science: Sydney, Australia, 1994; Volume 8a, pp. 37–46. [Google Scholar]
- Sposito, G. The Chemistry of Soils; Oxford University Press: New York, NY, USA, 1989. [Google Scholar]
- Sumner, M.E.; Miller, W.P. Cation Exchange Capacity and Exchange Coefficients. In Methods of Soil Analysis, Part 3—Chemical Methods; Sparks, D.L., Ed.; Soil Science Society of America: Madison, WI, USA, 1996; pp. 1201–1229. [Google Scholar]
- Reichert, J.M.; Norton, L.D.; Favaretto, N.; Huang, C.; Blume, E. Settling velocity, aggregate stability, and interrill erodibility of soils varying in clay mineralogy. Soil Sci. Soc. Am. J. 2009, 73, 1369–1377. [Google Scholar] [CrossRef]
- Römkens, M.J.M. The soil erodibility factor: A perspective. In Soil Erosion and Conservation; El-Swaify, S.A., Moldenhauer, W.C., Lo, A., Eds.; Soil Conservation Society of America: Ankeny, IA, USA, 1985; pp. 445–461. ISBN 978-0-935734-11-9. [Google Scholar]
- Kinnel, P.I.A. A Review of the Science and Logic Associated with Approach Used in the Universal Soil Loss Equation Family of Models. Soil Syst. 2019, 3, 62. [Google Scholar] [CrossRef]
- Kinnel, P.I.A. Event soil loss, runoff and the Universal Soil Loss Equation family of models: A review. J. Hydrol. 2010, 385, 384–397. [Google Scholar] [CrossRef]
- El-Swaify, S.A.; Dangler, E.W. Erodibilities of selected tropical soils in relation to structural and hydrologic parameters. In Soil Erosion: Prediction and Control; Soil Conservation Society of America: Ankeny, IA, USA, 1976; pp. 105–114. [Google Scholar]
- Loch, R.; Slater, B.; Devoil, C. Soil erodibility (Km) values for some Australian soils. Soil Res. 1998, 36, 1045–1056. [Google Scholar] [CrossRef]
- Schiettecatte, W.; D’hondt, L.; Cornelis, W.M.; Acosta, M.L.; Leal, Z.; Lauwers, N.; Almoza, Y.; Alonso, G.R.; Díaz, J.; Ruíz, M.; et al. Influence of landuse on soil erosion risk in the Cuyaguateje watershed (Cuba). Catena 2008, 74, 1–12. [Google Scholar] [CrossRef]
- INRH. Catálogo de Cuencas Hidrográficas (Río Cuyaguateje); Instituto Nacional de Recursos Hidráulicos: Pinar del Río, Cuba, 2000.
- CTCH. Diagnóstico Ambiental de la Cuenca Cuyaguateje; Consejo Territorial de Cuencas Hidrográficas: Pinar del Río, Cuba, 2003. [Google Scholar]
- De Leenheer, L. Soil texture. In Handbuch der Planzenernährung und-Düngung; Band ii: Boden und Düngemittel; Linser, H., Ed.; Springer: New York, NY, USA, 1966; p. 91. [Google Scholar]
- Walkley, A.; Black, I.A. An Examination of Degtjareff Method for Determining Soil Organic Matter and a Proposed Modification of the Chromic Acid Titration Method. Soil Sci. 1934, 37, 29–37. [Google Scholar] [CrossRef]
- Gavlak, R.; Horneck, D.; Miller, R.O.; Kotuby-Amacher, J. Plant, Soil, and Water Reference Methods for the Western Region, WREP 125, 2nd ed.; Oregon State University Corvallis: Corvallis, OR, USA, 2003. [Google Scholar]
- ASFTM D4318; Standard Test Methods for Liquid Limit, Plastic Limit and Plasticity Index of Soil. Annual Book of ASTM Standards; ASTM International: West Conshohocken, PA, USA, 2000; pp. 546–558.
- Eijkelkamp. Equipment for Determining Moisture Characteristic Curves of Soil Samples [pF-Equipment] pF 0-4,2 [0-15,5 Bar]; Eijkelkamp: Giesbeek, The Netherlands, 1983. [Google Scholar]
- Richards, L. Methods of measuring soil moisture tension. Soil Sci. 1949, 68, 95–112. [Google Scholar] [CrossRef]
- USDA. Soil Survey Manual. U.S. Department of Agriculture Handbook; No. 18; U.S. Government Printing Office: Washington, DC, USA, 1951.
- Cornelis, W.M.; Erpul, G.; Gabriels, D. The I.C.E. wind tunnel for water and wind interaction research. In Wind and Rain Interaction in Erosion; Visser, S., Cornelis, W.M., Eds.; Tropical Resource Management Paper; Wageningen University and Research Centre: Wageningen, The Netherlands, 2004; Volume 50, pp. 195–224. [Google Scholar]
- Erpul, G.; Gabriels, D.; Janssens, D. Assessing the drop size distribution of simulated rainfall in a wind tunnel. Soil Tillage Res. 1998, 45, 455–463. [Google Scholar] [CrossRef]
- Wischmeier, W.H.; Smith, D.D. Predicting rainfall-erosion losses: A guide to conservation planning. In Agriculture Handbook; USDA. Government Printing Office: Washington, DC, USA, 1978; p. 537. [Google Scholar]
- Foster, G.R.; Meyer, L.D.; Onstad, C.A. A runoff erosivity factor and variable slope length exponents for soil loss estimates. Trans. Am. Soc. Agric. Eng. ASAE 1977, 20, 683–687. [Google Scholar] [CrossRef]
- McCool, D.K.; Foster, G.R.; Mutchler, C.K.; Meyer, L.D. Revised slope length factor for the Universal Soil Loss Equation. Trans. ASAE 1989, 32, 1571–1576. [Google Scholar] [CrossRef]
- Deschuttere, B. Assessment of Soil Infiltration Characteristics Under Laboratory and Field Conditions in the Río Cuyaguateje Watershed (Cuba). Master’s Thesis, Faculty of Bioscience Engineering, Ghent University, Ghent, Belgium, 2007. [Google Scholar]
- Wischmeier, W.H.; Jhonson, C.B.; Cross, B.V. A soil erodibility nomograph for farmland and construction sites. J. Soil Water Conserv. 1971, 26, 189–193. [Google Scholar]
- Young, R.A.; Mutchler, C.K. Erodibility of some Minnesota soils. J. Soil Water Conserv. 1977, 32, 180–182. [Google Scholar]
- Lado, M.; Ben-Hur, M.; Shainberg, I. Soil wetting and texture effects on aggregate stability, seal formation, and erosion. Soil Sci. Soc. Am. J. 2004, 68, 1992–1999. [Google Scholar] [CrossRef]
- Morgan, R.P.C. Soil Erosion and Conservation; Addison Wesley Longman Limited: London, UK, 2005; p. 384. [Google Scholar]
- Rienks, S.M.; Botha, G.A.; Hughes, J.C. Some physical and chemical properties of sediments exposed in a gully (donga) in northern KwaZulu-Natal, South Africa and their relationship to the erodibility of the colluvial layers. Catena 2000, 39, 11–31. [Google Scholar] [CrossRef]
- Voznesensky, A.S.; Artsruui, A.B. A laboratory method for determining the anti-erosion stability of soils. Soils Fertil. Commonw. Bur. Soil 1940, 10, 289. [Google Scholar]








| Property | ID | Method/Device | Unit | Sample a |
|---|---|---|---|---|
| Texture fractions: ≤2, 2–50, 50–100, 100–200, 200–500, >500 μm | De Leenheer [23] | % | DS | |
| Organic Carbon | OC | Walkley and Black [24] | % | DS |
| pH in H2O | pH | pH-meter | - | DS |
| Electrical Conductivity | EC | Conductometer | µS m−1 | DS |
| Cation exchange capacity | CEC | Gavlak et al. [25] | cmol+ kg−1 | DS |
| Plastic limit | PL | ASFTM D4318 [26] | % | DS |
| Water retention curve vol. water content at 1, 5, 9, 33, 100, 300, 1500 kPa | θv | Eijkelkamp [27] and Richards [28] | cm3 cm−3 | UD |
| Bulk density | ρb | Gravimetric | g cm−3 | UD |
| Penetration resistance | PR | Penetrometer | (kPa) | in situ |
| Infiltration | Inf | from rainfall simulations | mm h−1 | in situ |
| Soil ID | Textural Class | Clay | Silt | Mod-Silt * | Fine Sand | 0.1–0.2 mm | 0.2–0.5 mm | >0.5 mm | Coarse Sand | Sand |
|---|---|---|---|---|---|---|---|---|---|---|
| % | % | % | % | % | % | % | % | % | ||
| 1 | clay | 75.7 | 10.5 | 14.8 | 4.3 | 4.2 | 2.7 | 2.6 | 9.5 | 13.7 |
| 2 | clay | 41.2 | 29.3 | 35.8 | 6.5 | 6.6 | 7.1 | 9.3 | 23.0 | 29.5 |
| 3 | sandy loam | 12.8 | 19.3 | 45.9 | 26.7 | 30.9 | 9.1 | 1.3 | 41.3 | 67.9 |
| 4 | sandy loam | 17.0 | 28.3 | 50.4 | 22.1 | 19.7 | 6.8 | 6.2 | 32.7 | 54.7 |
| 5 | sandy loam | 10.9 | 31.8 | 62.8 | 31.0 | 19.2 | 4.8 | 2.3 | 26.3 | 57.3 |
| 6 | sandy loam | 37.4 | 35.8 | 47.2 | 11.4 | 11.0 | 4.4 | 0.0 | 15.4 | 26.8 |
| 7 | sandy loam | 8.5 | 25.3 | 56.9 | 31.7 | 21.1 | 7.4 | 6.0 | 34.6 | 66.3 |
| 8 | loam | 21.6 | 29.3 | 48.2 | 18.9 | 14.2 | 7.3 | 8.7 | 30.2 | 49.1 |
| 9 | sandy loam | 13.0 | 27.0 | 51.3 | 24.2 | 21.5 | 9.5 | 4.7 | 35.7 | 60.0 |
| 10 | clay loam | 27.8 | 31.7 | 48.8 | 17.1 | 7.4 | 6.7 | 9.3 | 23.4 | 40.5 |
| 11 | sandy clay | 41.5 | 11.3 | 16.4 | 5.1 | 4.8 | 13.3 | 23.9 | 42.1 | 47.2 |
| 12 | clay | 62.3 | 17.2 | 20.8 | 3.6 | 3.9 | 5.2 | 7.8 | 16.9 | 20.5 |
| 13 | clay | 42.8 | 23.5 | 37.3 | 13.8 | 11.0 | 4.8 | 4.1 | 19.9 | 33.7 |
| 14 | clay | 55.5 | 26.1 | 32.7 | 6.6 | 4.1 | 3.5 | 4.2 | 11.8 | 18.4 |
| 15 | clay loam | 33.8 | 36.0 | 38.7 | 2.7 | 3.0 | 5.7 | 18.7 | 27.4 | 30.2 |
| 16 | clay | 42.5 | 38.1 | 40.2 | 2.1 | 2.7 | 4.9 | 9.8 | 17.4 | 19.5 |
| 17 | clay loam | 39.2 | 31.9 | 38.4 | 6.5 | 5.4 | 6.7 | 10.3 | 22.4 | 28.9 |
| 18 | loamy sand | 6.8 | 19.1 | 37.7 | 18.6 | 28.6 | 12.6 | 14.3 | 55.5 | 74.1 |
| 19 | clay | 41.6 | 25.0 | 27.2 | 2.2 | 5.2 | 11.8 | 14.1 | 31.1 | 33.4 |
| Soil | OC | pH | EC | CEC | PL | ρb | θv-1 | θv-5 | θv-9 | θv-33 | θv-100 | θv-300 | θv-1500 | PR | Inf | Ksim | Knom | KDg |
|---|---|---|---|---|---|---|---|---|---|---|---|---|---|---|---|---|---|---|
| ID | % | - | μS cm−1 | cmol+ kg−1 | % | g cm−3 | cm3 cm−3 | cm3 cm−3 | cm3 cm−3 | cm3 cm−3 | cm3 cm−3 | cm3 cm−3 | cm3 cm−3 | kPa | mm h−1 | u | u | u |
| 1 | 3.80 | 7.06 | 73.55 | 11.35 | 34.63 | 1.16 | 0.416 | 0.363 | 0.354 | 0.341 | 0.354 | 0.353 | 0.165 | 1309.2 | 52.9 | 0.067 | 0.006 | 0.026 |
| 2 | 5.9 | 6.44 | 43.75 | 49.27 | 38.42 | 1.08 | 0.492 | 0.422 | 0.408 | 0.387 | 0.240 | 0.356 | 0.169 | 1732.5 | 13.3 | 0.098 | 0.018 | 0.044 |
| 3 | 1.48 | 6.86 | 60.8 | 27.32 | 19.88 | 1.34 | 0.359 | 0.301 | 0.276 | 0.202 | 0.126 | 0.188 | 0.098 | 816.6 | 35.8 | 0.081 | 0.033 | 0.019 |
| 4 | 2.05 | 6.87 | 63.65 | 23.54 | 20.77 | 1.30 | 0.389 | 0.306 | 0.288 | 0.243 | 0.162 | 0.106 | 0.070 | 1196.1 | 35.9 | 0.151 | 0.037 | 0.028 |
| 5 | 2.94 | 6.51 | 71.6 | 43.18 | 21.25 | 1.45 | 0.382 | 0.357 | 0.343 | 0.263 | 0.230 | 0.187 | 0.137 | 1118.5 | 12.8 | 0.086 | 0.046 | 0.024 |
| 6 | 4.29 | 6.25 | 28.4 | 32.61 | 28.19 | 1.36 | 0.467 | 0.436 | 0.425 | 0.378 | 0.359 | 0.326 | 0.279 | 1413.4 | 5.9 | 0.042 | 0.017 | 0.044 |
| 7 | 2.64 | 8.14 | 42.45 | 50.78 | 23.13 | 1.20 | 0.407 | 0.332 | 0.287 | 0.190 | 0.174 | 0.102 | 0.064 | 803.6 | 26.5 | 0.077 | 0.045 | 0.018 |
| 8 | 1.35 | 6.69 | 51.9 | 28.21 | 20.63 | 1.37 | 0.459 | 0.397 | 0.376 | 0.279 | 0.249 | 0.229 | 0.158 | 631.6 | 53.6 | 0.029 | 0.035 | 0.033 |
| 9 | 1.75 | 6.9 | 39.85 | 26.10 | 21.79 | 1.41 | 0.430 | 0.358 | 0.324 | 0.251 | 0.198 | 0.130 | 0.084 | 1230.0 | 39.5 | 0.117 | 0.045 | 0.023 |
| 10 | 1.75 | 6.82 | 57.45 | 21.94 | 25.25 | 1.38 | 0.431 | 0.384 | 0.373 | 0.305 | 0.302 | 0.271 | 0.127 | 2073.3 | 25.5 | 0.053 | 0.036 | 0.040 |
| 11 | 2.66 | 6.6 | 74.2 | 11.81 | 19.93 | 1.22 | 0.556 | 0.495 | 0.463 | 0.242 | 0.213 | 0.169 | 0.085 | 1126.6 | 18.4 | 0.053 | 0.010 | 0.042 |
| 12 | 4.48 | 6.88 | 41.3 | 15.26 | 33.92 | 1.29 | 0.494 | 0.469 | 0.455 | 0.430 | 0.391 | 0.349 | 0.283 | 1328.4 | 58.5 | 0.031 | 0.005 | 0.036 |
| 13 | 2.27 | 6.99 | 44.45 | 10.50 | 29.63 | 1.34 | 0.465 | 0.424 | 0.408 | 0.328 | 0.309 | 0.288 | 0.227 | 1152.6 | 26.4 | 0.032 | 0.017 | 0.044 |
| 14 | 5.25 | 7.01 | 48.7 | 41.27 | 40.14 | 1.13 | 0.518 | 0.475 | 0.460 | 0.438 | 0.428 | 0.396 | 0.357 | 1334.7 | 7.7 | 0.202 | 0.011 | 0.037 |
| 15 | 4.46 | 7.35 | 44.85 | 45.23 | 32.89 | 1.29 | 0.433 | 0.382 | 0.362 | 0.340 | 0.274 | 0.263 | 0.203 | 1465.3 | 36.6 | 0.106 | 0.016 | 0.044 |
| 16 | 1.97 | 6.93 | 67.05 | 28.94 | 35.29 | 1.34 | 0.477 | 0.457 | 0.449 | 0.454 | 0.379 | 0.388 | 0.336 | 1301.1 | 27.9 | 0.017 | 0.023 | 0.042 |
| 17 | 3.43 | 6.85 | 50.35 | 31.13 | 29.28 | 1.28 | 0.465 | 0.426 | 0.407 | 0.313 | 0.314 | 0.303 | 0.225 | 843.2 | 18.3 | 0.014 | 0.020 | 0.044 |
| 18 | 2.90 | 6.44 | 37.45 | 50.13 | 18.32 | 1.26 | 0.370 | 0.281 | 0.221 | 0.215 | 0.162 | 0.130 | 0.097 | 954.5 | 24.1 | 0.086 | 0.028 | 0.014 |
| 19 | 2.72 | 6.64 | 60.35 | 12.97 | 24.88 | 1.19 | 0.444 | 0.345 | 0.319 | 0.290 | 0.270 | 0.250 | 0.201 | 923.7 | 19.4 | 0.042 | 0.015 | 0.044 |
| Model | Estimate | Std. Error | t Value | Pr (>|t|) | α | ||
|---|---|---|---|---|---|---|---|
| mean | 2.5% | 97.5% | |||||
| Intercept | −4.88 | −5.71 | −4.04 | 0.39 | −12.52 | 5.4 × 10–9 | 0.00 |
| log(θv-1500) | −0.98 | −1.39 | −0.56 | 0.19 | −5.04 | 0.00018 | 0.00 |
Disclaimer/Publisher’s Note: The statements, opinions and data contained in all publications are solely those of the individual author(s) and contributor(s) and not of MDPI and/or the editor(s). MDPI and/or the editor(s) disclaim responsibility for any injury to people or property resulting from any ideas, methods, instructions or products referred to in the content. |
© 2025 by the authors. Licensee MDPI, Basel, Switzerland. This article is an open access article distributed under the terms and conditions of the Creative Commons Attribution (CC BY) license (https://creativecommons.org/licenses/by/4.0/).
Share and Cite
Alonso, G.R.; Casalí, J.; Campo-Bescós, M.Á.; Díaz, J. Soil Properties Governing Erodibility of Cuban Soils: A Univariate Erodibility Equation. Soil Syst. 2025, 9, 131. https://doi.org/10.3390/soilsystems9040131
Alonso GR, Casalí J, Campo-Bescós MÁ, Díaz J. Soil Properties Governing Erodibility of Cuban Soils: A Univariate Erodibility Equation. Soil Systems. 2025; 9(4):131. https://doi.org/10.3390/soilsystems9040131
Chicago/Turabian StyleAlonso, Gustavo R., Javier Casalí, Miguel Ángel Campo-Bescós, and Jorge Díaz. 2025. "Soil Properties Governing Erodibility of Cuban Soils: A Univariate Erodibility Equation" Soil Systems 9, no. 4: 131. https://doi.org/10.3390/soilsystems9040131
APA StyleAlonso, G. R., Casalí, J., Campo-Bescós, M. Á., & Díaz, J. (2025). Soil Properties Governing Erodibility of Cuban Soils: A Univariate Erodibility Equation. Soil Systems, 9(4), 131. https://doi.org/10.3390/soilsystems9040131

