How and to What Extent Does Topography Control the Results of Soil Function Assessment: A Case Study From the Alps in South Tyrol (Italy)
Abstract
1. Introduction
2. Materials and Methods
2.1. Study Area, Soil Data, and Digital Terrain Model
2.2. General Work-Flow
2.2.1. SEPP: Soil Evaluation for Planning Procedures
Habitat for Drought-Tolerant Species
Habitat for Moisture-Tolerant Species
Habitat for Soil Organisms
Habitat for Crops
Retention of Precipitation
Short-Term Retention of Heavy Precipitation
Groundwater Recharge
Nutrient Provision to Plants
Carbon Storage
Retention of Heavy Metals
Transformation of Organic Contaminants
Filtration and Buffering of Organic Contaminants
Retention of Water-Soluble Contaminants
Buffering of Acidic Substances
2.2.2. The Predictor Variable Set: Terrain Parameters and Landform Classification
2.2.3. Statistical Learning and Variable Selection Procedure
2.2.4. Post-Feature-Selection Analysis
3. Results
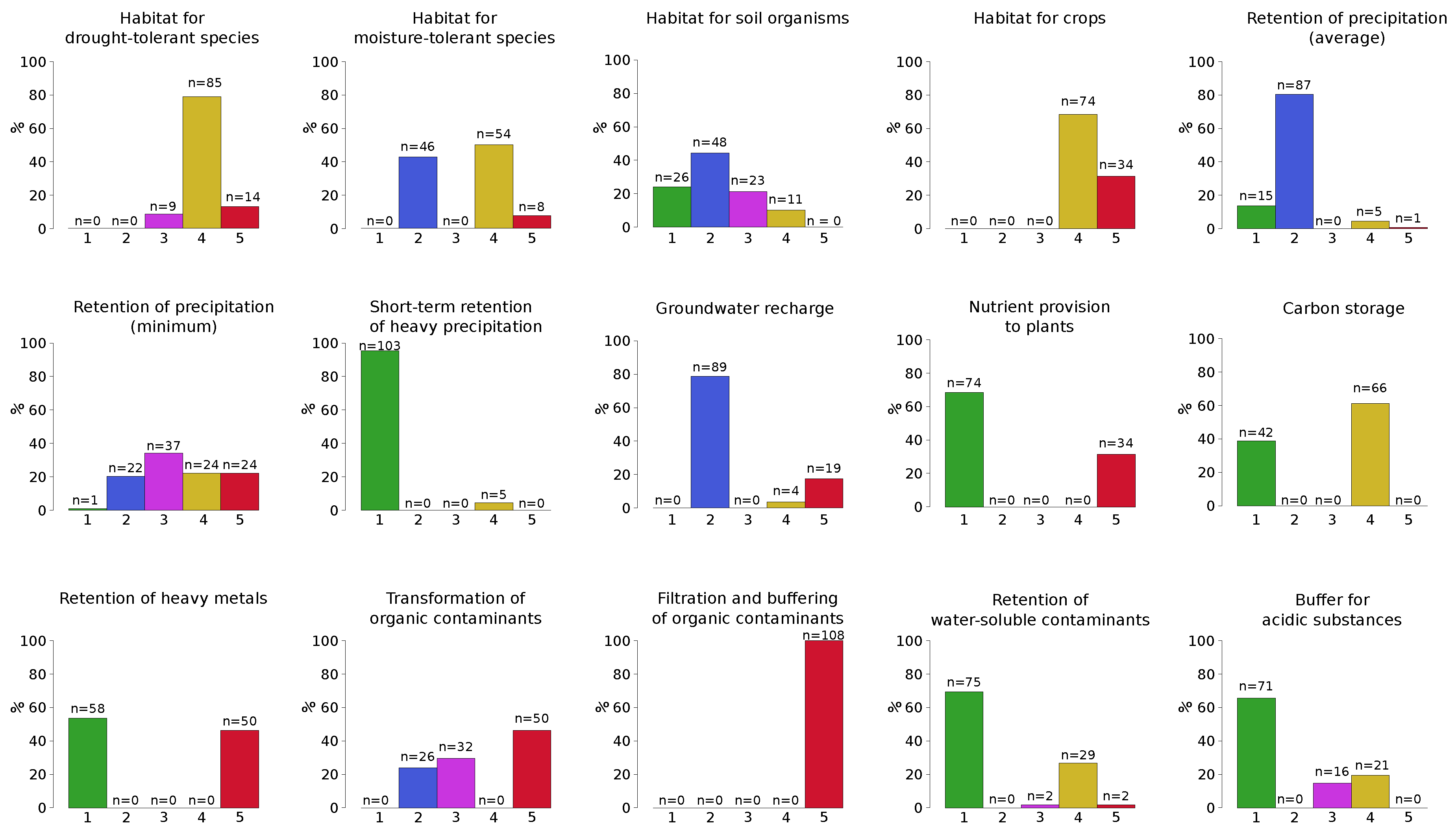
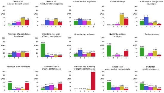
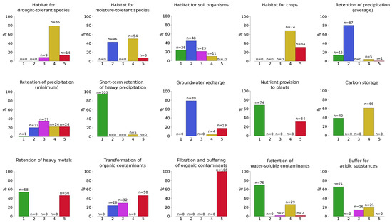
3.1. Habitat for Drought-Tolerant Species
3.2. Habitat for Moisture-Tolerant Species
3.3. Habitat for Soil Organisms
3.4. Habitat for Crops
3.5. Retention of Precipitation
3.6. Short-Term Retention of Heavy Precipitation
3.7. Groundwater Recharge
3.8. Nutrient Provision to Plants
3.9. Carbon Storage
3.10. Retention of Heavy Metals
3.11. Transformation of Organic Contaminants
3.12. Filtration and Buffering of Organic Contaminants
3.13. Retention of Water-Soluble Contaminants
3.14. Buffer for Acidic Substances
4. Discussion
5. Conclusions
Author Contributions
Funding
Acknowledgments
Conflicts of Interest
Abbreviations
| CV | Cross-validation |
| DTM | Digital Terrain Model |
| SFA | Soil function assessment |
| SVM | Support Vector Machine |
References
- European Commission. Toward a Thematic Strategy for Soil Protection. COM/2002/0179 Final; Technical Report; European Commission: Brussels, Belgium, 2002. [Google Scholar]
- Soil Threats in Europe: Status, Methods, Drivers and Effects on Ecosystem Services; EUR 27607 EN; Technical Report; JRC: Tokyo, Japan, 2016.
- Karlen, D.L.; Mausbach, M.J.; Doran, J.W.; Cline, R.G.; Harris, R.F.; Schuman, G.E. Soil Quality: A Concept, Definition, and Framework for Evaluation (A Guest Editorial). Soil Sci. Soc. Am.J. 1997, 61, 4–10. [Google Scholar] [CrossRef]
- Ad-hoc-Arbeitsgruppe Boden. Methodenkatalog zur Bewertung natürlicher Bodenfunktionen, der Archivfunktion des Bodens, der Nutzfunktion “Rohstofflagerstätte” nach BBodSchG Sowie der Empfindlichkeit des Bodens GegenüBer Erosion und Verdichtung; Bundesanstalt für Geowissenschaften und Rohstoffe (BGR): Hannover, Germany, 2007. [Google Scholar]
- Haslmayr, H.P.; Geitner, C.; Sutor, G.; Knoll, A.; Baumgarten, A. Soil function evaluation in Austria—Development, concepts and examples. Geoderma 2016, 264, 379–387. [Google Scholar] [CrossRef]
- Greiner, L.; Keller, A.; Grêt-Regamey, A.; Papritz, A. Soil function assessment: review of methods for quantifying the contributions of soils to ecosystem services. Land Use Policy 2017, 69, 224–237. [Google Scholar] [CrossRef]
- Blum, W.E.H. Functions of Soil for Society and the Environment. Rev. Environ. Sci. Biol. Technol. 2005, 4, 75–79. [Google Scholar] [CrossRef]
- Jenny, R.; Geitner, C.; Gruban, W.; Tusch, M. Soil Evaluation in Spatial Planning. A Contribution to Sustainable Spatial Development—Results of the EU-Interreg IIIB Alpine Space Project TUSEC-IP; Technical Report; Karo Druck KG/Sas: Frangart, Italy, 2006. [Google Scholar]
- Volchko, Y.; Norrman, J.; Rosén, L.; Bergknut, M.; Josefsson, S.; Söderqvist, T.; Norberg, T.; Wiberg, K.; Tysklind, M. Using soil function evaluation in multi-criteria decision analysis for sustainability appraisal of remediation alternatives. Sci. Total Environ. 2014, 485, 785–791. [Google Scholar] [CrossRef] [PubMed]
- Geitner, C.; Baruck, J.; Freppaz, M.; Godone, D.; Grashey-Jansen, S.; Gruber, F.E.; Heinrich, K.; Papritz, A.; Simon, A.; Stanchi, S.; et al. Chapter 8—Soil and Land Use in the Alps—Challenges and Examples of Soil-Survey and Soil-Data Use to Support Sustainable Development. In Soil Mapping and Process Modeling for Sustainable Land Use Management; Pereira, P., Brevik, E.C., Muñoz-Rojas, M., Miller, B.A., Eds.; Elsevier: Amsterdam, The Netherlands, 2017; pp. 221–292. [Google Scholar]
- Drobnik, T.; Greiner, L.; Keller, A.; Grêt-Regamey, A. Soil quality indicators—From soil functions to ecosystem services. Ecol. Indic. 2018, 94, 151–169. [Google Scholar] [CrossRef]
- Greiner, L.; Nussbaum, M.; Papritz, A.; Zimmermann, S.; Gubler, A.; Grêt-Regamey, A.; Keller, A. Uncertainty indication in soil function maps–transparent and easy-to-use information to support sustainable use of soil resources. SOIL 2018, 4, 123–139. [Google Scholar] [CrossRef]
- Dominati, E.; Patterson, M.; Mackay, A. A framework for classifying and quantifying the natural capital and ecosystem services of soils. Ecol. Econ. 2010, 69, 1858–1868. [Google Scholar] [CrossRef]
- Adhikari, K.; Hartemink, A.E. Linking soils to ecosystem services—A global review. Geoderma 2016, 262, 101–111. [Google Scholar] [CrossRef]
- Baveye, P.C.; Baveye, J.; Gowdy, J. Soil “Ecosystem” Services and Natural Capital: Critical Appraisal of Research on Uncertain Ground. Front. Environ. Sci. 2016, 4, 41. [Google Scholar] [CrossRef]
- Lagacherie, P.; McBratney, A. Chapter 1 Spatial Soil Information Systems and Spatial Soil Inference Systems: Perspectives for Digital Soil Mapping. In Digital Soil Mapping; Soil Science; Lagacherie, P., McBratney, A., Voltz, M., Eds.; Elsevier: Amsterdam, The Netherlands, 2006; Volume 31, pp. 3–22. [Google Scholar] [CrossRef]
- Herbst, P.; Gross, J.; Meer, U.; Mosimann, T. Geomorphographic terrain classification for predicting forest soil properties in Northwestern Switzerland. Z. Geomorphol. 2012, 56, 1–22. [Google Scholar] [CrossRef]
- Häring, T.; Dietz, E.; Osenstetter, S.; Koschitzki, T.; Schröder, B. Spatial disaggregation of complex soil map units: A decision-tree based approach in Bavarian forest soils. Geoderma 2012, 185, 37–47. [Google Scholar] [CrossRef]
- Ballabio, C. Spatial prediction of soil properties in temperate mountain regions using support vector regression. Geoderma 2009, 151, 338–350. [Google Scholar] [CrossRef]
- Gallant, J.C.; Wilson, J.P. Terrain Analysis-Principles and Applications; Chapter Primary Topographic Attributes; John Wiley & Sons, Inc.: Hoboken, NJ, USA, 2000; pp. 51–85. [Google Scholar]
- Olaya, V. Chapter 6: Basic Land-Surface Parameters. In Geomorphometry Concepts, Software, Applications; Developments in Soil Science; Hengl, T., Reuter, H.I., Eds.; Elsevier: Amsterdam, The Netherlands, 2009; Volume 33, pp. 141–169. [Google Scholar] [CrossRef]
- Kringer, K.; Tusch, M.; Geitner, C.; Rutzinger, M.; Wiegand, C.; Meissl, G. Geomorphometric Analyses of LiDAR Digital Terrain Models as Input for Digital Soil Mapping. Proc. Geomorph. 2009, 31, 74–81. [Google Scholar]
- Drăguţ, L.; Schauppenlehner, T.; Muhar, A.; Strobl, J.; Blaschke, T. Optimization of scale and parametrization for terrain segmentation: An application to soil-landscape modeling. Comput. Geosci. 2009, 35, 1875–1883. [Google Scholar] [CrossRef]
- Gruber, F.E.; Baruck, J.; Geitner, C. Algorithms vs. surveyors: A comparison of automated landform delineations and surveyed topographic positions from soil mapping in an Alpine environment. Geoderma 2017, 308, 9–25. [Google Scholar] [CrossRef]
- Behrens, T.; Scholten, T. Chapter 25 A Comparison of Data-Mining Techniques in Predictive Soil Mapping. In Digital Soil Mapping An Introductory Perspective; Developments in Soil Science; Elsevier: Amsterdam, The Netherlands, 2006; Volume 31, pp. 353–617. [Google Scholar] [CrossRef]
- Rossel, R.V.; Behrens, T. Using data mining to model and interpret soil diffuse reflectance spectra. Geoderma 2010, 158, 46–54. [Google Scholar] [CrossRef]
- Grimm, R.; Behrens, T.; Märker, M.; Elsenbeer, H. Soil organic carbon concentrations and stocks on Barro Colorado Island—Digital soil mapping using Random Forests analysis. Geoderma 2008, 146, 102–113. [Google Scholar] [CrossRef]
- Ließ, M.; Glaser, B.; Huwe, B. Making use of the World Reference Base diagnostic horizons for the systematic description of the soil continuum—Application to the tropical mountain soil-landscape of southern Ecuador. CATENA 2012, 97, 20–30. [Google Scholar] [CrossRef]
- Heung, B.; Bulmer, C.E.; Schmidt, M.G. Predictive soil parent material mapping at a regional-scale: A Random Forest approach. Geoderma 2014, 214, 141–154. [Google Scholar] [CrossRef]
- Ehsani, A.H.; Quiel, F. Geomorphometric feature analysis using morphometric parameterization and artificial neural networks. Geomorphology 2008, 99, 1–12. [Google Scholar] [CrossRef]
- Kempen, B.; Brus, D.J.; de Vries, F. Operationalizing digital soil mapping for nationwide updating of the 1:50,000 soil map of The Netherlands. Geoderma 2015, 241–242, 313–329. [Google Scholar] [CrossRef]
- Carré, F.; Girard, M. Quantitative mapping of soil types based on regression kriging of taxonomic distances with landform and land cover attributes. Geoderma 2002, 110, 241–263. [Google Scholar] [CrossRef]
- Dobos, E.; Hengl, T. Chapter 20 Soil Mapping Applications. In Geomorphometry Concepts, Software, Applications; Developments in Soil Science; Hengl, T., Reuter, H.I., Eds.; Elsevier: Amsterdam, The Netherlands, 2009; Volume 33, pp. 461–479. [Google Scholar] [CrossRef]
- McBratney, A.B.; Mendonca Santos, M.; Minasny, B. On digital soil mapping. Geoderma 2003, 117, 3–52. [Google Scholar] [CrossRef]
- Nussbaum, M.; Spiess, K.; Baltensweiler, A.; Grob, U.; Keller, A.; Greiner, L.; Schaepman, M.E.; Papritz, A. Evaluation of digital soil mapping approaches with large sets of environmental covariates. SOIL 2018, 4, 1–22. [Google Scholar] [CrossRef]
- Geitner, C.; Tusch, M. Soil Evaluation for Planning Procedures: Providing a Basis for Soil Protection in Alpine Regions; Borsdorf, A., Stötter, J., Veulliet, E., Eds.; Institut für Interdisziplinäre Gebirgsforschung: Hohe Tauern, Austria, 2008; Volume 2. [Google Scholar]
- Scholz, H.; Bestle, K.H.; Willerich, S. Quartärgeologische Untersuchungen im Überetsch. Geo Alp 2005, 2, 1–23. [Google Scholar]
- Baruck, J.; Nestroy, O.; Sartori, G.; Baize, D.; Traidl, R.; Vrščaj, B.; Bräm, E.; Gruber, F.E.; Heinrich, K.; Geitner, C. Soil classification and mapping in the Alps: The current state and future challenges. Geoderma 2016, 264, 312–331. [Google Scholar] [CrossRef]
- Thalheimer, M. Kartierung der landwirtschaftlich genutzten Böden des Überetsch in Südtirol (Italien). Laimburg J. 2006, 3, 135–177. [Google Scholar]
- Autonomous Province Bolzano—South Tyrol. Download Landeskartographie. Available online: http://www.provinz.bz.it/natur-umwelt/natur-raum/kartographie/download-und-webgis.asp (accessed on 4 March 2019).
- Wack, R.; Stelzl, H. Laser DTM Generation for South-Tyrol and 3D-Visualization. In Proceedings of the International Archives of Photogrammetry, Remote Sensing and Spatial Information Science, Vienna, Austria, 3–5 October 2005. [Google Scholar]
- GRASS Development Team. Geographic Resources Analysis Support System (GRASS GIS) Software, Version 7.0; Open Source Geospatial Foundation: Chicago, IL, USA, 2016. [Google Scholar]
- Nestroy, O.; Danneberg, O.; Englisch, M.; Geßl, A.; Hager, H.; Herzberger, E.; Kilian, W.; Nelhiebel, P.; Pecina, E.; Pehamberger, A.; et al. Systematische Gliederung der Böden Österreichischs (Österreichische Bodensystematik 2000). Mitt. Österr. Bodenkdl. Ges. 2000, 60, 327–355. [Google Scholar]
- Nestroy, O.; Aust, G.; Blum, W.; Englisch, M.; Hager, H.; Herzberger, E.; Kilian, W.; Nelhiebel, P.; et al. Systematische Gliederung der Böden Österreichs. Österreichische Bodensystematik 2000 in der revidierten Fassung von 2011. Mitt. Österr. Bodenkdl. Ges. 2011, 79, 1–98. [Google Scholar]
- Ad-hoc-Arbeitsgruppe Boden. Bodenkundliche Kartieranleitung KA5; Schweizerbart Science Publishers: Stuttgart, Germany, 2005. [Google Scholar]
- BayGLA and BayLfU. Das Schutzgut Boden in der Planung-Bewertung Natührlicher Bodenfunktionen und Umsetzung in Planungs-und Genehmigungsverfahren; Technical Report; Bayerisches Geologisches Landesamt, München und Bayerisches Landesamt für Umweltschutz: Augsburg, Germany, 2003. [Google Scholar]
- Lehmann, A.; David, S.; Stahr, K. TUSEC—Bilingual-Edition: Eine Methode zur Bewertung natürlicher und Anthropogener Böden (Deutsche Fassung) Technique for Soil Evaluation and Categorization for Natural and Anthropogenic Soils (English Version); Hohenheimer Bodenkundliche Hefte, Universität Hohenheim-Institut für Bodenkunde und Standortslehre: Hohenheim, Germany, 2008; Volume 86. [Google Scholar]
- Beylich, A.; Höper, H.; Ruf, A.; Wilke, B.M. Bewertung des Bodens als Lebensraum für Bodenorganismen im Rahmen von Planunsprozessen. Mitt. Deutsch. Bodenkund. Ges. 2005, 107, 183–184. [Google Scholar]
- Lehle, M.; Bley, J.; Mayer, E.; Veit-Meya, R.; Vogl, W. Bewertung von Böden Nach Ihrer Leistungsf ähigkeit; Luft, Boden, Abfall 31; Landesamt für Umwelt, Messungen und Naturschutz Baden-Würtemberg: Karlsruhe, Germany, 1995. [Google Scholar]
- Müller, U.; Waldeck, A. Auswertungsmethoden im Bodenschutz—Dokumentation zur Methode des Niedersächsischen Bodeinformationssystems (NIBIS); GeoBerichte 19, Landesamt für Bergbau, Energie und Geologie: Hannover, Germany, 2011. [Google Scholar]
- Gerstenberg, J.H.; Smettan, U. Erstellung von Karten zur Bewertung der Bodenfunktionen—Umsetzung der im Gutachten von Lahmeyer aufgeführten Verfahren in Flächendaten; Technical Report; Senatsverwaltung für Stadtentwicklung Berling: Berlin, Germany, 2005. [Google Scholar]
- AG Boden. Methodendokumentation Bodenkunde—Auswertungsmethoden zur Beurteilung der Empfindlichkeit und Belastbarkeit von Böden; Bundesanstalt für Geowissenschaften und Rohstoffe und Staatliche Geologische Dienste in der Bundesrepublik Deutschland: Stuttgart, Germany, 2000. [Google Scholar]
- Jasiewicz, J.; Stepinski, T.F. Geomorphons—A Pattern Recognition Approach to Classification and Mapping of Landforms. Geomorphology 2013, 182, 147–156. [Google Scholar] [CrossRef]
- Cortes, C.; Vapnik, V. Support-vector networks. Mach. Learn. 1995, 20, 273–297. [Google Scholar] [CrossRef]
- Meyer, D.; Dimitriadou, E.; Hornik, K.; Weingessel, A.; Leisch, F. e1071: Misc Functions of the Department of Statistics (e1071), TU Wien; R Package Version; Vienna University of Technology: Vienna, Austria, 2014. [Google Scholar]
- R Core Team. R: A Language and Environment for Statistical Computing; R Foundation for Statistical Computing: Vienna, Austria, 2014. [Google Scholar]
- James, G.; Witten, D.; Hastie, T.; Tibshirani, R. An Introduction to Statistical Learning; Springer: New York, NY, USA, 2013. [Google Scholar]
- Steger, S.; Brenning, A.; Bell, R.; Petschko, H.; Glade, T. Exploring discrepancies between quantitative validation results and the geomorphic plausibility of statistical landslide susceptibility maps. Geomorphology 2016, 262, 8–23. [Google Scholar] [CrossRef]
- Congalton, R.G. A review of assessing the accuracy of classification of remotely sensed data. Remote Sens. Environ. 1991, 37, 35–46. [Google Scholar] [CrossRef]
- Pontius, R.G.; Millones, M. Death to Kappa: birth of quantity disagreement and allocation disagreement for accuracy assessment. Int. J. Remote Sens. 2011, 32, 4407–4429. [Google Scholar] [CrossRef]








| Soil Properties A-Horizons | Average | Median | Standard Deviation | Min | Max |
|---|---|---|---|---|---|
| pH | 6.0 | 6.3 | 1.4 | 3.1 | 9.9 |
| clay content [%] | 12.7 | 10.0 | 9.1 | 2.5 | 70.0 |
| soil organic matter content [%] | 6.6 | 4.5 | 6.4 | 0.5 | 22.5 |
| coarse fragments (>2 mm) content [%] | 16.8 | 5.0 | 19.9 | 0.0 | 90.0 |
| bulk density [g/cm3] | 1.4 | 1.3 | 0.2 | 1.0 | 1.8 |
| carbonate content [%] | 6.9 | 0.0 | 12.8 | 0.0 | 68.0 |
| soil properties B-horizons | |||||
| pH | 5.9 | 6.2 | 1.5 | 3.4 | 7.8 |
| clay content [%] | 13.0 | 10.0 | 7.5 | 2.5 | 30.0 |
| soil organic matter content [%] | 1.6 | 0.5 | 2.2 | 0.0 | 11.5 |
| coarse fragments (>2 mm) content [%] | 28.4 | 15.0 | 23.9 | 0.0 | 90.0 |
| bulk density [g/cm3] | 1.6 | 1.6 | 0.3 | 1.0 | 2.0 |
| carbonate content [%] | 5.9 | 0.0 | 13.1 | 0.0 | 59.0 |
| soil profile statistics | |||||
| slope of profile site [degree] | 12.51 | 7.00 | 12.79 | 0.00 | 42.00 |
| rooting depth [cm] | 108.72 | 110.00 | 50.07 | 20.00 | 400.00 |
| soil profile sum parameters calculated by SEPP | |||||
| fine earth (<2 mm) content [kg/m3] | 1150.2 | 973.0 | 800.9 | 63.0 | 4274.0 |
| clay content [kg/m3] | 13,057.8 | 6427.5 | 20,349.8 | 3.0 | 126,216.0 |
| soil organic matter content [kg/m3] | 20.6 | 16.0 | 17.9 | 1.0 | 128.0 |
| available field capacity [L/m2] | 164.4 | 148.0 | 105.2 | 7.0 | 529.0 |
| field capacity [L/m2] | 273.6 | 249.0 | 177.7 | 15.0 | 958.0 |
| air capacity [L/m2] | 68.6 | 62.0 | 37.3 | 9.0 | 174.0 |
| water storage capacity [L/m2] | 197.9 | 163.0 | 138.0 | 7.0 | 660.0 |
| minimal hydraulic conductivity coefficient [cm/d] | 45.3 | 16.0 | 84.6 | 1.0 | 300.0 |
| average hydraulic conductivity coefficient [cm/d] | 70.9 | 29.0 | 88.1 | 1.0 | 300.0 |
| effective cation exchange capacity [cmolc/kg] | 12,502.6 | 9474.0 | 13134.1 | 0.0 | 74,998.0 |
| Fine Earth Content [kg/m2] | Clay Content [kg/m2] | Soil Organic Matter Content [kg/m2] | Available Field Capacity [L/m2] | Field Capacity [L/m2] | Air Capacity [L/m2] | Water Storage Capacity [L/m2] | Saturated Hydraulic Conductivity [cm/d] | Effective Cation Exchange Capacity [cmolc/kg] | Potential Cation Exchange Capacity [cmolc/kg] | Base Saturation [%] | |
| bulk density [g/cm3 or class] | x | x | x | x | x | x | x | x | |||
| texture [class] | x | x | x | x | x | x | x | x | |||
| coarse fragments content [% or class] | x | x | x | x | x | x | x | x | |||
| soil organic matter content [% or class] | x | x | x | x | x | x | x | ||||
| aggregate structure [class] | x | ||||||||||
| pH | x | x | |||||||||
| slope [] | x |
| Habitat for Drought-Tolerant Species | Habitat for Moisture-Tolerant Species | Habitat for Soil Organisms | Habitat for Crops | Retention of Precipitation (Average) | Retention of Precipitation (Minimum) | Short Term Retention of Heavy Precipitation | Groundwater Recharge | Nutrient Provision to Plants | Carbon Storage | Retention of Heavy Metals | Transformation of Organic Contaminants | Filtration and Buffering of Organic Contaminants | Retention of Water-Soluble Contaminants | Buffering of Acidic Substances | |
| literature references | [46,47] | [46,47] | [48] | [47] | [46,47] | [46,49] | [47] | [47] | [50] | [51] | [46,52] | [49] | [50] | [46] | [46] |
| horizon thickness [cm] | x | x | x | ||||||||||||
| bulk density [g/cm3] | x | ||||||||||||||
| texture [class] | x | x | x | x | |||||||||||
| coarse fragments (>2 mm) content [kg/m3] | x | x | x | ||||||||||||
| soil organic matter content [kg/m3] | x | x | x | ||||||||||||
| humus form [class] | x | ||||||||||||||
| aggregate structure [class] | x | ||||||||||||||
| primary aggregate structure content [%] | x | ||||||||||||||
| rooting depth [cm] | x | ||||||||||||||
| ground water level [m] | x | x | x | x | x | x | x | x | x | ||||||
| soil moisture [class] | x | ||||||||||||||
| carbonate content [%] | x | ||||||||||||||
| pH | x | x | x | x | |||||||||||
| soil type [class] | x | x | x | x | x | x | x | x | x | ||||||
| horizon name [class] | x | x | x | x | x | x | x | x | |||||||
| base richness (substrate) [class] | x | ||||||||||||||
| fine earth content [kg/m3] | x | x | x | x | x | ||||||||||
| clay content [kg/m3] | x | ||||||||||||||
| soil organic matter [kg/m3] | x | x | |||||||||||||
| available field capacity [L/m2] | x | x | x | ||||||||||||
| field capacity [L/m2] | x | ||||||||||||||
| air capacity [L/m2] | x | x | |||||||||||||
| water storage capacity [L/m2] | x | x | x | ||||||||||||
| saturated hydraulic conductivity [cm/d] | x | x | x | x | |||||||||||
| effective cation exchange capacity [cmolc/kg] | x | ||||||||||||||
| potential cation exchange capacity [cmolc/kg] | x | x | |||||||||||||
| base saturation [%] | x | x | |||||||||||||
| land use [class] | x | x | |||||||||||||
| slope [] | x | x | x | ||||||||||||
| mean air temperature [C] | x | ||||||||||||||
| critical rain [mm/h] | x | ||||||||||||||
| annual rainfall [mm] | x | ||||||||||||||
| mean annual evaporation [mm] | x |
| Soil Function | Selected Features | RES | WS | MCVA | TA |
|---|---|---|---|---|---|
| habitat for drought-tolerant species | landforms | 10 | 100 | ||
| slope | 50 | 350 | 50.0 | 50.0 | |
| habitat for moisture-tolerant species | long. curvature | 2.5 | 7.5 | ||
| landforms | 10 | 70 | 53.7 | 53.7 | |
| habitat for soil organisms | cross-sec. curvature | 50 | 350 | ||
| slope | 50 | 350 | |||
| convexity | 50 | 150 | 59.3 | 62.0 | |
| habitat for crops | slope | 2.5 | 7.5 | 86.1 | 86.1 |
| retention of precipation (average) | cross-sec. curvature | 2.5 | 47.5 | ||
| profile curvature | 10 | 150 | 50.9 | 54.6 | |
| retention of precipitation (minimum) | planar curvature | 2.5 | 72.5 | ||
| minimal curvature | 50 | 150 | 41.6 | 46.3 | |
| short term retention of heavy precipitation | long. curvature | 10 | 150 | 73.1 | 73.1 |
| groundwater recharge | cross-sec. curvature | 2.5 | 57.5 | ||
| profile curvature | 10 | 50 | 47.2 | 49.1 | |
| nutrient provision to plants | minimal curvature | 2.5 | 22.5 | 71.3 | 72.2 |
| carbon storage | minimal curvature | 2.5 | 27.5 | 61.1 | 61.1 |
| retention of heavy metals | landforms | 10 | 70 | 63.9 | 63.9 |
| transformation of organic contaminants | landforms | 10 | 500 | ||
| maximal curvature | 10 | 70 | 46.3 | 50.0 | |
| filtration and buffering of organic contaminants | - | - | - | - | - |
| retention of water-soluble contaminants | slope | 2.5 | 27.5 | ||
| minimal curvature | 2.5 | 7.5 | 53.7 | 59.3 | |
| buffer for acidic substances | planar curvature | 2.5 | 12.5 | ||
| slope | 2.5 | 12.5 | 48.1 | 50.0 |
| Soil Function | No. of Features | MCVA | TA | No. of Features | MCVA | TA |
|---|---|---|---|---|---|---|
| habitat for drought-tolerant species | 2 | 50.0 | 50.0 | 28 | 43.5 | 57.4 |
| habitat for moisture-tolerant species | 2 | 53.7 | 53.7 | 25 | 52.3 | 66.6 |
| habitat for soil organisms | 3 | 59.3 | 62.0 | 26 | 53.7 | 80.6 |
| habitat for crops | 1 | 86.1 | 86.1 | 22 | 84.3 | 85.2 |
| retention of precipation (average) | 2 | 50.9 | 54.6 | 26 | 45.4 | 62.0 |
| retention of precipitation (minimum) | 2 | 41.6 | 46.3 | 26 | 29.6 | 66.6 |
| short term retention of heavy precipitation | 1 | 73.1 | 73.1 | 23 | 73.1 | 80.6 |
| groundwater recharge | 2 | 47.2 | 49.1 | 26 | 39.8 | 62.0 |
| nutrient provision to plants | 1 | 71.3 | 72.2 | 28 | 71.3 | 87.0 |
| carbon storage | 1 | 61.1 | 61.1 | 25 | 66.7 | 73.1 |
| retention of heavy metals | 1 | 63.9 | 63.9 | 28 | 63.0 | 68.5 |
| transformation of organic contaminants | 2 | 46.3 | 50.0 | 29 | 44.4 | 52.8 |
| retention of water-soluble contaminants | 2 | 53.7 | 59.3 | 28 | 52.8 | 65.7 |
| buffer for acidic substances | 2 | 48.1 | 50.0 | 24 | 38.9 | 65.7 |
© 2019 by the authors. Licensee MDPI, Basel, Switzerland. This article is an open access article distributed under the terms and conditions of the Creative Commons Attribution (CC BY) license (http://creativecommons.org/licenses/by/4.0/).
Share and Cite
Gruber, F.E.; Schaber, E.; Baruck, J.; Geitner, C. How and to What Extent Does Topography Control the Results of Soil Function Assessment: A Case Study From the Alps in South Tyrol (Italy). Soil Syst. 2019, 3, 18. https://doi.org/10.3390/soilsystems3010018
Gruber FE, Schaber E, Baruck J, Geitner C. How and to What Extent Does Topography Control the Results of Soil Function Assessment: A Case Study From the Alps in South Tyrol (Italy). Soil Systems. 2019; 3(1):18. https://doi.org/10.3390/soilsystems3010018
Chicago/Turabian StyleGruber, Fabian Ernst, Elisabeth Schaber, Jasmin Baruck, and Clemens Geitner. 2019. "How and to What Extent Does Topography Control the Results of Soil Function Assessment: A Case Study From the Alps in South Tyrol (Italy)" Soil Systems 3, no. 1: 18. https://doi.org/10.3390/soilsystems3010018
APA StyleGruber, F. E., Schaber, E., Baruck, J., & Geitner, C. (2019). How and to What Extent Does Topography Control the Results of Soil Function Assessment: A Case Study From the Alps in South Tyrol (Italy). Soil Systems, 3(1), 18. https://doi.org/10.3390/soilsystems3010018

