Wind Effect on External Fire Spread through Openings under the Protection of Horizontal Projections or Vertical Spandrels—A Numerical Study
Abstract
1. Introduction
2. Methodology
2.1. Geometries for the Numerical Model
2.2. Fire Numerical Model Setup
2.3. Grid Independence Test and Model Validation
3. Results
3.1. Effect of Front Wind
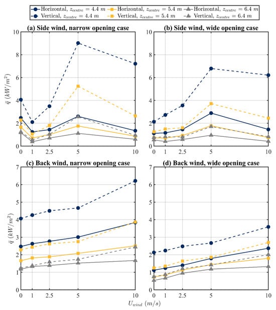
3.2. Effect of Side Wind
3.3. Effect of Back Wind
3.4. Comparison between Vertical Spandrel and Horizontal Projection
4. Discussion
4.1. Comparing Narrow and Wide Openings
4.2. Likelihood of Fire Spread
4.3. Equivalent Effectiveness of Vertical Spandrel and Horizontal Projection
4.4. Wind Direction
- For front wind (upstream and normal to the plane of the opening) with relatively low speeds (i.e., m/s), vertical spread of fire is slightly enhanced as buoyancy remains the dominant parameter in fire spread. With the increase in wind speed ( m/s), the dominant parameter is transitioned to the effect of front wind. That is, the vertical spread of the fire is inhibited for relatively high wind speeds. On the other hand, flame spread along the horizontal direction is enhanced.
- For side wind (parallel to the plane of the opening), the controlling parameter is the wind. At relatively low speeds, the behaviour is similar to that of a low-speed front wind, and the horizontal projection inhibits the vertical spread of the fire. With the increase in the speed of wind, the vertical spread of the fire is enhanced because the forward-facing step phenomenon leads to flow recirculation, which results in the flame spreading laterally toward the upwind direction. With further increase in the wind speed, the spread of the fire is then inhibited, due to the increased flow instability.
- For back wind (normal to the plane of the opening), buoyancy remains the dominant parameter. With the increase in the wind speed, the vertical spread of the fire increases.
- The use of a 1.1 m deep horizontal projection above the opening of the compartment is substantiated to be more effective in inhibiting vertical spread of the fire than the use of a 1.1 m high vertical spandrel for the wind speeds and directions investigated. This indicates that a horizontal projection has a positive impact on preventing vertical spread of the fire for a high front wind speed; instead, high wind speed enhances the lateral spread of the fire as heat is forced sideways.
5. Conclusions
Author Contributions
Funding
Institutional Review Board Statement
Informed Consent Statement
Data Availability Statement
Conflicts of Interest
References
- Chen, T.B.Y.; Yuen, A.C.Y.; Yeoh, G.H.; Yang, W.; Chan, Q.N. Fire Risk Assessment of Combustible Exterior Cladding Using a Collective Numerical Database. Fire 2019, 2, 11. [Google Scholar] [CrossRef]
- Keski-Rahkonen, O. Breaking of window glass close to fire. Fire Mater. 1988, 12, 61–69. [Google Scholar] [CrossRef]
- Koohkan, M.; Dréan, V.; Girardin, B.; Guillaume, E.; Fateh, T.; Duponchel, X. Reconstruction of the Grenfell Tower Fire—Thermomechanical Analysis of Window Failure During the Grenfell Tower Disaster. Fire Technol. 2021, 57, 69–100. [Google Scholar] [CrossRef]
- Chow, C.L.; Chow, W.K. Heat release rate of accidental fire in a supertall building residential flat. Build. Environ. 2010, 45, 1632–1640. [Google Scholar] [CrossRef]
- Saito, K.; Quintiere, J.G.; Willians, F.A. Upward Turbulent Flame Spread. In Fire Safety Science—Proceedings of the First International Symposium; Hemisphere Publishing Corporation: New York, NY, USA, 1985. [Google Scholar]
- Drysdale, D. An Introduction to Fire Dynamics; John Wiley & Sons Inc.: Hoboken, NJ, USA, 2011. [Google Scholar]
- Hurley, M.J.; Gottuk, D.T.; Hall, J.R., Jr.; Harada, K.; Kuligowski, E.; Puchovsky, M.; Watts, J.M., Jr.; Wieczorek, C.J. SFPE Handbook of Fire Protection Engineering; Springer: Berlin/Heidelberg, Germany, 2015. [Google Scholar]
- An, W.; Meng, Q.; Pan, R.; Zhu, H. Influence of horizontal projection on upward flame spread over XPS thermal insulation material. Fire Mater. 2018, 42, 527–536. [Google Scholar] [CrossRef]
- ABCB. National Construction Code Volume One. In Building Code of Australia; ABCB: Canberra, Australia, 2019. [Google Scholar]
- Čolić, A.; Pečur, I.B. Influence of Horizontal and Vertical Barriers on Fire Development for Ventilated Façades. Fire Technol. 2020, 56, 1725–1754. [Google Scholar] [CrossRef]
- Delichatsios, M.A.; Ryan, J.; Tian, N.; Zhang, J. Vertical safe separation distance between openings in multi-storey buildings having a fire resistant spandrel. MATEC Web Conf. 2016, 46, 04003. [Google Scholar] [CrossRef]
- McKeen, P.; Liao, Z. The impact of horizontal projections on lateral fire spread in multi-unit residential buildings—Comparison of numerical and similarity correlations. Fire Saf. J. 2021, 126, 103441. [Google Scholar] [CrossRef]
- Nilsson, M. The impact of horizontal projections on external fire spread-a numerical comparative study. Master Thesis, Lund University, Lund, Sweden, 2016. [Google Scholar]
- Weinert, D.; Poh, W. Performance of horizontal projections in vertical separation of openings in external walls–comparison with BCA solutions. In Proceedings of the International Conference on Fire Safety Engineering, Gold Coast, Australia, 23 May 2006. [Google Scholar]
- Nilsson, M.; Husted, B.; Mossberg, A.; Anderson, J.; McNamee, R.J. A numerical comparison of protective measures against external fire spread. Fire Mater. 2018, 42, 493–507. [Google Scholar] [CrossRef]
- Nilsson, M.; Nilsen, J.; Mossberg, A. Validating FDS against a large-scale fire test for facade systems. In Proceedings of the 3rd Fire and Evacuation Modelling Technical Conference (FEMTC), Málaga, Spain, 16–18 November 2016. [Google Scholar]
- Oleszkiewicz, I. Vertical separation of windows using spandrel walls and horizontal projections. Fire Technol. 1991, 27, 334–340. [Google Scholar] [CrossRef]
- Yuen, A.C.Y.; Yeoh, G.H.; Timchenko, V.; Cheung, S.C.P.; Chan, Q.N.; Chen, T.B.Y. On the influences of key modelling constants of large eddy simulations for large-scale compartment fires predictions. Int. J. Comput. Fluid Dyn. 2017, 31, 324–337. [Google Scholar] [CrossRef]
- Yuen, A.C.Y.; De Cachinho Cordeiro, I.M.; Chen, T.B.Y.; Chen, Q.; Liu, H.; Yeoh, G.H. Multiphase CFD modelling for enclosure fires—A review on past studies and future perspectives. Exp. Comput. Multiph. Flow 2022, 4, 1–25. [Google Scholar] [CrossRef]
- Hu, L.; Ren, F.; Hu, K.; Tang, F.; Lu, K. An experimental study on temperature evolution inside compartment with fire growth and flame ejection through an opening under external wind. Proc. Combust. Inst. 2017, 36, 2955–2962. [Google Scholar] [CrossRef]
- Ren, F.; Hu, L.; Zhang, X.; Sun, X.; Fang, X. Temperature evolution from stratified- to well-mixed condition inside a fire compartment with an opening subjected to external wind. Proc. Combust. Inst. 2021, 38, 4495–4503. [Google Scholar] [CrossRef]
- Hu, L.; Hu, K.; Ren, F.; Sun, X. Facade flame height ejected from an opening of fire compartment under external wind. Fire Saf. J. 2017, 92, 151–158. [Google Scholar] [CrossRef]
- Hu, L.; Sun, X.; Zhang, X.; Ren, F. Facade flame height and horizontal extending distance from opening of compartment fire with external sideward wind. Proc. Combust. Inst. 2019, 37, 3859–3867. [Google Scholar] [CrossRef]
- Sugawa, O.; Momita, D.; Takahashi, W. Flow behavior of ejected fire flame/plume from an opening effected by external side wind. Fire Saf. Sci. 1997, 5, 249–260. [Google Scholar] [CrossRef][Green Version]
- Sherry, M.; Jacono, D.L.; Sheridan, J. An experimental investigation of the recirculation zone formed downstream of a forward facing step. J. Wind Eng. Ind. Aerodyn. 2010, 98, 888–894. [Google Scholar] [CrossRef]
- Benard, P.S.; Wallace, J.M. Turbulent Flow: Analysis, Measurement, and Prediction; John Riley & Sons Inc.: Hoboken, NJ, USA, 2002. [Google Scholar]
- McGrattan, K.B.; McDermott, R.J.; Weinschenk, C.G.; Forney, G.P. Fire Dynamics Simulator—Technical Reference Guide, 6th ed.; National Institute of Standards and Technology: Gaithersburg, MA, USA, 2013.
- Tian, Z.F. Numerical Modelling of Turbulent Gas-Particle Flow and Its Applications. Ph.D. Thesis, RMIT University, Melbourne, Australia, 2006. [Google Scholar]
- Huang, Z.; Tian, Z.F.; Chen, X. Numerical study of effects of wind on the vertical fire spread with vertical/horizontal spandrel. In Proceedings of the 13th International Conference on Computational Methods, Barcelona, Spain, 25–28 July 2022. [Google Scholar]
- Oleszkiewicz, I. Heat Transfer from a Window Fire Plume to a Building Façade; National Research Council of Canada, Institute for Research in Construction: Ottawa, ON, Canada, 1989. [Google Scholar]
- Oleszkiewicz, I. Fire exposure to exterior walls and flame spread on combustible cladding. Fire Technol. 1990, 26, 357–375. [Google Scholar] [CrossRef]
- Xin, Y. Assessment of Fire Dynamics Simulation for Engineering Applications: Grid and Domain Size Effects. In Proceedings of the Fire Suppression and Detection Research Application Symposium, Orlando, FL, USA, 21–23 January 2004. [Google Scholar]
- McGrattan, K.; Hostikka, S.; McDermott, R.; Floyd, J.; Weinschenk, C.; Overholt, K. Fire dynamics simulator user’s guide. NIST Spec. Publ. 2013, 1019, 1–339. [Google Scholar]


















| Dimension | Description | Value (m) |
|---|---|---|
| Building height | 10.30 m | |
| Compartment height, Underside of horizontal projection | 2.75 m | |
| Compartment depth | 4.40 m | |
| Compartment width | 6.00 m | |
| Opening width | 0.94 (2.60) m | |
| Opening height | 2.70 m | |
| Horizontal projection depth | 1.10 m | |
| Horizontal projection width | 2.00 m | |
| Horizontal projection thickness | 0.10 m | |
| Vertical spandrel depth | 0.10 m | |
| Vertical spandrel width | 2.00 m | |
| Vertical spandrel height | 1.10 m |
| Group Name and Details | Case Number | Wind Direction | Wind Speed (m/s) |
|---|---|---|---|
| Narrow opening case of 0.94 m | 1 | Front | 0.0, 0.5, 1.0, 2.5, 5.0, 10.0 |
| 2 | Side | 0.0, 0.5, 1.0, 2.5, 5.0, 10.0 | |
| 3 | Back | 0.0, 0.5, 1.0, 2.5, 5.0, 10.0 | |
| Wide opening case of 2.60 m | 4 | Front | 0.0, 0.5, 1.0, 2.5, 5.0, 10.0 |
| 5 | Side | 0.0, 0.5, 1.0, 2.5, 5.0, 10.0 | |
| 6 | Back | 0.0, 0.5, 1.0, 2.5, 5.0, 10.0 |
| Property | NRCC Experiment [30] | Simulation |
|---|---|---|
| Total Heat Release Rate | 5.50 MW | 5.50 MW |
| External wall material | Concrete with interior insulation | Concrete |
| External wall thickness | 0.025 m | 0.01 m |
| Emissivity of external wall | n/a | 0.90 |
| Conductivity | n/a | 1.37 W/(m·K) |
| Specific heat | n/a | 0.88 kJ/(kg·K) |
| Ambient temperature | n/a | 20 °C |
| Number of Cells | |||
|---|---|---|---|
| coarse | 0.20 | 9.5 | 0.14 million |
| medium | 0.10 | 19.0 | 1.10 million |
| fine | 0.05 | 38 | 8.80 million |
Disclaimer/Publisher’s Note: The statements, opinions and data contained in all publications are solely those of the individual author(s) and contributor(s) and not of MDPI and/or the editor(s). MDPI and/or the editor(s) disclaim responsibility for any injury to people or property resulting from any ideas, methods, instructions or products referred to in the content. |
© 2024 by the authors. Licensee MDPI, Basel, Switzerland. This article is an open access article distributed under the terms and conditions of the Creative Commons Attribution (CC BY) license (https://creativecommons.org/licenses/by/4.0/).
Share and Cite
Tang, Y.; Tian, Z.; Chen, X.; Suendermann, B.; Gamble, G.; Huang, Z. Wind Effect on External Fire Spread through Openings under the Protection of Horizontal Projections or Vertical Spandrels—A Numerical Study. Fire 2024, 7, 66. https://doi.org/10.3390/fire7030066
Tang Y, Tian Z, Chen X, Suendermann B, Gamble G, Huang Z. Wind Effect on External Fire Spread through Openings under the Protection of Horizontal Projections or Vertical Spandrels—A Numerical Study. Fire. 2024; 7(3):66. https://doi.org/10.3390/fire7030066
Chicago/Turabian StyleTang, Yining, Zhaofeng Tian, Xiao Chen, Brigitta Suendermann, Grant Gamble, and Zefeng Huang. 2024. "Wind Effect on External Fire Spread through Openings under the Protection of Horizontal Projections or Vertical Spandrels—A Numerical Study" Fire 7, no. 3: 66. https://doi.org/10.3390/fire7030066
APA StyleTang, Y., Tian, Z., Chen, X., Suendermann, B., Gamble, G., & Huang, Z. (2024). Wind Effect on External Fire Spread through Openings under the Protection of Horizontal Projections or Vertical Spandrels—A Numerical Study. Fire, 7(3), 66. https://doi.org/10.3390/fire7030066

